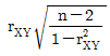
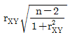
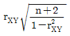
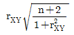
두 변수 X, Y의 상관계수에 대한 유의성 검정 (H0:ρXY=0)을 t-검정으로 하고자 한다. 이 때 올바른 검정통계량은? (단, rXY:표본 상관계수)
지금 시작하기 →

・・・ 문제은행 사회조사분석사 2급(2017년 2회) 75번

사회조사분석사 2급 2017년 05월 75번

두 변수 X, Y의 상관계수에 대한 유의성 검정 (H0XY=0)을 t-검정으로 하고자 한다. 이 때 올바른 검정통계량은? (단, rXY:표본 상관계수)

1
2
3
4
단축키
이전 문제로 이동은 키를 누르고, 다음 문제로 이동은 키를 누르세요
이전 문제 , 다음 문제
문제(100)
49 제공되는 정보와 자료 분석에 이용할 수 있는 통계적 방법의 수준에 따라 척도를 순서대로 나열한 것은? 50 어떤 측정수단을 같은 연구자가 두 번 이상 사용하거나, 둘 이상의 서로 다른 연구자들이 사용 한다고 할때, 그 측정 수단을 가지고 측정한 결과가 안정되고 일관성이 있는가를 확인하려고 한다면 어떤 것을 고려해야 하는가? 51 암기력을 측정하기 위해 암기 한 것들을 모두 종이위에 쓰도록 하는 방법과 암기한 것을 모두 말하도록 하는 방법을 사용하는 경우, 서로 다른 두 가지의 측정방법을 측정한 결과 값들 간에 상관관계의 정도를 나타내는 타당성은? 52 리커트 척도의 단점에 해당되지 않는 것은? 53 개념의 구성요소가 아닌 것은? 54 표본추출방법에 관한 설명으로 틀린 것은? 55 다음 중 표본의 크기가 같다고 했을 때 표집 오차가 가장 작은 표집방법은? 56 사회조사에서 발생하는 측정오차의 원인과 가장 거리가 먼 것은? 57 4년제 대학교 대학생 집단을 학년과 성, 단과대학(인문사회, 자연, 예체능, 기타)으로 구분하여 할당표집 할 경우 할당표는 총 몇 개의 범주로 구분되는가? 58 잠재변수와 관찰변수에 관한 설명으로 틀린 것은? 59 연구자들의 가설에 포함된 변수들에 관한 옳은 설명을 <보기>에서 모두 고른 것은? 60 전수조사와 비교한 표본조사의 장점으로 틀린 것은?
61 실험계획에서 데이터의 산포에 영향을 미치는 것으로 실험환경이나 실험조건을 나타내는 변수는? 62 다음 ( )안에 들어갈 분석방법으로 옳은 것은? 63 단순회귀모형 yi=β0+β1xi+Єi, i=1, ㆍㆍㆍ, n 에서 최소제곱법에 의한 추정회쉬직선 의 적합도를 나타내는 결정 계수 r2에 대한 설명으로 틀린 것은? 64 확률변수 X가 평균이 3이고 분산이 5인 정규분포 N(3, 5)를 따른다고 할 때, 5X+3의 분포는? 65 Corr(X,Y)가 X와 Y의 상관계수일 때, 성립하지 않는 내용을 모두 짝지은 것은? 66 대표본에서 변동계수(coefficient variation) c를 이용하여 모평균 μ에 대한 95% 신뢰구간을 구하고자 한다. 표본형균을 , 표본크기를 n이라 할 때, 신뢰구간으로 옳은 것은? 67 유권자 전체를 대상으로 사형제도 폐지에 대한 여론조사를 한 결과 다음의 결과를 얻었다. 인천지역의 경찰관들 중 100명을 임의로 추출 하여 의견을 조사한 경과가 다음과 같았다. 귀무가설 『H0:사형제도 폐지에 대한 인천지역 경찰관들의 의견은 유권자 전체의 의견과 다르지 않다.』를 검정하고자 한다. 검정 결과로 옳은 것은? (단, X2(2, 0.05)=5.99, X2(2, 0.025)=7.38) 68 다음 분산분석표의 ( )에 들어갈 값으로 옳은 것은? 69 평균이 10이고 분산이 4인 정규분포를 따르는 모집단으로부터 크기가 4인 표본을 추출하였다. 이때 표본평균의 표준편차는? 70 10m당 평균 1개의 흠집이 나타나는 전선이 있다. 이 전선 10m를 구입하였을 때 발견되는 흠집수의 확률분포는? 71 모평균 θ에 대한 95% 신뢰구간이(-0.042, 0.522) 일 때, 귀무가설 H0:θ=0과 대립가설 H1:θ≠0을 유의 수준 0.05에서 검정한 결과에 대한 설명으로 옳은 것은? 72 확률변수 X의 분산이 16, 확률변수 Y의 분산이 25, 두 확률변수의 공분산이 -10일 때, X와 Y의 상관계수는?
73 다음 중 오른 쪽으로 꼬리가 긴 분포를 갖는 것은? 74 이상치(outlier)를 탐지하는 기능을 가지고 있고 최솟값, 제1사분위수, 중앙값, 제3사분위수, 최댓값의 정보를 이용하여 자료를 도표로 나타내는 방법은? 75 두 변수 X, Y의 상관계수에 대한 유의성 검정 (H0:ρXY=0)을 t-검정으로 하고자 한다. 이 때 올바른 검정통계량은? (단, rXY:표본 상관계수) 76 가설검정에서 사용하는 용어에 대한 설명으로 틀린 것은? 77 A회사에서 생산하고 있는 전구의 수명시간은 병균이 μ=800(시간)이고 표준편차가 σ=40(시간)이라고 한다. 무작로 이 회사에서 생산한 전구 64개를 조사하였을 때 표본이 평균수명시간이 790.2 시간 미만일 확률은 약 얼마인가? (단, z0.005=2.58, z0.025=1.96, z0.05=1.645) 78 A대학 학생들의 주당 TV 시청 시간을 알아보고자 임의로 9명을 추출하여 조사한 경과는 다음과 같다. TV 시청 시간은 모평균이 μ인 정규분포를 따른다고 가정하자 μ에 대한 추정량으로 표본 평균를 사용했을 때 추정치는? 79 어떤 화학 반응에서 생성되는 반응량(Y)이 첨가제의 양(X)에 따라 어떻게 변화하는지를 실험하여 다음과 같은 자료를 얻었다. 변화의 관계를 직선으로 가정하고 최고제곱법에 의하여 회귀직선을 추정할 때 추정된 회귀직선의 절편과 기울기는? 80 어느 백화점에서는 물품을 구입한 고객의 25%가 신용카드로 결제한다고 한다. 금일 40명의 고객이 이 매장에서 물건을 구입하였다면, 몇 명의 고객이 신용카드로 결제하였을 것이라 기대되는가? 81 다음은 가전제품 서비스센터에서 어느 특정한 날 하루 동안 신청 받은 애프터 서비스 건수이다. 자료에 대한 설명으로 틀린 것은? 82 다음 분산분석표에서 ( )에 들어갈 F-값은? 83 5명의 흡연자를 무작위로 선정하여 체중을 측정하고, 금연을 시킨 뒤 4주 후에 다시 체중을 측정하였다. 금연 전후의 체중에 변화가 있는가에 대하여 검정 하고자 할 때, 검정통계량의 값은? 84 어떤 산업제약은 제품 중 10%는 유통과정에서 변질되어 약효를 발휘할 수 없다고 한다. 이를 확인하기 위하여 해당 제품 100개를 추출하여 실험하였다. 이때 10개 이상이 불량품일 확률은?
85 독립변수가 2개인 중회귀모형 yi=β0+β1x1i+β2x2i+Єi, i=1, ㆍㆍㆍ, n의 유의성 검정에 대한 설명으로 틀린 것은? 86 다중회귀분석(Multiple Linear Regression)에 대한 설명으로 틀린 것은? 87 어떤 전기제품의 내부에는 부품 3개가 병렬로 연결되어 있다. 적어도 하나가 정상적으로 작동 하면 전기제품은 정상적으로 작동한다. 각 부품이 고장 날 사건은 서로 독립이며, 각 부품이 정상적으로 작동할 확률은 모두 0.85로 알려져 있다. 이 전기제품이 정상적으로 작동할 확률은 얼마인가? 88 두 집단의 분산의 동일성 검정에 사용되는 검정통계량의 분포는? 89 정규분포 N(12, 22)를 따르는 확률변수 X로부터 크기 n개의 표본을 뽑았다. 표본평균이 10과 14사이에 있을 확률이 0.9975라면 몇 개의 표본을 뽑은 것인가? (단, P(|Z|<3=0.9975, P(Z<3)=0.9987) 90 다음 PC에 대한 월간 유지비용(원)을 종속변수로 하고 주간 사용기간(시간)을 독립변수로 하여 회귀분석을 한 결과이다. 월간 유지비용이 사용기간과 관련이 있는지 엽를 검정하기 위한 t통계량의 값은?(오류 신고가 접수된 문제입니다. 반드시 정답과 해설을 확인하시기 바랍니다.) 91 평균체중이 65kg이고 표준편차가 4kg인 A고등학교 1학년 학생들에서 임의로 뽑은 크기 100명 학생들의 평균체중 의 표준편차는? 92 데이터의 산포도를 측정할 수 있는 측도는? 93 귀무가설 H0가 참인데 대립가설 H1이 옳다고 잘못 결론을 내리는 오류는? 94 σ2이 알려져 있는 경우, 모평균 μ를 추정하고자 할 때, 표본의 크기를 계산하기 위해 필요한 정보는? 95 우리나라 대학생들의 1주일동안 독서시간은 평균 20시간, 표준편차가 3시간인 정규분포를 따른다고 알려져 있다. 이를 확인하기 위해 36명의 학생을 조사하였더니 평균 19시간으로 나타났다. 이를 이용하여 우리나라 대학생들의 평균 독서시간이 20시간보다 작다고 말할 수 있는지를 검정 한다고 할 때 다음 설명 중 옳은 것은? (단, P(|Z|<1.645)=0.9 P(|Z|<1.96)=0.95) 96 공정한 동전 10개를 동시에 던질 때, 앞면이 정확히 1개만 나올 확률은?
App Store Google Play
오늘학습 예시 이미지

시험에 합격하려면
복습을 제대로 해야 합니다.

오늘학습은 스스로 기억을 떠올리고 계획적으로 복습할 수 있도록 설계돼 있어요.
그것도, 가장 과학적인 방식으로요!

능동적 회상

능동적 회상
(Active Recall)

배운 내용을 단순 읽으며 반복하는 것이 아니라,
능동적으로 기억하고 있는지를
스스로 테스트하며
공부할 수 있는
학습 환경을 제공해 학습 효과를 높여요

간격 반복 학습

간격 반복 학습
(Spaced Repetition)

에빙하우스 망각곡선을 바탕으로
가장 최적의 시점에 복습을 제공하여
배운 내용이 잊히지 않도록 장기 기억화해요

Data 기반의
뇌과학적 복습 시스템

학습 결과 Data를 분석해, 문제별 최적화된
반복 학습량을
자동으로 분배해요.
학습에 소요되는 시간을 최소화하는
동시에
단기 기억을 장기 기억으로 전환해줘요.

36만 개 이상의
기출문제 무료 제공

공무원 및 약 300여종의 자격증 시험 기출문제
36만개
이상을 무료로 이용할 수 있어요.
여러 앱을 설치할 필요
없이, 오늘학습 하나로
모든 시험을 준비할 수 있어요.

다양한 문제 유형으로 만드는
나만의 단어장&문제집

기출 외에도 외워야 하는 내용은
객관식, 주관식, 카드, 빈칸
등 다양한 형식으로
직접 만들어 보세요. 내 학습 스타일에
맞게
나만의 단어장과 문제집을 만들 수 있어요.

시험별 체계적인
문제 관리

시험에 문제를 추가해 체계적으로
관리할 수 있어요.
주제나 단원별로
분류하고 싶다면,
시험에 챕터를 만들어
문제를 추가할 수도 있어요.

수십만 명이
오늘학습을 사랑합니다

앱 스토어 평점 4.9
구글 플레이 평점 4.8
누적 회원수 100,000+
지금 오늘학습을
시작해보세요
지금 시작하기
문제 선택