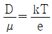
학산 정수 D, 이동도 μ, 절대온도 T 간의 관계식으로 옳은 것은? (단, k는 볼츠만의 상수이고, e는 캐리어의 전하이다.)
지금 시작하기 →

・・・ 문제은행 전자기사(2019년 2회) 74번

전자기사 2019년 09월 74번

학산 정수 D, 이동도 μ, 절대온도 T 간의 관계식으로 옳은 것은? (단, k는 볼츠만의 상수이고, e는 캐리어의 전하이다.)

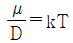
1
2
3
4
단축키
이전 문제로 이동은 키를 누르고, 다음 문제로 이동은 키를 누르세요
이전 문제 , 다음 문제
문제(100)
1 평행판 콘덴서의 판 사이가 진공으로 되어 정전 용량이 C0인 콘덴서가 있다. 이 콘덴서에 유전체를 삽입하여 정전 용량 C를 얻었다. 다음 중 틀린 것은? 2 무한 평면 도체표면에서 수직거리 d(m)만큼 떨어진 곳에 점전하 +Q(C)가 있다. 영상전하(image charge)와 평면도체 간에 작용하는 힘 F(N)는? 3 유전체의 경계조건에 대한 설명으로 틀린 것은? 4 전류에 의한 자계의 방향을 결정해 주는 것은? 5 0.2 Wb/m2의 평등자재 속에 자계와 직각방향으로 놓인 길이 30cm인 도선을 자계와 30도의 방향으로 30m/s의 속도로 이동시킬 때, 도체 양단에 유기되는 기전력은 몇 V 인가? 6 그림과 같이 두 개의 코일이 직렬로 연결되어 있다. 이 회로에 0.5A에 전류를 흘릴 때 이 합성코일에 축적되는 에너지는 몇 J 인가? (단, L1= 20mH, L2 = 40mH, 결합계수 k = 0.5 이다.) 7 자기인덕턴스 L의 단위는? 8 비유전율 εr = 80, 비투자율 μr = 1인 전자파의 고유임피던스는 약 몇 Ω 인가? 9 물(εr=80, μr=1) 속에서 전자파의 속도는 약 몇 m/s인가? 10 영구자석에 관한 설명으로 틀린 것은? 11 동심구형 콘덴서의 내외 반지름을 각각 10배로 증가시키면 정전용량은 몇 배로 증가하는가? 12 반경 a인 구도체에 –Q의 전하를 주고 구도체의 중심 O에서 10a되는 점 P에 10Q의 점전하를 놓았을 때, 직선 OP위의 점 중에서 전위가 0이 되는 지점과 구도체의 중심 O와의 거리는?
13 정전류가 흐르고 있는 무한 직선도체로부터 수직으로 0.1m만큼 떨어진 점의 자계의 크기가 100AT/m 이면 0.2m 만큼 떨어진 점의 자계의 크기(AT/m)는? 14 다음 중 무한 솔레노이드에 전류가 흐를 때에 대한 설명으로 가장 알맞은 것은? 15 면적 A(m2), 간격 d(m)인 평행판 콘덴서의 전극판에 비유전율 εr인 유전체를 가득 채웠을 때 전극판 간에 전압 V(V)를 가하면 전극판을 떼어내는데 필요한 힘은 몇 N 인가? 16 변위 전류와 가장 관계가 깊은 것은? 17 두 개의 자극판이 놓여 있을 때 자계의 세기 H(AT/m), 자속밀도 B(Wb/m2), 투자율 μ(H/m)인 곳의 자계의 에너지밀도(J/m3)는? 18 환성철심 코일에 5A의 전류를 흘려 2000AT의 기자력을 생기게 하려면 코일의 권수(회)는? 19 자성체에 외부의 자계 H0를 가하였을 때 자화의 세기 J와의 관계식은? (단, N은 감자율, μ는 투자율이다.) 20 무한장 선전하와 무한평면 전하에서 r(m) 떨어진 점의 전위는 각각 몇 V 인가? (단, ρL은 선전하밀도, ρs는 평면전하밀도이다.) 21 코일과 콘덴서에서 실제로 급격히 변화할 수 없는 것은? 22 L1 = 20H, L2 = 5H인 전자 결합회로에서 결합계수 K = 0.5일 때 상호인덕턴스 M은 몇 H 인가? 23 오버슈트(overshoot)의 정의로 옳은 것은? 24 다음 회로망은 T형 회로 및 π형 회로의 종속 접속으로 이루어졌다. 이 회로망의 ABCD 파라미터 중 틀린 것은?
49 단위이득주파수 fT가 125MHz인 트랜지스터가 대역폭 주파수 영역에서 전압이득이 26dB인 증폭기로 사용될 때 이상적으로 가질 수 있는 대역폭은 약 몇 MHz인가? (단, 저역 차단주파수는 없다.) 50 다음은 이상적인 연산 증폭기를 사용한 차동증폭기이다. 출력전압 Vo는 몇 V 인가? 51 다음의 트랜지스터 회로에서 VCC가 10V, RB가 300kΩ이고 RC가 1kΩ일 때, 베이스전류 IB 컬렉터-이미터 전압 VCE로 옳은 것은? (단, VBE = 0.7V이고, β = 100 이다.) 52 출력 전압파형이 입력파형과 똑같은 형태를 갖는 증폭기는? (단, 위상 무시) 53 이 회로의 동작으로 적절한 논리식은? 54 전가산기를 반가산기 몇 개와 어떤 논리게이트 몇 개로 구성하는 것이 가장 적당한가? 55 부궤환 증폭기에 대한 설명 중 옳은 것은? 56 아래는 7 세그면트 LED 디스플레이의 진리표이다. a~g의 세그먼트 중에서 d세그먼트를 동작시키기 위한 출력 Yd의 논리회로의 식은? (단, 1010 ~ 1111은 don't care 조건이다.) 57 트랜지스터 회로가 선형영역에서 동작할 때의 관계식으로 틀린 것은? 58 B급 푸시풀(push-pull) 증폭기의 직류 공급 전력은? (단, VCC는 공급 전압, Im은 최대 컬렉터 전류이다.) 59 어떤 차동증폭기의 차동이득은 1000이며, 동상이득은 0.1일 때, 동상신호 제거비 CMRR은 몇 dB인가? 60 다음 회로의 입출력 특성곡선으로 적절한 것은? (단, R = 10Ω, 다이오드는 이상적인 소자이며, slope은 절댓값이다.)
App Store Google Play
오늘학습 예시 이미지

시험에 합격하려면
복습을 제대로 해야 합니다.

오늘학습은 스스로 기억을 떠올리고 계획적으로 복습할 수 있도록 설계돼 있어요.
그것도, 가장 과학적인 방식으로요!

능동적 회상

능동적 회상
(Active Recall)

배운 내용을 단순 읽으며 반복하는 것이 아니라,
능동적으로 기억하고 있는지를
스스로 테스트하며
공부할 수 있는
학습 환경을 제공해 학습 효과를 높여요

간격 반복 학습

간격 반복 학습
(Spaced Repetition)

에빙하우스 망각곡선을 바탕으로
가장 최적의 시점에 복습을 제공하여
배운 내용이 잊히지 않도록 장기 기억화해요

Data 기반의
뇌과학적 복습 시스템

학습 결과 Data를 분석해, 문제별 최적화된
반복 학습량을
자동으로 분배해요.
학습에 소요되는 시간을 최소화하는
동시에
단기 기억을 장기 기억으로 전환해줘요.

36만 개 이상의
기출문제 무료 제공

공무원 및 약 300여종의 자격증 시험 기출문제
36만개
이상을 무료로 이용할 수 있어요.
여러 앱을 설치할 필요
없이, 오늘학습 하나로
모든 시험을 준비할 수 있어요.

다양한 문제 유형으로 만드는
나만의 단어장&문제집

기출 외에도 외워야 하는 내용은
객관식, 주관식, 카드, 빈칸
등 다양한 형식으로
직접 만들어 보세요. 내 학습 스타일에
맞게
나만의 단어장과 문제집을 만들 수 있어요.

시험별 체계적인
문제 관리

시험에 문제를 추가해 체계적으로
관리할 수 있어요.
주제나 단원별로
분류하고 싶다면,
시험에 챕터를 만들어
문제를 추가할 수도 있어요.

수십만 명이
오늘학습을 사랑합니다

앱 스토어 평점 4.9
구글 플레이 평점 4.8
누적 회원수 100,000+
지금 오늘학습을
시작해보세요
지금 시작하기
문제 선택