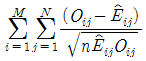
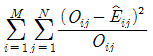
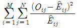
행변수가 M개의 범주를 갖고 열변수가 N개의 범주를 갖는 분할표에서 행변수와 열변수가 서로 독립인지를 검정하고자 한다. (i, j)셀의 관측도수를 Oij, 귀무가설 하에서의 기대도수의 추정치를 라 할 때, 이 검정을 위한 검정통계량은?
지금 시작하기 →

・・・ 문제은행 사회조사분석사 2급(2017년 1회) 74번

사회조사분석사 2급 2017년 03월 74번

행변수가 M개의 범주를 갖고 열변수가 N개의 범주를 갖는 분할표에서 행변수와 열변수가 서로 독립인지를 검정하고자 한다. (i, j)셀의 관측도수를 Oij, 귀무가설 하에서의 기대도수의 추정치를 라 할 때, 이 검정을 위한 검정통계량은?

1
2
3
4
단축키
이전 문제로 이동은 키를 누르고, 다음 문제로 이동은 키를 누르세요
이전 문제 , 다음 문제
문제(100)
61 모평균에 대한 95% 신뢰구간을 구하였다. 만약 표본의 크기를 4배 증가시키면 신뢰구간의 길이는 어떻게 변화하는가? 62 P(A)=1/3, P(B\A)=1/5 일 때 P(A∩B)는? 63 두 변수 X와 Y에 대한 자료가 다음과 같이 주어졌을 때 단순회귀모형으로 추정한 회귀직선으로 옳은 것은? 64 기존의 금연교육을 받은 흡연자들 중 30%이하가 금연을 하는 것으로 알려져 있다. 어느 금연운동 단체에서는 새로 구성한 금연교육 프로그램이 기존의 금연교육보다 훨씬 효과가 높다고 주장한다. 이 주장을 검정하기 위해 임의로 택한 20명의 흡연자에게 새 프로그램으로 교육을 실시하였다. 검정해야 할 가설은 H0 : p ≤ 0.3 대 H1 : p > 0.3 (p : 새 금연교육을 받은 후 금연율)이며, 20명 중 금연에 성공한 사람이 많을수록 H1에 대한 강한 증거로 볼 수 있으므로, X를 20명 중 금연한 사람의 수라 하면 기각역은 “ H ≥ c”의 형태이다. 유의 수준 5%에서 귀무가설 H0을 기각하기 위해서는 새 금연교육을 받은 20명 중 최소한 몇 명이 금연에 성공해야 하겠는가? (단, P(X ≥ c 금연 교육 후 금연율 = p)(오류 신고가 접수된 문제입니다. 반드시 정답과 해설을 확인하시기 바랍니다.) 65 일원배치법에서 k개의 각 처리에 대한 반복수가 r로 모두 동일한 경우, 처리의 자유도와 잔차의 자유도가 옳은 것은? 66 상관계수에 대한 설명으로 틀린 것은? 67 어떤 제품의 수명은 특정 부품의 수명과 밀접한 관계가 있다고 한다. 제품수명(Y)의 평균과 표준편차는 각각 13과 4이고 부품수명(X)의 평균과 표준편차는 각각 12와 3이다. 상관계수가 0.6일 때 추정회귀 직선 에서 기울기 의 값은? 68 종업원 수가 1,600명인 회사의 종업원 하루 평균 용돈을 조사하였더니, 평균 10,000원, 표준편차 5,000원이었다. 이 회사의 종업원 가운데 400명을 임의로 선발하여 표본조사 한다면, 이 표본평균의 표준편차는? 69 다음은 일원분산분석에 대한 결과표이다. ( )에 알맞은 것은? 70 한 개의 공정한 동전을 10번 던지는 실험에서 확률변수 X를 앞면(H)이 나온 횟수로 정의하면 확률변수 X의 평균은? 71 A분포와 B분포의 특성에 관한 설명으로 틀린 것은? 72 정규분포를 따르는 어떤 집단의 모평균이 10인지를 검정하기 위하여 크기가 25인 표본을 추출하여 관측한 결과 표본평균은 9, 표본표준편차는 2.5 이었다. t-검정을 할 경우 검정통계량의 값은?
73 다음은 대응되는 두 변량 X와 Y를 관측하여 얻은 자료 (x1, y1), (x2, y2), (xn, yn)으로 그린 산점도이다. X와 Y의 표본상관계수의 절댓값이 가장 작은 것은? 74 행변수가 M개의 범주를 갖고 열변수가 N개의 범주를 갖는 분할표에서 행변수와 열변수가 서로 독립인지를 검정하고자 한다. (i, j)셀의 관측도수를 Oij, 귀무가설 하에서의 기대도수의 추정치를 라 할 때, 이 검정을 위한 검정통계량은? 75 모집단의 확률분포가 정규분포를 따른다고 한다. 이 모집단의 확률분포에 대한 설명으로 틀린 것은? 76 어느 한 집단에 대해서 신체검사를 하였다. 신체검사 결과 키와 발의 산포크기를 비교하고자 할 때 가장 적합한 것은? 77 다음 검정 중 검정통계량의 분포가 나머지 셋과 다른 것은? 78 k개의 독립변수 xi(i=1, 2, ⋯, k)와 종속변수 y에 대한 중회귀모형 y=α+β1x1+⋯+βkxk+ε을 고려하여, n개의 자료에 대해 중회귀분석을 실시하고자 한다. 총 편차 를 분해하여 얻을 수 있는 세 개의 제곱합 , 그리고 의 자유도를 각각 구하면? 79 A대학교 학생 전체에서 100명을 임의 추출하여 신장을 조사한 결과 평균이 170㎝이고 표준편차가 10㎝이었다. A대학교 학생 평균 신장의 95% 신뢰구간은? (단, Z∼N(0.1) 이고 P(Z > 1.96)=0.025이다.) 80 유의수준 α에서 단측가설검정을 시행하고자한다. 다음 중 귀무가설(H0)을 기각할 수 있는 유의확률 p값의 조건으로 옳은 것은? 81 다음 중 산포도의 측도가 아닌 것은? 82 구간 (0, 1)에서 연속인 확률변수 X의 누적분포함수가 F(x)=x일 때, X의 평균은? 83 국내 어느 항공회사에서는 A노선의 항공편을 예약한 사람 중 20%가 예정시간에 공항에 도착하지 못하여 탑승하지 못하거나 사전에 예약을 취소 또는 변경한다는 사실을 알고, 여석 발생으로 인한 손실을 줄이기 위해 300석의 좌석이 마련되어 있는 이 노선의 특정항공편에 360건의 예약을 접수 받았다. 이 항공편을 예약하고 예정 시간에 공항에 나온 사람들 모두가 탑승하여 좌석에 앉을 수 있을 확률을 아래 확률분포표를 이용하여 구한 값은? (단, 연속성 수정을 이용하고, 소수의 계산은 소수점이하 셋째자리에서 반올림한다.) 84 다음은 중회귀식 = 39.69+3.37X1+0.53X2 의 회귀계수표이다. 다음 ( )에 알맞은 값은?
85 정규분포를 따르는 모집단의 모평균에 대한 가설 H0 : μ = 50 vs H1 : μ < 50을 검정하고자 한다. 크기 n=100의 임의표본을 취하여 표본평균을 구한 결과 = 49.02를 얻었다. 모집단의 표준편차가 5 라면 유의확률은 얼마인가? (단, P(Z≤-1.96)=0.025, P(Z≤-1.645)=0.05) 86 분산분석을 수행하는데 필요한 가정이 아닌 것은? 87 표본으로 추출된 6명의 학생이 지원했던 여름방학 아르바이트의 수가 다음과 같이 정리되었다. 피어슨의 비대칭계수(p)에 근거한 자료의 분포에 관한 설명으로 옳은 것은? 88 성공의 확률이 p인 베르누이 시행을 n회 반복하여 시행했을 때, 이항분포에 대한 설명으로 틀린 것은? 89 5와 6의 눈이 없는 대신 4의 눈이 세 개인 공정한 주사위가 있다. 이 주사위를 던져서 나오는 눈의 수를 X라 하면, X의 분산은? 90 다음 일원배치분산분석 모형에 대한 설명으로 틀린 것은? 91 10명의 스포츠댄스 회원들이 한 달간 댄스 프로그램에 참가하여 프로그램 시작 전 체중과 한 달 후 체중의 차이를 알아보려고 할 때 적합한 검정방법은? 92 어떤 승용차의 가격이 출고 연도가 지남에 따라 얼마나 떨어지는가를 알아보기 위하여 이 승용차에 대한 중고판매가격에 대한 조사를 하였다. 사용년수와 중고차 가격과의 관계를 보기 위한 적합한 분석방법은? 93 단순회귀분석의 모형에서 오차항의 기본가정에 대한 설명으로 틀린것은? 94 A반 학생은 50명이고 B반 학생은 100명이다. A반과 B반의 평균 성적이 각각 80점과 85점이었다. A반과 B반의 전체 평균성적은? 95 사분위수범위를 바르게 나타낸 것은? 96 어느 지역 주민의 3%가 특정 풍토병에 걸려있다고 한다. 이 병의 검진방법에 의하면 감염자의 95%가 (+)반응을, 나머지 5%가 (-)반응을 나타내며 비감염자의 경우는 10%가 (+)반응을, 90%가 (-)반응을 나타낸다고 한다. 주민 중 한 사람을 검진한 결과 (+)반응을 보였다면 이 사람이 감염자일 확률은?
App Store Google Play
오늘학습 예시 이미지

시험에 합격하려면
복습을 제대로 해야 합니다.

오늘학습은 스스로 기억을 떠올리고 계획적으로 복습할 수 있도록 설계돼 있어요.
그것도, 가장 과학적인 방식으로요!

능동적 회상

능동적 회상
(Active Recall)

배운 내용을 단순 읽으며 반복하는 것이 아니라,
능동적으로 기억하고 있는지를
스스로 테스트하며
공부할 수 있는
학습 환경을 제공해 학습 효과를 높여요

간격 반복 학습

간격 반복 학습
(Spaced Repetition)

에빙하우스 망각곡선을 바탕으로
가장 최적의 시점에 복습을 제공하여
배운 내용이 잊히지 않도록 장기 기억화해요

Data 기반의
뇌과학적 복습 시스템

학습 결과 Data를 분석해, 문제별 최적화된
반복 학습량을
자동으로 분배해요.
학습에 소요되는 시간을 최소화하는
동시에
단기 기억을 장기 기억으로 전환해줘요.

36만 개 이상의
기출문제 무료 제공

공무원 및 약 300여종의 자격증 시험 기출문제
36만개
이상을 무료로 이용할 수 있어요.
여러 앱을 설치할 필요
없이, 오늘학습 하나로
모든 시험을 준비할 수 있어요.

다양한 문제 유형으로 만드는
나만의 단어장&문제집

기출 외에도 외워야 하는 내용은
객관식, 주관식, 카드, 빈칸
등 다양한 형식으로
직접 만들어 보세요. 내 학습 스타일에
맞게
나만의 단어장과 문제집을 만들 수 있어요.

시험별 체계적인
문제 관리

시험에 문제를 추가해 체계적으로
관리할 수 있어요.
주제나 단원별로
분류하고 싶다면,
시험에 챕터를 만들어
문제를 추가할 수도 있어요.

수십만 명이
오늘학습을 사랑합니다

앱 스토어 평점 4.9
구글 플레이 평점 4.8
누적 회원수 100,000+
지금 오늘학습을
시작해보세요
지금 시작하기
문제 선택