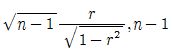
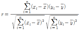
모 상관계수가 ρ인 이변량 정규분포를 따르는 두 변수에 대한 자료(xi, yi)(i=1, 2, …, n)에 대하여 표본상관계수 을 이용하여 귀무가설 H0:ρ=0을 검정하고자 한다. 이 때 사용되는 검정통계량과 그 자유도는?
지금 시작하기 →

・・・ 문제은행 사회조사분석사 2급(2021년 2회) 93번

사회조사분석사 2급 2021년 08월 93번

모 상관계수가 ρ인 이변량 정규분포를 따르는 두 변수에 대한 자료(xi, yi)(i=1, 2, …, n)에 대하여 표본상관계수 을 이용하여 귀무가설 H0:ρ=0을 검정하고자 한다. 이 때 사용되는 검정통계량과 그 자유도는?

1
2
3
4
단축키
이전 문제로 이동은 키를 누르고, 다음 문제로 이동은 키를 누르세요
이전 문제 , 다음 문제
문제(100)
61 분산분석표가 다음과 같을 때 ( )안에 들어갈 값은? 62 기존의 취업 교육 프로그램을 이수한 사람의 취업률 p는 0.7이다. 새로운 교육 프로그램이 취업률을 높인다는 주장이 있어 통계적으로 검정하기 위해 새로운 교육 프로그램을 이수한 사람을 임의로 추출하여 취업률을 조사하였다. 이 때 적절한 귀무가설(H0)과 대립가설(H1)은? 63 표본의 크기가 n=10에서 n=160으로 증가한다면, 평균의 표준오차는 n=10에서 얻은 경우와 비교할 경우 값의 변화는? 64 여론조사 기관에서 특정 프로그램의 시청률을 조사하기 위하여 100명의 시청자를 임의로 추출하여 시청여부를 물었더니 이 중 10명이 시청하였다. 이 때 이 프로그램의 시청률에 대한 95% 신뢰구간은? (단, 표준정규분포를 따르는 확률변수 Z는 P(Z>1.96)=0.025를 만족한다.) 65 한 학생이 경영학 과목에서 합격점수를 받을 확률은 2/3이고, 경영학과 통계학 두 과목에서 모두 합격점수를 받을 확률은 1/2이다. 만일 이 학생이 경영학 과목에 합격했음을 알고 있다면, 통계학 과목에서 합격점수를 받았을 확률은? 66 앞면과 뒷면이 나올 확률이 동일한 동전을 10번 독립적으로 던질 때 앞면이 나오는 횟수를 X라고 하면 X의 기댓값과 분산은? 67 변동계수(coefficient of variation)에 대한 설명으로 틀린 것은? 68 어떤 제품의 수명은 특정 부품의 수명과 밀접한 관계가 있다고 한다. 제품수명(Y)의 평균과 표준편차는 각각 13과 4이고, 부품수명(X)의 평균과 표준편차는 각각 12와 3이다. X와 Y의 상관계수가 0.6일 때, 추정희귀직선 에서 기울기 의 값은? 69 다음 통계량 중 그 성격이 다른 것은? 70 어느 투자자의 연도별 수익률이 x1, x2, …, xn일 때, 연평균 수익률을 구하는 방법으로 가장 적절한 것은? 71 다음의 내용에 해당하는 가설로 가장 타당한 것은? 72 일원배치법의 모형 Yij=μ+αi+εij에서 오차항 εij의 가정에 대한 설명으로 틀린 것은?
73 사건의 독립성에 관한 설명으로 틀린 것은? 74 오른쪽으로 꼬리가 긴 분포를 갖는 것은? 75 지수의 필통에는 형광펜 4자루와 볼펜 3자루가 들어있고, 동환이의 필통에는 볼펜 4자루와 형광펜 3자루가 들어있다. 임의로 선택된 한 필통에서 펜을 한 자루 꺼낼 때 그 펜이 형광펜일 확률은? 76 모표준편차가 σ인 모집단에서 크기가 10인 표본으로부터 표본평균을 구하여 모평균을 추정하였다. 표본평균의 표준오차를 반(1/2)으로 줄이려면, 추가로 표본을 얼마나 더 추출해야 하는가? 77 회귀분석에서 관측값과 예측값의 차이는? 78 가설검정 시 유의확률(p값)과 유의수준(α)의 관계에 대한 설명으로 맞는 것은? 79 어떤 연속확률변수 X의 평균이 0이고, 분산이 4이다. 체비셰프(Chebyshev) 부등식을 이용하여 P(-4≤X≤4)의 범위를 구하면? 80 X가 이항분포 B(n, p)를 따를 때, p의 불편추정량인 의 분산은? 81 두 변량 X와 Y의 관계를 분석하고자 한다. X와 Y가 모두 연속형 변수일 때 가장 적합한 분석은? 82 단순회귀분석에서 결정계수 r2에 대한 설명 중 틀린 것은? 83 독립변수가 5개인 100개의 자료를 이용하여 절편이 있는 선형회귀모형을 추정할 때 잔차의 자유도는? 84 행변수가 M개의 범주를 갖고 열변수가 N개의 범주를 갖는 분할표에서 행변수와 열변수가 서로 독립인지를 검정하고자 한다. (i, j)셀의 관측도수를 Oij, 귀무가설 하에서의 기대도수의 추정치를 라 할 때, 이 검정을 위한 검정통계량은?
85 어떤 회사에서 생산되는 제품이 부적합품일 확률은 서로 독립적으로 0.01이라 한다. 이 회사는 한 상자에 10개씩 포장해서 판매를 하는데 만일 한 상자에 부적합품이 2개 이상이면 돈을 환불해준다. 판매된 한 상자가 반품될 확률은 약 얼마인가? 86 “남녀간 월급여의 차이가 있다”라는 주장을 검정하기 위하여 사회조사를 실시하였다. 조사결과 남자집단의 월평균급여를 μ1, 여자집단의 월평균급여를 μ2라고 한다면, 귀무가설은? 87 다음 표는 성별과 혼인상태에 따른 교차표이다. 이 표에 대한 설명으로 틀린 것은? 88 연속형 확률변수 X의 확률밀도함수가 다음과 같을 때 상수 k값과 P(|X|>1)을 순서대로 구하면? 89 일원배치 분산분석에 대한 설명으로 틀린 것은? 90 모집단의 모수 θ에 대한 추정량(estimator)으로서 지녀야 할 성질 중 일치추정량에 대한 설명으로 가장 적합한 것은? 91 확률변수 X와 Y는 서로 독립이며, X~N(1,12)이고, Y~N(2,22)이다. P(X+Y≥5)을 표준정규분포의 누적분포함수 를 이용하여 나타내면? 92 어느 도시의 금연운동단체에서는 청소년들의 흡연율 p를 조사하기 위해 이 도시에 거주하는 청소년들 중 1200명을 임의로 추출하여 조사한 결과 96명이 흡연을 하고 있었다. 이 도시 청소년들의 흡연율 p의 추정값 와 의 95%오차한계는? (단, P(Z>1.645)=0.05, P(Z>1.96)=0.025, P(Z>2.58)=0.005이다.) 93 모 상관계수가 ρ인 이변량 정규분포를 따르는 두 변수에 대한 자료(xi, yi)(i=1, 2, …, n)에 대하여 표본상관계수 을 이용하여 귀무가설 H0:ρ=0을 검정하고자 한다. 이 때 사용되는 검정통계량과 그 자유도는? 94 다음 자료에 대한 설명으로 틀린 것은? 95 연속확률변수 X의 확률밀도함수가 다음과 같을 때 X의 기댓값은? 96 상관계수의 범위에 관한 설명으로 맞는 것은?
App Store Google Play
오늘학습 예시 이미지

시험에 합격하려면
복습을 제대로 해야 합니다.

오늘학습은 스스로 기억을 떠올리고 계획적으로 복습할 수 있도록 설계돼 있어요.
그것도, 가장 과학적인 방식으로요!

능동적 회상

능동적 회상
(Active Recall)

배운 내용을 단순 읽으며 반복하는 것이 아니라,
능동적으로 기억하고 있는지를
스스로 테스트하며
공부할 수 있는
학습 환경을 제공해 학습 효과를 높여요

간격 반복 학습

간격 반복 학습
(Spaced Repetition)

에빙하우스 망각곡선을 바탕으로
가장 최적의 시점에 복습을 제공하여
배운 내용이 잊히지 않도록 장기 기억화해요

Data 기반의
뇌과학적 복습 시스템

학습 결과 Data를 분석해, 문제별 최적화된
반복 학습량을
자동으로 분배해요.
학습에 소요되는 시간을 최소화하는
동시에
단기 기억을 장기 기억으로 전환해줘요.

36만 개 이상의
기출문제 무료 제공

공무원 및 약 300여종의 자격증 시험 기출문제
36만개
이상을 무료로 이용할 수 있어요.
여러 앱을 설치할 필요
없이, 오늘학습 하나로
모든 시험을 준비할 수 있어요.

다양한 문제 유형으로 만드는
나만의 단어장&문제집

기출 외에도 외워야 하는 내용은
객관식, 주관식, 카드, 빈칸
등 다양한 형식으로
직접 만들어 보세요. 내 학습 스타일에
맞게
나만의 단어장과 문제집을 만들 수 있어요.

시험별 체계적인
문제 관리

시험에 문제를 추가해 체계적으로
관리할 수 있어요.
주제나 단원별로
분류하고 싶다면,
시험에 챕터를 만들어
문제를 추가할 수도 있어요.

수십만 명이
오늘학습을 사랑합니다

앱 스토어 평점 4.9
구글 플레이 평점 4.8
누적 회원수 100,000+
지금 오늘학습을
시작해보세요
지금 시작하기
문제 선택