평균이 μ, 분산이 σ2인 모집단에서 크기 n의 임의표본을 반복추출하는 경우, n이 크면 중심극한정리에 의하여 표본합의 분포는 정규분포를 수렴한다. 이때 정규분포의 형태는?
지금 시작하기 →

・・・ 문제은행 사회조사분석사 2급(2020년 1회) 84번

사회조사분석사 2급 2020년 06월 84번

평균이 μ, 분산이 σ2인 모집단에서 크기 n의 임의표본을 반복추출하는 경우, n이 크면 중심극한정리에 의하여 표본합의 분포는 정규분포를 수렴한다. 이때 정규분포의 형태는?

1
2
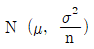
N(μ, nσ2)
3
N(nμ, nσ2)
4
단축키
이전 문제로 이동은 키를 누르고, 다음 문제로 이동은 키를 누르세요
이전 문제 , 다음 문제
문제(100)
37 측정 시 발생하는 오차에 대한 설명으로 틀린 것은? 38 신뢰도와 타당도에 관한 설명 중 옳지 않은 것은? 39 다음의 사항을 측정할 때 측정수준이 다른 것은? 40 모집단을 구성하고 있는 구성요소들이 자연적인 순서 또는 일정한 질서에 따라 배열된 목록에서 매 k번째의 구성요소를 추출하여 표본을 형성하는 표집방법은? 41 표본크기에 관한 설명으로 옳은 것은? 42 명목척도(nominal scale)에 관한 설명으로 옳지 않은 것은? 43 측정항목이 가질 수 있는 모든 조합의 상관관계의 평균값을 산출해 신뢰도를 측정하는 방법은? 44 4년제 대학교 대학생 집단을 학년과 성, 단과대학(인문사회, 자연, 예체능, 기타)으로 구분하여 할당표집할 경우 할당표는 총 몇 개의 범주로 구분되는가? 45 확률표집에 대한 설명으로 틀린 것은? 46 어느 커피매장에서 그 커피매장에 오는 고객들을 대상으로 제품 선호도 설문조사를 실시하여 신상품을 개발한 경우, 설문조사 표본을 구성하는 과정에 해당하는 표집방법은? 47 일반적인 표본추출과정을 바르게 나열한 것은? 48 A항공사에서 자사의 마일리지 사용자 중 최근 1년 동안 10만 마일 이상 사용자들을 모집단으로 하면서 자사 마일리지 카드 소지자 명단을 표본프레임으로 사용하여 전체에서 표본추출을 할 때의 표본프레임 오류는?
61 표본크기가 3인 자료 x1, x2, x3의 평균 , 분산 s2=100이다. 관측값 10이 추가되었을 때, 4개 자료의 분산 s2은? (단, 표본분산 s2은 불편분산이다.) 62 다음은 두 모집단 N(μ1, σ2), N(μ2, σ2)으로부터 서로 독립된 표본을 추출하여 얻은 결과이다. 공통분산 s2p의 값은? 63 다음 표는 완전 확률화 계획법의 분산분석표에서 자유도의 값을 나타내고 있다. 반복수가 일정하다고 한다면 처리수와 반복수는 얼마인가? 64 분산과 표준편차에 관한 설명으로 틀린 것은? 65 단순회귀모형 y1=β0+β1xi+εi(i=1,2,…, n)에서 최소제곱법에 의한 추정회귀직선 의 설명력을 나타내는 결정계수 r2에 대한 설명으로 틀린 것은? 66 회귀분석에 관한 설명으로 틀린 것은? 67 다음 분산분석표에 관한 설명으로 틀린 것은? 68 중회귀분석에서 회귀계수에 대한 검정결과가 아래와 같을 때의 설명으로 틀린 것은? (단, 결정계수는 0.891이다.) 69 어떤 공장에서 생산하고 있는 진공관은 10%가 불량품이라고 한다. 이 공장에서 생산되는 진공관 중에서 임의로 100개를 취할 때, 표본불량률의 분포는 근사적으로 어느 것을 따르는가? (단, N은 정규분포를 의미한다.) 70 통계적 가설검정을 위한 검정통곗값에 대한 유의확률(p-value)이 주어졌을 때, 귀무가설을 유의수준 α로 기각할 수 있는 경우는? 71 동전을 던질 때 앞면이 나올 확률을 0.4라고 할 때 동전을 세 번 던져서 두 번은 앞면이, 한 번은 뒷면이 나올 확률은? 72 추정량이 가져야 할 바람직한 성질이 아닌 것은?
73 화장터 건립의 후보지로 거론되는 세 지역의 여론을 비교하기 위해 각 지역에서 500명, 450명, 400명을 임의출하여 건립에 대한 찬성여부를 조사하고 분할표를 작성하여 계산한 결과 검정통계량의 값이 7.55이었다. 유의수준 5%에서 임계값과 검정 결과가 알맞게 짝지어진 것은? (단, 이다.) 74 N(μ, σ2)인 모집단에서 표본을 임의추출할 때 표본평균이 모평균으로부터 0.5σ 이상 떨어져 있을 확률이 0.3174이다. 표본의 크기를 4배로 할 때, 표본평균이 모평균으로부터 0.5σ 이상 떨어져 있을 확률은? (단, Z가 표준정규분포를 따르는 확률변수일 때, 확률 P(Z>x)은 다음과 같다.) 75 행의 수가 2, 열의 수가 3인 이원교차표에 근거한 카이제곱 검정을 하려고 한다. 검정통계량의 자유도는 얼마인가? 76 다음 중 이항분포에 관한 설명으로 틀린 것은? 77 다음 중 제1종 오류가 발생하는 경우는? 78 X는 정규분포를 따르는 확률변수이다. P(X<10)=0.5일 때, X의 기댓값은? 79 독립변수가 k개인 중회귀모형 y=Xβ+ε에서 회귀계수벡터 β의 추정량 b의 분산-공분산 행렬 Var(b)은? (단, Var(ε)=σ2I) 80 명중률이 75%인 사수가 있다. 1개의 주사위를 던져서 1 또는 2의 눈이 나오면 2번 쏘고, 그 이외의 눈이 나오면 3번 쏘기로 한다. 1개의 주사위를 한 번 던져서 이에 따라 목표물을 쏠 때, 오직 한 번만 명중할 확률은? 81 어떤 처리 전후의 효과를 분석하기 위한 대응비교에서 자료의 구조가 다음과 같다. 일반적인 몇 가지 조언을 가정할 때 처리 이전과 이후의 평균에 차이가 없다는 귀무가설을 검정하기 위한 검정통계량 은 t분포를 따른다. 이때 자유도는? (단, 이다.) 82 다음 중 분산분석표에 나타나지 않는 것은? 83 정규분포를 따르는 모집단의 모평균에 대한 가설 H0:μ=50 VS H1:μ<50을 검정하고자 한다. 크기 n=100의 임의표본을 취하여 표본평균을 구한 결과 를 얻었다. 모집단의 표준편차가 5라면 유의확률은 얼마인가? (단, P(Z≤-1.96)=0.025, P(Z≤-1.96)이다.) 84 평균이 μ, 분산이 σ2인 모집단에서 크기 n의 임의표본을 반복추출하는 경우, n이 크면 중심극한정리에 의하여 표본합의 분포는 정규분포를 수렴한다. 이때 정규분포의 형태는?
85 다음 표와 같은 분포를 갖는 확률변수 X에 대한 기댓값은? 86 반복수가 동일한 일원배치법의 모형 Yij=μ+αo+εij, ,i=1,2,…,k,j=1,2,…n에서 오차항 εij에 대한 가정이 아닌 것은? 87 어떤 자격시험의 성적은 평균 70, 표준편차 10인 정규분포를 따른다고 한다. 상위 5%까지를 1등급으로 분류한다면, 1등급이 되기 위해서는 최소한 몇 점을 받아야 하는가? (단, P(Z≤1.645)=]0.95,Z~N(0,1)이다.) 88 초기하분포와 이항분포에 대한 설명으로 틀린 것은? 89 어느 중학교 1학년의 신장을 조사한 결과, 평균이 136.5㎝, 중앙값은 130.0㎝, 표준편차가 2.0㎝이었다. 학생들의 신장의 분포에 대한 설명으로 옳은 것은? 90 어느 정당에서는 새로운 정책에 대한 찬성과 반대를 남녀별로 조사하여 다음의 결과를 얻었다. 남녀별 찬성률에 차이가 있다고 볼 수 있는가에 대하여 검정할 때 검정통계량을 구하는 식은? 91 통계학 과목을 수강한 학생 가운데 학생 10명을 추출하여, 그들이 강의에 결석한 시간(X)과 통계학점수(Y)를 조사하여 다음 표를 얻었다. 단순 선형 회귀분석을 수행한 다음 결과의 ( )에 들어갈 것으로 틀린 것은? 92 초등학생과 대학생의 용돈의 평균과 표준편차가 다음과 같을 때 변동계수를 비교한 결과로 옳은 것은? 93 자료의 산술평균에 대한 설명으로 틀린 것은? 94 표본평균에 대한 표준오차의 설명으로 틀린 것은? 95 A약국의 드링크제 판매량에 대한 표준편차(σ)는 10으로 정규분포를 이루는 것으로 알려져 있다. 이 약국의 드링크제 판매량에 대한 95% 신뢰구간을 오차한계 0.5보다 작게 하기 위해서는 표본의 크기를 최소한 얼마로 하여야 하는가? (단, 95% 신뢰구간의 Z0.025=1.96) 96 피어슨 상관관계 값의 범위는?
App Store Google Play
오늘학습 예시 이미지

시험에 합격하려면
복습을 제대로 해야 합니다.

오늘학습은 스스로 기억을 떠올리고 계획적으로 복습할 수 있도록 설계돼 있어요.
그것도, 가장 과학적인 방식으로요!

능동적 회상

능동적 회상
(Active Recall)

배운 내용을 단순 읽으며 반복하는 것이 아니라,
능동적으로 기억하고 있는지를
스스로 테스트하며
공부할 수 있는
학습 환경을 제공해 학습 효과를 높여요

간격 반복 학습

간격 반복 학습
(Spaced Repetition)

에빙하우스 망각곡선을 바탕으로
가장 최적의 시점에 복습을 제공하여
배운 내용이 잊히지 않도록 장기 기억화해요

Data 기반의
뇌과학적 복습 시스템

학습 결과 Data를 분석해, 문제별 최적화된
반복 학습량을
자동으로 분배해요.
학습에 소요되는 시간을 최소화하는
동시에
단기 기억을 장기 기억으로 전환해줘요.

36만 개 이상의
기출문제 무료 제공

공무원 및 약 300여종의 자격증 시험 기출문제
36만개
이상을 무료로 이용할 수 있어요.
여러 앱을 설치할 필요
없이, 오늘학습 하나로
모든 시험을 준비할 수 있어요.

다양한 문제 유형으로 만드는
나만의 단어장&문제집

기출 외에도 외워야 하는 내용은
객관식, 주관식, 카드, 빈칸
등 다양한 형식으로
직접 만들어 보세요. 내 학습 스타일에
맞게
나만의 단어장과 문제집을 만들 수 있어요.

시험별 체계적인
문제 관리

시험에 문제를 추가해 체계적으로
관리할 수 있어요.
주제나 단원별로
분류하고 싶다면,
시험에 챕터를 만들어
문제를 추가할 수도 있어요.

수십만 명이
오늘학습을 사랑합니다

앱 스토어 평점 4.9
구글 플레이 평점 4.8
누적 회원수 100,000+
지금 오늘학습을
시작해보세요
지금 시작하기
문제 선택