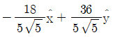
진공 중에서 점(1, 3)m의 위치에 -2×10-9C의 점전하가 있을 때 점(2, 1)m에 있는 1C의 점전하에 작용하는 힘은 몇 N 인가? (단, 는 단위벡터이다.)
지금 시작하기 →

・・・ 문제은행 전자기사(2022년 2회) 12번

전자기사 2022년 04월 12번

진공 중에서 점(1, 3)m의 위치에 -2×10-9C의 점전하가 있을 때 점(2, 1)m에 있는 1C의 점전하에 작용하는 힘은 몇 N 인가? (단, 는 단위벡터이다.)

1
2
3
4
단축키
이전 문제로 이동은 키를 누르고, 다음 문제로 이동은 키를 누르세요
이전 문제 , 다음 문제
문제(100)
1 그림과 같이 점 O를 중심으로 반지름이 a(m)인 구도체 1과 안쪽 반지름이 b(m)이고 바깥쪽 반지름이 C(m)인 구도체 2가 있다. 이 도체계에서 전위계수 P11(1/F)에 해당하는 것은? 2 정전용량이 C0(μF)인 평행판의 공기 커패시터가 있다. 두 극판 사이에 극판과 평행하게 절반을 비유전율이 εr인 유전체로 채우면 커패시터의 정전용량 (μF)은? 3 유전율이 ε1과 ε2인 두 유전체가 경계를 이루어 평행하게 접하고 있는 경우 유전율이 ε1인 영역에 전하 Q가 존재할 때 이 전하와 ε2인 유전체 사이에 작용하는 힘에 대한 설명으로 옳은 것은? 4 정전용량이 20μF인 공기의 평행판 커패시터에 0.1C의 전하량을 충전하였다. 두 평행판 사이에 비유전율이 10인 유전체를 채웠을 때 유전체 표면에 나타나는 분극 전하량(C)은? 5 내구의 반지름이 a = 5cm, 외구의 반지름이 b = 10cm 이고, 공기로 채워진 동심구형 커패시터의 정전용량은 약 몇 pF 인가? 6 강자성체의 B-H 곡선을 자세히 관찰하면 매끈한 곡선이 아니라 자속밀도가 어느 순간 급격히 계단적으로 증가 또는 감소하는 것을 알 수 있다. 이러한 현상을 무엇이라 하는가? 7 자성체의 종류에 대한 설명으로 옳은 것은? (단, χm는 자화율이고, μr는 비투자율이다.) 8 반지름이 2m이고, 권수가 120회인 원형코일 중심에서의 자계의 세기를 30 AT/m로 하려면 원형코일에 몇 A의 전류를 흘려야 하는가? 9 εr = 81, μr = 1 인 매질의 고유 임피던스는 약 몇 Ω 인가? (단, εr은 비유전율이고, μr은 비투자율이다.) 10 그림과 같이 평행한 무한장 직선의 두 도선에 I(A), 4I(A)인 전류가 각각 흐른다. 두 도선 사이 점 P에서의 자계의 세기가 0 이라면 a/b 는? 11 내압 및 정전용량이 각각 1000V –2μF, 700V –3μF, 600V –4μF, 300V -8μF인 4개의 커패시터가 있다. 이 커패시터들을 직렬로 연결하여 양단에 전압을 인가한 후, 전압을 상승시키면 가장 먼저 절연이 파괴되는 커패시터는? (단, 커패시터의 재질이나 형태는 동일하다.) 12 진공 중에서 점(1, 3)m의 위치에 -2×10-9C의 점전하가 있을 때 점(2, 1)m에 있는 1C의 점전하에 작용하는 힘은 몇 N 인가? (단, 는 단위벡터이다.)
13 진공 중에 무한 평면도체와 d(m)만큼 떨어진 곳에 선전하밀도 λ(C/m)의 무한 직선도체가 평행하게 놓여 있는 경우 직선 도체의 단위 길이당 받는 힘은 몇 N/m 인가? 14 그림은 커패시터의 유전체 내에 흐르는 변위전류를 보여준다. 커패시터의 전극 면적을 S(m2), 전극에 축적된 전하를 q(C), 전극의 표면전하 밀도를 σ(C/m2), 전극 사이의 전속밀도를 D(C/m2)라 하면 변위전류밀도 id(A/m2)는? 15 단면적이 균일한 환상철심에 권수 100회인 A코일과 권수 400회인 B코일이 있을 때 A코일의 자기 인덕턴스가 4H라면 두 코일의 상호 인덕턴스는 몇 H 인가? (단, 누설자속은 0 이다) 16 평행 극판 사이에 유전율이 각각 ε1, ε2 인 유전체를 그림과 같이 채우고, 극판 사이에 일정한 전압을 걸었을 때 두 유전체 사이에 작용하는 힘은? (단, ε1 > ε2) 17 평균 자로의 길이가 10cm, 평균 단면적이 2cm2인 환상 솔레노이드의 자기 인덕턴스를 5.4mH 정도로 하고자 한다. 이때 필요한 코일의 권선수는 약 몇 회인가? (단, 철심의 비투자율은 15000 이다) 18 구좌표계에서 ∇2r 의 값은 얼마인가? (단, ) 19 투자율이 μ(H/m), 단면적이 S(m2), 길이가 l(m)인 자성체에 권선을 N회 감아서 I(A)의 전류를 흘렸을 때 이 자성체의 단면적 S(m2)를 통과하는 자속(Wb)은? 20 자계의 세기를 나타내는 단위가 아닌 것은? 21 그림과 같은 4단자 회로망의 4단자 정수에서 전송파라미터 C의 값으로 옳은 것은? 22 펄스 변압기에서 상승시간(rase time)을 짧게 하기 위한 조건은? 23 RC 고역필터에 폭이 T인 단일 구형파를 입력했을 때 출력파는? (단, 시정수 τ << T) 24 인 파형의 주파수는 약 몇 Hz 인가?
61 SCR 소자에 대한 설명 중 틀린 것은? 62 홀(hall) 효과와 가장 관계가 깊은 것은? 63 수은등에 들어있는 수은증기의 전리전압은 10.44V 이다. 전자를 충돌시켜서 이것을 전리시키는데 필요한 최소의 전자 속도는? (단, 전자의 질량 m = 9.109×10-31 [kg], 전기량 e = 1.602×10-19 [C]) 64 서미스터(thermistor) 용도로 틀린 것은? 65 3cm 떨어진 두 평면 전극으로 구성된 2극관에 3kV의 전압을 걸었을 때, 강전계로 인해 음극의 일함수가 낮아질 경우, 감소된 일함수의 양은? (단, 전자의 전하량 e = 1.602×10-19[C], 진공에서의 유전율 ε0 = 8.854×10-12[F/m]) 66 세기가 일정하고 균일한 자장내에 속도가 동일한 양성자, α입자 및 전자가 자력선에 수직한 면으로 입사하였을 때, 각 입자들은 등속 원운동을 한다. 이 때 각 입자들의 궤도 반경의 비는 어떠한가? (단, 전자의 질량은 양성자 질량의 1/1840 이고, rp : 양성자의 궤도반경, rα : α입자의 궤도반경, re : 전자의 궤도반경이다.) 67 건(Gunn) 다이오드에서 부성저항이 생기는 원인은? 68 다음 중 에너지밴드에 속하지 않는 것은? 69 다음 중 N형 반도체에서 농도의 관계식으로 옳은 것은? (단, n : 전자의 농도, p : 정공의 농도) 70 다음 중 PN 접합에 관한 설명 중 옳은 것은? 71 접합형 트랜지스터의 구조에 대한 설명으로 옳은 것은? 72 터널 다이오드(tunnel diode)의 설명 중 틀린 것은?
App Store Google Play
오늘학습 예시 이미지

시험에 합격하려면
복습을 제대로 해야 합니다.

오늘학습은 스스로 기억을 떠올리고 계획적으로 복습할 수 있도록 설계돼 있어요.
그것도, 가장 과학적인 방식으로요!

능동적 회상

능동적 회상
(Active Recall)

배운 내용을 단순 읽으며 반복하는 것이 아니라,
능동적으로 기억하고 있는지를
스스로 테스트하며
공부할 수 있는
학습 환경을 제공해 학습 효과를 높여요

간격 반복 학습

간격 반복 학습
(Spaced Repetition)

에빙하우스 망각곡선을 바탕으로
가장 최적의 시점에 복습을 제공하여
배운 내용이 잊히지 않도록 장기 기억화해요

Data 기반의
뇌과학적 복습 시스템

학습 결과 Data를 분석해, 문제별 최적화된
반복 학습량을
자동으로 분배해요.
학습에 소요되는 시간을 최소화하는
동시에
단기 기억을 장기 기억으로 전환해줘요.

36만 개 이상의
기출문제 무료 제공

공무원 및 약 300여종의 자격증 시험 기출문제
36만개
이상을 무료로 이용할 수 있어요.
여러 앱을 설치할 필요
없이, 오늘학습 하나로
모든 시험을 준비할 수 있어요.

다양한 문제 유형으로 만드는
나만의 단어장&문제집

기출 외에도 외워야 하는 내용은
객관식, 주관식, 카드, 빈칸
등 다양한 형식으로
직접 만들어 보세요. 내 학습 스타일에
맞게
나만의 단어장과 문제집을 만들 수 있어요.

시험별 체계적인
문제 관리

시험에 문제를 추가해 체계적으로
관리할 수 있어요.
주제나 단원별로
분류하고 싶다면,
시험에 챕터를 만들어
문제를 추가할 수도 있어요.

수십만 명이
오늘학습을 사랑합니다

앱 스토어 평점 4.9
구글 플레이 평점 4.8
누적 회원수 100,000+
지금 오늘학습을
시작해보세요
지금 시작하기
문제 선택