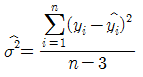
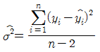
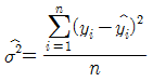
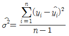
단순선형회귀모형 에서 최소제곱추정량 로부터 잔차 로부터 서로 독립이고 등분산인 오차들의 분산 의 불편추정량을 구하면?
지금 시작하기 →

・・・ 문제은행 사회조사분석사 2급(2018년 3회) 63번

사회조사분석사 2급 2018년 08월 63번

단순선형회귀모형 에서 최소제곱추정량 로부터 잔차 로부터 서로 독립이고 등분산인 오차들의 분산 의 불편추정량을 구하면?

1
2
3
4
단축키
이전 문제로 이동은 키를 누르고, 다음 문제로 이동은 키를 누르세요
이전 문제 , 다음 문제
문제(100)
61 공정한 주사위 1개를 20번 던지는 실험에서 1의 눈을 관찰한 횟수를 확률변수 X라 하고, 정규근사를 이용하여 P(X≥4)의 근사값을 구하려 한다. 다음 중 연속성 수정을 고려한 근사식으로 옳은 것은? (단, Z는 표준정규분포를 따르는 확률변수) 62 다음은 왼손으로 글자를 쓰는 사람을 8명에 대하여 왼손의 악력 X와 오른손의 악력 Y를 측정하여 정리한 결과이다. 왼손으로 글자를 쓰는 사람들의 왼손 악력이 오른손 악력보다 강하다고 할 수 있는가에 대해 유의수준 5%에서 검정하고자 한다. 검정통계량 T의 값과 기각역을 구하면? 63 단순선형회귀모형 에서 최소제곱추정량 로부터 잔차 로부터 서로 독립이고 등분산인 오차들의 분산 의 불편추정량을 구하면? 64 다음 중 중심위치의 척도와 가장 거리가 먼 것은? 65 남자 직원과 여자 직원의 임금을 조사하여 다음과 같은 결과를 얻었다. 변동(변이)계수에 근거한 남녀 직원 임금의 산포에 관한 설명으로 옳은 것은? 66 일원배치법에 대한 설명으로 옳은 것은? 67 다음 자료는 설명변수(X)와 반응변수(Y) 사이의 관계를 알아보기 위하여 조사한 자료이다. 설명변수(X)와 반응변수(Y) 사이에 단순회귀모형을 가정할 때, 회귀직선의 기울기에 대한 추정값은 얼마인가? 68 어느 대학교에서 학생들을 대상으로 4개의 변수(키, 몸무게, 혈액형, 월평균 용돈)에 대한 관측값을 얻었다. 4개의 변수 중에서 최빈값을 대푯값으로 사용할 때 가장 적절한 변수는? 69 작년도 자료에 의하면 어느 대학교의 도서관에서 도서를 대출한 학부 학생들의 학년별 구성비는 1학년 12%, 2학년 20%, 3학년 33%, 4학년 35%였다. 올해 이 도서관에서 도서를 대출한 학부 학생들의 학년별 구성비가 작년도와 차이가 있는가를 분석하기 위해 학부생 도서 대출자 400명을 랜덤하게 추출하여 학생들의 학년별 도수를 조사하였다. 이 자료를 갖고 통게적인 분석을 하는 경우 사용되는 검정통계량은? 70 평균이 μ이고, 표준편차가 σ인 모집단으로부터 크기가 n인 확률표본을 취할 때, 표본평균 의 분포에 대한 설명으로 옳은 것은? 71 분산분석에 대한 설명으로 옳은 것은? 72 2010년 도소매업의 사업체당 종사자수는 평균 3.0명이고 변동계수는 0.4이다. 95% 신뢰구간으로 옳은 것은? (단, z0.05=1.645, z0.025=1.96)(오류 신고가 접수된 문제입니다. 반드시 정답과 해설을 확인하시기 바랍니다.)
73 다음은 서로 다른 3가지 포장형태(A, B, C)의 선호도가 같은지를 90명을 대상으로 조사한 결과이다. 선호도가 동일한지를 검정하는 카이제곱 검정통계량의 값은? 74 단순회귀모형 Yi=α+βxi에서 회귀계수 β를 최소자승법(least squares method)으로 추정하는 경우와 εi가 평균이 0, 분산이 σ2인 정규분포를 따른다는 가정 하에 최대우도법(maximum likeihood method)으로 추정하는 경우의 설명으로 옳은 것은? 75 버스전용차로를 유지해야 하는 것에 대해 찬반 비율을 조사하기 위하여 서울에 거주하는 성인 1000명을 임의로 추출하여 조사한 결과 700명이 찬성한다고 응답하였다. 서울에 거주하는 성인 중 버스전용차로제에 찬성하는 사람의 비율의 추정치는? 76 X와 Y 의 평균과 분산은 각각 E(X)=4, V(X)=8, E(Y)=10, V(Y)=32이고, E(XY)=28이다. 2X+1 과 -3Y+5 의 상관계수는? 77 확률변수 X는 이항분포 B(n,p)를 따른다고 하자. n=10, p=0.5일 때, 확률변수 X의 평균과 분산은? 78 주머니 안에 6개의 공이 들어 있다. 그 중 1개에는 1, 2개에는 2, 3개에는 3이라고 쓰여 있다. 주머니에서 공 하나를 무작위로 꺼내 나타난 숫자를 확률변수 X라 하고, 다른 확률변수 Y=3×X+5라 할 때, 다음 중 틀린 것은? 79 퀴즈 게임에서 우승한 철수는 주사위를 던져서 그 나온 숫자에 100,000원을 곱한 상금을 받게 되었다. 그런데 그 주사위에는 홀수가 없이 짝수만이 있다. 즉 2가 2면, 4가 2면, 6이 2면인 것이다. 그 주사위를 던졌을 때 받게 될 상금의 기댓값은 얼마인가? 80 검정력(power)에 관한 설명으로 옳은 것은? 81 통계학 과목의 기말고사 성적은 평균(mean)이 40점, 중위값(median)이 38점이었다. 점수가 너무 낮아서 담당 교수는 12점의 기본점수를 더해 주었다. 새로 산정한 점수의 중위값은? 82 가설검정의 오류에 대한 설명으로 틀린 것은? 83 공정한 주사위 1개를 굴려 윗면에 나타난 수를 X라 할 때, X의 기댓값은? 84 어느 포장기계를 이용하여 생산한 제품의 무게는 평균이 240g, 표준편차는 8g인 정규분포를 따른다고 한다. 이 기계에서 생산한 제품 25개의 평균 무게가 242g 이하일 확률은? (단, Z는 표준정규분포를 따르는 확률변수)
85 컴퓨터 제조회사에서 보증기간을 정하려고 한다. 컴퓨터 수명은 평균 3년, 표준편차 9개월인 정규분포를 따른다고 한다. 보증기간 이전에 고장이 나면 무상수리를 해 주어야 한다. 이 회사는 출하 제품 가운데 5% 이내에서만 무상수리가 되기를 원한다. 보증기간을 몇 개월로 정하면 되겠는가? (단, P(Z>1.645)=0.05)(오류 신고가 접수된 문제입니다. 반드시 정답과 해설을 확인하시기 바랍니다.) 86 회귀식에서 결정계수 R2에 관한 설명으로 틀린 것은? 87 중회귀모형 에 대한 분산분석표가 다음과 같다. 위의 분산분석표를 이용하여 유의수준 0.05에서 모형에 대한 유의성검정을 할 때, 추론 결과로 가장 적합한 것은? 88 확률변수 X가 평균이 100이고 표준편차가 10인 정규분포를 따른다고 했을 때, X가 80보다 작을 확률은 얼마인가? (단, p(-0.2<z<0.2)=0.159, p(-2<z<2)=0.954) 89 시계에 넣는 배터리 16개의 수명을 측정한 결과 평균이 2년이고 표준편차가 1년이었다. 이 배터리 수명의 95% 신뢰구간을 구하면? (단, t(15,0.025)=2.13) 90 4 × 5 분할표 자료에 대한 독립성검정에서 카이제곱 통계량의 자유도는? 91 양의 확률을 갖는 사건 A, B, C의 독립성에 대한 설명으로 틀린 것은? 92 지난 해 C대학 야구팀은 총 77게임을 하였는데 37번의 홈경기에서 26게임을 이긴 반면에 40번의 원정경기에서는 23게임을 이겼다. 홈경기 승률()과 원정경기 승률() 간의 차이에 대한 95% 신뢰구간으로 옳은 것은? (단, 이며, 표준정규분포에서 P(Z≥1.65)=0.05이고 P(Z≥1.96)=0.025 이다.) 93 일원배치모형을 xij=μ+ai+εij(i=1,2,⋯,k;j=1,2,⋯1n)로 나타낼 때, 분산분석표를 이용하여 검정하려는 귀무가설 H0는? (단, i 는 처리, j 는 반복을 나타내는 첨자이며, 오차항 εij~N(0,σ2)이고 서로 독립적이며 이다.) 94 다음 중 중회귀모형에서 오차분석 σ2<의 추정량은? (단, ei는 잔차를 나타낸다.) 95 “남녀간 월급여의 차이가 있다” 라는 주장을 검정하기 위하여 사회조사를 실시하였다. 조사결과 남자집단의 월평균급여를 μ1, 여자집단의 월평균급여를 μ2라고 한다면 귀무가설은?(오류 신고가 접수된 문제입니다. 반드시 정답과 해설을 확인하시기 바랍니다.) 96 표본의 수가 n이고, 독립변수의 수가 k인 중선형회귀모형의 분산분석표에서 잔차제곱합SSE의 자유도는?
App Store Google Play
오늘학습 예시 이미지

시험에 합격하려면
복습을 제대로 해야 합니다.

오늘학습은 스스로 기억을 떠올리고 계획적으로 복습할 수 있도록 설계돼 있어요.
그것도, 가장 과학적인 방식으로요!

능동적 회상

능동적 회상
(Active Recall)

배운 내용을 단순 읽으며 반복하는 것이 아니라,
능동적으로 기억하고 있는지를
스스로 테스트하며
공부할 수 있는
학습 환경을 제공해 학습 효과를 높여요

간격 반복 학습

간격 반복 학습
(Spaced Repetition)

에빙하우스 망각곡선을 바탕으로
가장 최적의 시점에 복습을 제공하여
배운 내용이 잊히지 않도록 장기 기억화해요

Data 기반의
뇌과학적 복습 시스템

학습 결과 Data를 분석해, 문제별 최적화된
반복 학습량을
자동으로 분배해요.
학습에 소요되는 시간을 최소화하는
동시에
단기 기억을 장기 기억으로 전환해줘요.

36만 개 이상의
기출문제 무료 제공

공무원 및 약 300여종의 자격증 시험 기출문제
36만개
이상을 무료로 이용할 수 있어요.
여러 앱을 설치할 필요
없이, 오늘학습 하나로
모든 시험을 준비할 수 있어요.

다양한 문제 유형으로 만드는
나만의 단어장&문제집

기출 외에도 외워야 하는 내용은
객관식, 주관식, 카드, 빈칸
등 다양한 형식으로
직접 만들어 보세요. 내 학습 스타일에
맞게
나만의 단어장과 문제집을 만들 수 있어요.

시험별 체계적인
문제 관리

시험에 문제를 추가해 체계적으로
관리할 수 있어요.
주제나 단원별로
분류하고 싶다면,
시험에 챕터를 만들어
문제를 추가할 수도 있어요.

수십만 명이
오늘학습을 사랑합니다

앱 스토어 평점 4.9
구글 플레이 평점 4.8
누적 회원수 100,000+
지금 오늘학습을
시작해보세요
지금 시작하기
문제 선택