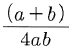
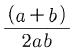
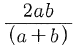
폭이 a이고 높이가 b인 직사각형 단면을 갖는 배관의 마찰손실수두를 계산할 때, 수력반경(hydraulic radius)은?
지금 시작하기 →

・・・ 문제은행 소방시설관리사(2019년) 32번

소방시설관리사 2019년 05월 32번

폭이 a이고 높이가 b인 직사각형 단면을 갖는 배관의 마찰손실수두를 계산할 때, 수력반경(hydraulic radius)은?

1
2
3
4
단축키
이전 문제로 이동은 키를 누르고, 다음 문제로 이동은 키를 누르세요
이전 문제 , 다음 문제
문제(125)
13 다음에서 설명하는 화재 현상은? 14 건축물의 피난ㆍ방화구조 등의 기준에 관한 규칙에서 정하고 있는 건축물의 피난안전구역의 설치기준 중 구조 및 설비기준으로 옳지 않은 것은? 15 화재성장속도의 분류별 약 1MW의 열량에 도달하는 시간으로 ()에 들어갈 내용으로 옳은 것은? 16 내화건축물의 구획실내에서 가연물의 연소 시, 성장기의 지배적 열전달로 옳은 것은? 17 화재로 인해 공장 벽체의 내부 표면온도가 450℃까지 상승하였으며, 벽체 외부의 공기온도는 15℃일 때 벽체 외부 표면온도(℃)는 약 얼마인가? (단, 벽체의 두께는 200mm이고, 벽체의 열전도계수는 0.69W/mㆍK, 대류열전달계수는 12W/m2ㆍK이다. 복사의 영향과 벽체 상ㆍ하부로의 열전달 및 기타의 손실은 무시하며, 0℃는 273K이고, 소수점 이하 셋째자리에서 반올림한다.) 18 다음에서 설명하는 연소생성물은? 19 연소생성물 중 연기가 인간에 미치는 유해성을 모두 고른 것은? 20 연기농도를 측정하는 감광계수, 중량농도법, 입자농도법의 단위를 순서대로 나열한 것으로 옳은 것은? 21 제연방식으로 ()에 들어갈 내용으로 옳은 것은? 22 면적이 0.15m2인 합판이 연소되면서 발생한 열방출량(Heat release rate)(kW)은 약 얼마인가? (단, 평균질량감소율은 0.03kg/m2ㆍs, 연소열은 25kJ/g, 연소효율은 55%이며, 소수점 이하 셋째자리에서 반올림한다.) 23 화재풀룸(Fire plume)에 관한 설명으로 옳지 않은 것은? 24 다음에서 설명하는 연소방식은?
25 환기구로 에너지가 유출되는 것을 의미하는 환기계수로 옳은 것은? (단, A는 면적, H는 높이이다.) 26 이상기체의 부피변화와 관련된 것은? 27 모세관 현상으로 인해 물이 상승할 때, 그 상승높이에 관한 설명으로 옳지 않은 것은? 28 다시-바이스바하(Darcy-Weisbach) 공식에서 마찰손실수두에 관한 설명으로 옳지 않은 것은? 29 상ㆍ하판의 가격이 5cm인 두 판 사이에 점성계수가 0.001Nㆍs/m2인 뉴턴 유체(Nertonian fluid) 가 있다. 상판이 수평방향으로 2.5m/s로 움직일 때, 발생하는 전당응력(N/m2)은? (단, 하판은 고정되어 있다.) 30 전양정이 30m인 펀프가 물을 0.03m3/s로 수송할 때, 펌프의 축동력(kW)은 약 얼마인가? (단, 물의 비중량은 9,800N/m3, 중력가속도는 9.8m/s2, 펌프의 효율은 60%이다.) 31 배관 내 평균유속 5m/s로 물이 흐르고 있다가 갑작스런 밸브의 잠김으로 발생되는 압력상승(MPa)은 약 얼마인가? (단, 물의 비중량은 9,800N/m3, 유체 내 압축파의 전달속도는 1,494m/s, 중력가속도는 9.8m/s2이다.) 32 폭이 a이고 높이가 b인 직사각형 단면을 갖는 배관의 마찰손실수두를 계산할 때, 수력반경(hydraulic radius)은? 33 층류 상태로 직경 5cm인 원형관 내 흐를 수 있는 물의 최대 유량(m3/s)은 약 얼마인가? (단, 물의 비중량은 9,800N/m, 물의 점성계수는 10×10-3Nㆍs/m2, 층류의 상한계 레이놀즈(Reynolds)수는 2,000, 중력가속도는 9.8m/s2, 원주율은 3.0이다.) (문제 오류로 실제 시험에서는 모두 정답처리 되었습니다. 여기서는 1번을 누르면 정답 처리 됩니다.) 34 관수로 흐름의 유량을 측정할 수 없는 장치는?(오류 신고가 접수된 문제입니다. 반드시 정답과 해설을 확인하시기 바랍니다.) 35 분말소화약제에 관한 설명으로 옳지 않은 것은? 36 이산화탄소소화설비의 화재안전기준상 소화에 필요한 이산화탄소의 설계농도(%)가 가장 높은 것은?
61 화재예방, 소방시설 설치ㆍ유지 및 안전관리에 관한 법령상 연소방지설비는 어떤 소방시설에 속하는가? 62 화재예방, 소방시설 설치ㆍ유지 및 안전관리에 관한 법령상 방염대상물품이 아닌 것은? 63 화재예방, 소방시설 설치ㆍ유지 및 안전관리에 관한 법령상 소방안전관리대상물의 관계인이 소방안전관리자를 선임한 경우에 소방안전관리대상물의 출입자가 쉽게 알 수 있도록 제시하여야 하는 사항이 아닌 것은? 64 화재예방, 소방시설 설치ㆍ유지 및 안전관리에 관한 법령상 과태료 처분에 해당하는 경우는? 65 화재예방, 소방시설 설치ㆍ유지 및 안전관리에 관한 법령상 방염성능기준 이상의 실내장식물 등을 설치하여야 하는 특정소방대상물이 아닌 것은? 66 위험물안전관리법령상 시ㆍ도지사의 허가를 받아야 설치할 수 있는 제조소등은? 67 위험물안전관리법령상 탱크안정성능검사의 대상이 되는 탱크 등에 관한 내용이다. ()에 들어갈 숫자로 옳은 것은? 68 위험물안전관리법령상 제조소등의 위험물안전관리자(이하 “안전관리자”라 함)에 관한 설명으로 옳은 것은? 69 위험물안전관리법령상 과태료 처분에 해당하는 경우는? 70 위험물안전관리법령상 정기점검의 대상인 제조소등의 아닌 것은? 71 다중이용업소의 안전관리에 관한 특별법령상 안전시설등의 설치ㆍ유지에 관한 설명이다. ()에 들어갈 내용으로 옳은 것은? 72 가중이용업소의 안전관리에 관한 특별법령상 화재배상책임보험의 가입과 관련하여 과태료 부과 대상에 해당하지 않는 것은?
85 위험물안전관리법령상 제조소의 위치ㆍ구조 및 설비의 기준에서 지정수량 5배의 히드록실아민(NH2OH)을 취급하는 위험물 제조소의 외벽과 병원(의료법에 의한 병원급 의료기관)의 안전거리로 옳은 것은? 86 제4류 위험물 중 제1석유류가 아닌 것은? 87 위험물안전관리법령상 브롬산칼륨(KBrO3)의 지정 수량(kg)은? 88 다음 물질 중 발화점이 가장 낮은 것은? 89 분자량 227g/mol인 니트로글리세린[C3H5(ONO2)3] 2,000g이 부피 1,500mL인 비파괴성 용기에서 폭발하였다. 폭발 당시의 온도가 500℃라면 이때의 압력(atm)은? (단, 절대온도 273K, 기체상수 0.082Lㆍatm/Kㆍmol이며, 소수점 이하는 절삭한다.) 90 다음은 위험물안전관리법령상 제조소의 위치ㆍ구조 및 설비의 기준에 관한 내용이다. ()에 알맞은 숫자를 순서대로 나열한 것은? 91 위험물안전관리법령상 제조소의 위치ㆍ구조 및 설비의 기준에서 배관의 설치에 관한 설명으로 옳은 것은? 92 위험물안전관리법령상 제조소의 위치ㆍ구조 및 설비의 기준에서 표지 및 게시판에 관한 설명으로 옳지 않은 것은? 93 위험물안전관리법령상 소화설비, 경보설비 및 피난설비의 기준에서 위험물제조소의 연면적이 2,000m2 또는 저장 및 취급하는 위험물이 지정수량의 150배 이상인 위험물제조소에 설치하여야 하는 소화설비로 옳은 것을 모두 고른 것은? 94 위험물안전관리법령상 옥외탱크저장소의 위치ㆍ구조 및 설비의 기준에서 인화성 액체위험물(이황화탄소를 제외한다) 옥외탱크저장소의 탱크 주위에 설치하는 방유제의 설치높이 기준으로 옳은 것은? 95 위험물안전관리법령상 옥외저장소의 위치ㆍ구조 및 설비의 기준에서 옥외저장소에 위험물을 저장하는 경우 저장장소 주위에 배수구 및 집유설비를 설치하여야 하는 위험물이 아닌 것은? 96 위험물안전관리법령상 옥외탱크저장소의 위치ㆍ구조 및 설비의 기준에서 무연가솔린 5,000리터를 저장하는 위험물 옥외탱크저장소에는 접지시설을 하거나 피회침을 설치하여야 한다. 이 경우 위험물 옥외탱크저장소에 피회침을 설치하지 아니할 수 있는 접지시설의 저항 값으로 옳은 것은?
97 위험물안전관리법령상 이송취급소의 위치ㆍ구조 및 설비의 기준에서 배관을 지하에 매설하는 경우 건축물의 외면으로부터 배관까지의 안전거리는? (단, 지하가내의 건축물을 제외한다.) 98 위험물안전관리법령상 제조소의 위치ㆍ구조 및 설비의 기준에서 위험물을 취급하는 건축물의 지분(작업공정상 제조기계시설 등이 2층 이상에 연결되어 설치된 경우에는 최상층의 지붕을 말한다.)을 내화구조로 할 수 없는 것은? 99 위험물안전관리법령상 옥내저장소의 위치ㆍ구조 및 설비의 기준에서 제4류 위험물 중 아세톤을 보관하는 하나의 옥내저장창고(2 이상의 구획된 실이 있는 때에는 각 실의 바닥 면적의 합계로 한다.)의 최대 바닥 면적(m2)은? 100 위험물안전관리법령상 수소충전설비를 설치한 주유취급소의 특례에 관한 설명으로 옳지 않은 것은? 101 비상방송설비의 화재안전기준상 배선의 설치기준으로 옳은 것은? 102 수신기 형식승인 및 제품검사의 기술기준상 수신기의 구조 및 일반기능으로 옳지 않은 것은? 103 스프링클러설비의 화재안전기준상 다음 조건에서 폐쇄형스프링클러헤드의 기준개수는? 104 국가화재안전기준상 배관의 기울기에 관한 내용으로 옳지 않은 것은? 105 소방용 가압송수장치 전동기가 3상3선식 380V로 작동하고 있다. 전동기의용량이 85kW, 역률 90%, 전기공급설비로부터 100m 떨어져 있으며 전선에서의 전압강하를 10V까지 허용할 경우 전선의 최소 굵기(mm2)는 약 얼마인가? 106 P형 1급 수신기와 감지기화의 배선회로에서 회로 종단저항은 10kΩ이고, 감지기 회로저항은 30Ω, 릴레리저항은 20Ω, 회로전압 DC 24V일 때, 평상시 수신반에서의 감시전류[mA]는 약 얼마인가? 107 고가수조를 보호하기 위하여 피뢰침을 설치한 경우 피뢰부의 소방시설 도시기호는? 108 지상 30층 아파트에 스프링클러설비가 설치되어 있고 세대별 헤드 수는 12개 일 때, 옥상수조 수원의 양을 포함하여 확보하여야 할 스프링클러설비 최소 수원의 양(m3)은 약 얼마 이상인가?
109 국가화재안전기준상 음향장치 및 음향경보장치 기준으로 옳지 않은 것은? 110 연소방지설비의 화재안전기준상 연소방지도료의 도포에 관한 기준으로 옳은 것은? 111 다음 직병렬 복합 누설경로 그림에서 제연실에서의 총 유효누설면적(m2)은 얼마 인가? (단, A1=A2=A3=0.02m2, A4=A5=0.01m2, 소수점 이하 넷째자리에서 반올림한다.) 112 제연설비의 화재안전기준상 예상제연구역에 대한 배출구의 설치기준으로 옳은 것은? 113 유도등 및 유도표지의 화재안전기준상 피난구유도등 설치 제외 대상에 관한 설명이다. ()에 들어갈 특정소방대상물로 옳지 않은 것은? 114 할로겐화합물 및 불활성기체소화설비의 화재안전기준상 배관의 설치기준으로 옳지 않은 것은? 115 자동화재속보설비의 화재안전기준상 설치기준으로 옳은 것은? 116 자동화재탐지설비 및 시각경보장치의 화재안전기준상 지상 15층, 지하 3층으로 연면적이 3,000m2를 초과하는 특정소방대상물에 화재가 발생하여 자동화재탐지설비를 통해 지하 1층, 지하 2층, 지하 3층, 지상 1층에 경보가 발하여진 경우, 발화층은? 117 할로겐화합물 및 불활성기체소화설비의 화재안전기준상 소화약제의 최대허용 설계농도(%) 기준으로 옳은 것은? 118 분말소화설비를 방호구역에 전역방출방식으로 설치하고자 한다. 소화약제는 제4종 분말이고, 방호구역의 체적이 150m3, 개구부의 면적이 3m2이며, 자동폐쇄장치를 설치하지 아니한 경우 분말소화약제의 최소 저장량(kg)은? 119 자동화재탐지설비 및 시각경보장치의 화재안전기준상 부착높이가 8m 이상 15m 미만일 경우 적응성 있는 감지기의 종류로 옳지 않은 것은? 120 화재조기진압용 스프링클러설비의 화재안전기준상 헤드에 관한 기준으로 옳지 않은 것은?
App Store Google Play
오늘학습 예시 이미지

시험에 합격하려면
복습을 제대로 해야 합니다.

오늘학습은 스스로 기억을 떠올리고 계획적으로 복습할 수 있도록 설계돼 있어요.
그것도, 가장 과학적인 방식으로요!

능동적 회상

능동적 회상
(Active Recall)

배운 내용을 단순 읽으며 반복하는 것이 아니라,
능동적으로 기억하고 있는지를
스스로 테스트하며
공부할 수 있는
학습 환경을 제공해 학습 효과를 높여요

간격 반복 학습

간격 반복 학습
(Spaced Repetition)

에빙하우스 망각곡선을 바탕으로
가장 최적의 시점에 복습을 제공하여
배운 내용이 잊히지 않도록 장기 기억화해요

Data 기반의
뇌과학적 복습 시스템

학습 결과 Data를 분석해, 문제별 최적화된
반복 학습량을
자동으로 분배해요.
학습에 소요되는 시간을 최소화하는
동시에
단기 기억을 장기 기억으로 전환해줘요.

36만 개 이상의
기출문제 무료 제공

공무원 및 약 300여종의 자격증 시험 기출문제
36만개
이상을 무료로 이용할 수 있어요.
여러 앱을 설치할 필요
없이, 오늘학습 하나로
모든 시험을 준비할 수 있어요.

다양한 문제 유형으로 만드는
나만의 단어장&문제집

기출 외에도 외워야 하는 내용은
객관식, 주관식, 카드, 빈칸
등 다양한 형식으로
직접 만들어 보세요. 내 학습 스타일에
맞게
나만의 단어장과 문제집을 만들 수 있어요.

시험별 체계적인
문제 관리

시험에 문제를 추가해 체계적으로
관리할 수 있어요.
주제나 단원별로
분류하고 싶다면,
시험에 챕터를 만들어
문제를 추가할 수도 있어요.

수십만 명이
오늘학습을 사랑합니다

앱 스토어 평점 4.9
구글 플레이 평점 4.8
누적 회원수 100,000+
지금 오늘학습을
시작해보세요
지금 시작하기
문제 선택