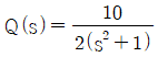
에서 모든 초기 조건을 0으로 하고 라플라스 변환하면 어떻게 되는가? (단, Q(s)는 q(t)의 라플라스 변환이다.)
지금 시작하기 →

・・・ 문제은행 전기공사산업기사(2018년 3회) 65번

전기공사산업기사 2018년 09월 65번

에서 모든 초기 조건을 0으로 하고 라플라스 변환하면 어떻게 되는가? (단, Q(s)는 q(t)의 라플라스 변환이다.)

1
2
3
4
단축키
이전 문제로 이동은 키를 누르고, 다음 문제로 이동은 키를 누르세요
이전 문제 , 다음 문제
문제(100)
25 수력발전소의 저수지 용량 등을 결정하는 데 사용되는 것으로 가장 적합한 것은? 26 중성점 직접접지 방식의 특징 중 틀린 것은? 27 3상 3선식 1회선의 가공 송전선로에서 D를 등가 선간거리, r을 반지름이라고 하면 1선당 작용 정전용량은? 28 가공 전선로의 전선 진동을 방지하기 위한 방법으로 틀린 것은? 29 전력케이블의 고장점 탐색방법 중 휘스톤브리지의 평형상태를 이용하여 고장점을 측정하는 방법은? 30 단상 2선식 배전선의 전선 총량을 100[%]라 할 때 3상 3선식과 단상 3선식의 전선의 총량은 각각 몇 [%]인가? (단, 선간전압, 공급전력, 전력손실 및 배전거리는 같으며, 중성선의 굵기는 외선과 같다고 한다.) 31 옥내 저압배선에서 전선의 굵기를 결정하는 주요 요인이 아닌 것은? 32 송배전 선로에 사용하는 직렬 콘덴서에 대한 설명으로 옳은 것은? 33 그림과 같이 지선을 설치하여 전주에 가해지는 수평장력 600[kg]을 지지하고 있다. 지선으로 4[mm]의 철선을 사용하면 철선은 최소 몇 가닥이 필요한가? (단, 이철선의 허용하중은 440[kg], 안전율은 2.5이다.) 34 전력선과 통신선과의 상호 인덕턴스에 의하여 발생되는 유도장해는? 35 200[V], 10[kVA]인 3상 유도전동기가 있다. 어느 날의 부하 실적은 1일의 사용전력량이 72[kWh], 1일의 최대전력이 9[kW], 최대부하일 때의 전류가 35[A]이었다. 1일의 부하율과 최대 공급전력일 때의 역률은 약 몇 [%]인가? 36 전력용 조상설비 중 무효전력 흡수를 진상과 지상양용으로 할 수 있는 것은?
49 자기용량 10[kVA]의 단권변압기를 그림과 같이 접속하였을 때 부하역률이 80[%]라면 부하에 몇 [kW]의 전력을 공급할 수 있는가? 50 단상 지권 정류자전동기에 전기자 권선의 권수를 계자 권수에 비해 많게 하는 이유가 아닌 것은? 51 실리콘제어정류기의 게이트 전류에 관한 설명으로 옳은 것은? 52 4극 3상 유도전동기를 60[Hz]의 전원에 접속하여 운전하고 있다. 회전자의 주파수가 3[Hz]일 때의 회전자 속도[rpm]는? 53 유도전도기로 직류발전기를 회전시킬 때, 직류발전기의 부하를 증가시키면 유도전동기의 속도는? 54 직류기의 전기자 반작용에 대한 설명이 옳은 것은? 55 변압기 여자전류에 가장 많이 포함되어 있으며, 3상결선에서 계통의 과전압과 통신선로에 간섭을 일으키는 고조파는? 56 3상 동기발전기에 평형 3상정류가 흐를 때 전기자반작용은 이 전류가 기전력에 대하여 ( A ) 때 감자작용이 되고 ( B )때 증자작용이 된다. A, B의 적당한 것은? 57 직류기의 효율이 최대가 되는 경우는? 58 변압기 절연물의 열화 정도를 파악하는 방법이 아닌 것은? 59 △결선 변압기의 1대가 고장으로 제거되어 V결선으로 할 때 공급할 수 있는 전력은 고장 전 전력의 몇 [%]인가? 60 4국 60[Hz]의 정류자 주파수 변환기가 1,440 [rpm]으로 회전할 때의 주파수는 몇 [Hz]인가?
73 어떤 회로에서 [A]의 전류가 흐른다. 이를 복소수로 표시하면? 74 그림과 같은 이상적인 변압기로 구성된 4단자 회로에서 4단자 정수 A와 C는 어떻게 되는가? 75 Va=3[V], Vb=2-j3[V], Vc = 4+j3[V]를 3상 불평형 전압이라고 할 때 영상전압[V]은? 76 어떤 회로의 단자전압이 V = 100sinωt + 40sin2ωt + 30sin(3ωt+60°)(V) 이고 전압강하의 방향으로 흐르는 전류가 I= 10sin(ωt-60°)+2sin(3ωt+105°)[A]일 때 회로에 공급되는 평균전력[W]은? 77 그림과 같이 주파수 f[Hz]인 교류회로에서 전류 I와 IR이 같은 값으로 되는 조건은? (단, R은 저항[Ω], C는 정전용량[F], L은 인덕턴스[H]이다.) 78 2개의 전력계로 평형 3상 부하의 전력을 측정하였더니 한쪽의 지시치가 다른 쪽 전력계의 지시치보다 3배이었다면 부하역률은 약 얼마인가? 79 다음의 회로가 정 저항 회로가 되기 위한 L[H]의 값은? 80 다음과 같은 전기회로의 입력을 ei, 출력을 eo라고 할 때 전달함수는? (단, T = L/R 이다.) 81 기계기구 및 전선을 보호하기 위하여 과전류차단기를 전로 중에 시설할 수 있는 곳은? 82 저고압 가공전선이 철도를 횡단하는 경우 레일면상 높이는 몇 [m]이상이어야 하는가? 83 고압용의 개폐기·차단기·피뢰기 기타 이와 유사한 기구로서 동작 시에 아크가 생기는 것은 가연성 물체로부터 몇 [m]이상 이격하여야 하는가? 84 제1종 접지공사의 접지저항 값은 몇 [Ω] 이하로 유지하여야 하는가?(관련 규정 개정전 문제로 여기서는 기존 정답인 1번을 누르면 정답 처리됩니다. 자세한 내용은 해설을 참고하세요.)
85 고압 옥상 전선로의 전선이 다른 시설물과 접근하거나 교차하는 경우에는 고압 옥상 전선로의 전선과 이들 사이의 이격거리는 몇 [cm] 이상이어야 하는가? 86 전력 보안통신 설비인 무선통신용 안테나 또는 반사판을 지지하는 철주·철근콘크리트주 또는 철탑의 기초의 안전율은 얼마 이상이어야 하는가? 87 22.9[kV]특고압 가공전선과 그 지지물·완금류·지주 또는 지선 사이의 이격거리는 몇 [cm] 이상이어야 하는가? 88 저압 가공인입선에 사용할 수 없는 전선은? 89 최대 사용전압이 154[kV]인 중성점 직접 접지식 전로의 절연내력 시험전압은 약 몇 [kV]인가? 90 저압 옥내간선에서 분기하여 차단기를 설치하는 경우 분기점으로부터 차단기의 설치 거리는 원칙적으로 몇 [m] 이하인가? 91 급경사지에 시설하는 전선로의 시설에 대한 설명으로 틀린 것은? 92 154[kV] 가공전선로를 시가지에 시설하는 경우 특고압 가공전선에 지락 또는 단락이 생기면 몇 초 이내에 자동적으로 이를 전로로부터 차단하는 장치를 시설하는가? 93 유희용 전차의 시설방법으로 틀린 것은? 94 전격살충기는 전격격자가 지표상 또는 마루 위 몇 [m] 이상 되도록 설치하여야 하는가? 95 발전소에서 계측장치를 시설하지 않아도 되는 것은? 96 중앙급전 전원과 구분되는 것으로서 전력소비지역 부근에 분산하여 배치 가능한 전원을 무엇이라 하는가?
App Store Google Play
오늘학습 예시 이미지

시험에 합격하려면
복습을 제대로 해야 합니다.

오늘학습은 스스로 기억을 떠올리고 계획적으로 복습할 수 있도록 설계돼 있어요.
그것도, 가장 과학적인 방식으로요!

능동적 회상

능동적 회상
(Active Recall)

배운 내용을 단순 읽으며 반복하는 것이 아니라,
능동적으로 기억하고 있는지를
스스로 테스트하며
공부할 수 있는
학습 환경을 제공해 학습 효과를 높여요

간격 반복 학습

간격 반복 학습
(Spaced Repetition)

에빙하우스 망각곡선을 바탕으로
가장 최적의 시점에 복습을 제공하여
배운 내용이 잊히지 않도록 장기 기억화해요

Data 기반의
뇌과학적 복습 시스템

학습 결과 Data를 분석해, 문제별 최적화된
반복 학습량을
자동으로 분배해요.
학습에 소요되는 시간을 최소화하는
동시에
단기 기억을 장기 기억으로 전환해줘요.

36만 개 이상의
기출문제 무료 제공

공무원 및 약 300여종의 자격증 시험 기출문제
36만개
이상을 무료로 이용할 수 있어요.
여러 앱을 설치할 필요
없이, 오늘학습 하나로
모든 시험을 준비할 수 있어요.

다양한 문제 유형으로 만드는
나만의 단어장&문제집

기출 외에도 외워야 하는 내용은
객관식, 주관식, 카드, 빈칸
등 다양한 형식으로
직접 만들어 보세요. 내 학습 스타일에
맞게
나만의 단어장과 문제집을 만들 수 있어요.

시험별 체계적인
문제 관리

시험에 문제를 추가해 체계적으로
관리할 수 있어요.
주제나 단원별로
분류하고 싶다면,
시험에 챕터를 만들어
문제를 추가할 수도 있어요.

수십만 명이
오늘학습을 사랑합니다

앱 스토어 평점 4.9
구글 플레이 평점 4.8
누적 회원수 100,000+
지금 오늘학습을
시작해보세요
지금 시작하기
문제 선택