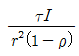
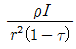
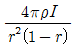
반사율 p, 투과율 τ, 반지름 r인 완전확산성 구형 글로브의 중심에 광도 I의 점광원을 켰을 때, 광속 발산도는?
지금 시작하기 →

・・・ 문제은행 전기공사산업기사(2017년 2회) 10번

전기공사산업기사 2017년 05월 10번

반사율 p, 투과율 τ, 반지름 r인 완전확산성 구형 글로브의 중심에 광도 I의 점광원을 켰을 때, 광속 발산도는?

1
2
3
4
단축키
이전 문제로 이동은 키를 누르고, 다음 문제로 이동은 키를 누르세요
이전 문제 , 다음 문제
문제(100)
13 다이오드를 사용한 단상 전파정류회로에서 전원 220[V], 주파수 60[Hz] 일 때 출력전압의 평균값은 약 몇 [V]인가? 14 전기철도에서 통신유도장해의 경감 대책으로 통신선의 케이블화, 전차선과 통신선의 이격거리 증대 등의 방법은 어느 측에 하는 대책인가? 15 바깥쪽 레일은 원심력의 작용으로 지나친 하중이 걸려 탈선하기 쉬우므로 안쪽 레일보다 얼마간 높게 한다. 이 바깥쪽 레일과 안쪽 레일의 높이차를 무엇이라 하는가? 16 2[g]의 알루미늄을 60[℃] 높이는데 필요한 열량은 약 몇 [cal] 인가? (단, 알루미늄 비열은 0.2[cal/g ℃]이다.) 17 피드백제어(feedback control)에 꼭 있어야할 장치는? 18 청색 형광 방전등의 램프에 사용되는 형광체는? 19 반도체에 광이 조사되면 전기저항이 감소되는 현상은? 20 폭 10[m], 길이 20[m]의 교실에 총광속 3000[lm]인 32[W] 형광등 24개를 점등하였다. 조명률 50[%], 감광보상률 1.5라 할 때 이 교실의 공사 후 초기 조도[lx]는?(오류 신고가 접수된 문제입니다. 반드시 정답과 해설을 확인하시기 바랍니다.) 21 개폐서지를 흡수할 목적으로 설치하는 것의 약어는? 22 다음 중 표준형 철탑이 아닌 것은? 23 전력계통의 전압안정도를 나타내는 P-V 곡선에 대한 설명 중 적합하지 않은 것은? 24 3상으로 표준전압 3[kV], 800[kW]를 역률 0.9로 수전하는 공장의 수전회로에 시설할 계기용 변류기의 변류비로 적당한 것은? (단, 변류기의 2차전류는 5[A]이며, 여유율은 1.2로 한다.)
25 발전기나 변압기의 내부고장 검출에 주로 사용되는 계전기는? 26 3000[kW], 역률 80[%](뒤짐)의 부하에 전력을 공급하고 있는 변전소에 전력용콘덴서를 설치하여 변전소에서의 역률을 90[%]로 향상시키는데 필요한 전력용콘덴서의 용량은 약 몇 [kVA]인가? 27 역률 0.8인 부하 480[kW]를 공급하는 변전소에 전력용 콘덴서 220[kVA]를 설치하면 역률은 몇 [%]로 개선할 수 있는가? 28 수전단을 단락한 경우 송전단에서 본 임피던스는 300[Ω]이고, 수전단을 개방한 경우에는 1200[Ω]일 때 이 선로의 특성 임피던스는 몇 [Ω] 인가? 29 배전전압, 배전거리 및 전력손실이 같다는 조건에서 단상 2선식 전기방식의 전선 총중량을 100[%]라 할 때 3상 3선식 전기방식은 몇 [%]인가? 30 외뢰(外雷)에 대한 주 보호장치로서 송전계통의 절연협조의 기본이 되는 것은? 31 배전선로의 전기적 특성 중 그 값이 1 이상인 것은? 32 1000[kVA]의 단상변압기 3대를 △-△결선의 1뱅크로 하여 사용하는 변전소가 부하 증가로 다시 1대의 단상변압기를 증설하여 2뱅크로 사용하면 최대 약 몇 [kVA]의 3상 부하에 적용 할 수 있는가? 33 3300[V] 배전선로의 전압을 6600[V]로 승압하고 같은 손실률로 송전하는 경우 송전전력은 승압전의 몇 배인가? 34 송전선로에 근접한 통신선에 유도장해가 발생하였다. 전자유도의 주된 원인은? 35 기력발전소의 열사이클 과정 중 단열팽창 과정에서 물 또는 증기의 상태변화로 옳은 것은? 36 3상 배전선로의 전압강하율[%]을 나타내는 식이 아닌 것은? (단, Vs : 송전단 전압, V
37 송전선로의 보호방식으로 지락에 대한 보호는 영상전류를 이용하여 어떤 계전기를 동작 시키는가? 38 경수감속 냉각형 원자로에 속하는 것은? 39 장거리 송전선로의 특성을 표현한 회로로 옳은 것은? 40 배전선로에 3상3선식 비접지방식을 채용할 경우 장점이 아닌 것은? 41 직류기에서 전기자 반작용의 영향을 설명한 것으로 틀린 것은? 42 6300/210[V], 20[kVA] 단상변압기 1차 저항과 리액턴스가 각각 15.2[Ω]과 21.6[Ω], 2차 저항과 리액턴스가 각각 0.019[Ω]과 0.028[Ω]이다. 백분율 임피던스는 약 몇 [%] 인가? 43 권선형 유도전동기의 속도제어 방법 중 저항제어법의 특징으로 옳은 것은? 44 직류 분권전동기의 공급전압이 극성을 반대로 하면 회전방향은 어떻게 되는가? 45 단상 50[Hz], 전파정류 회로에서 변압기의 2차 상전압 100[V], 수은 정류기의 전압강하 20[V]에서 회로 중의 인덕턴스는 무시한다. 외부부하로서 기전력 50[V], 내부저항 0.3[Ω]의 축전지를 연결할 때 평균 출력은 약 몇 [W]인가? 46 3상 동기발전기의 여자전류 5[A]에 대한 1상의 유기기전력이 600[V]이고 그 3상 단락전류는 30[A]이다. 이 발전기의 동기임피던스[Ω]는? 47 동기발전기의 전기자 권선을 단절권으로 하는 가장 큰 이유는? 48 권선형 유도전동기가 기동하면서 동기속도 이하까지 회전속도가 증가하면 회전자의 전압은?
85 폭연성 분진 또는 화약류의 분말이 전기설비가 발화원이 되어 폭발할 우려가 있는 곳에 시설하는 저압 옥내 전기설비를 케이블 공사로 할 경우 관이나 방호장치에 넣지 않고 노출로 설치할 수 있는 케이블은? 86 지선을 사용하여 그 강도를 분담시켜서는 아니되는 가공전선로 지지물은? 87 특고압 가공전선로의 지지물 중 전선로의 지지물 양쪽의 경간의 차가 큰 곳에 사용하는 철탑은? 88 정격전류가 15[A] 이하인 과전류차단기로 보호되는 저압 옥내전로에 접속하는 콘센트는 정격전류가 몇 [A] 이하인 것이어야 하는가? 89 풀용 수중조명등의 시설공사에서 절연변압기는 그 2차측 전로의 사용전압이 몇 [V] 이하인 경우에는 1차권선과 2차권선 사이에 금속제의 혼촉방지판을 설치하여야 하며, 제 몇 종 접지공사를 하여야 하는가?(관련 규정 개정전 문제로 여기서는 기존 정답인 1번을 누르면 정답 처리됩니다. 자세한 내용은 해설을 참고하세요.) 90 수소냉각식 발전기 및 이에 부속하는 수소냉각장치 시설에 대한 설명으로 틀린 것은? 91 옥내에 시설하는 전동기에 과부하 보호장치의 시설을 생략할 수 없는 경우는? 92 가공전선로의 지지물에 시설하는 통신선 또는 이에 직접 접속하는 가공 통신선의 높이에 대한 설명 중 틀린 것은? 93 물기가 있는 장소의 저압전로에서 그 전로에 지락이 생긴 경우, 0.5초 이내에 자동적으로 전로를 차단하는 장치를 시설하는 경우에는 자동차단기의 정격감도 전류가 50[mA]라면 제3종 접지공사의 접지저항 값은 몇 [Ω] 이하로 하여야 하는가?(관련 규정 개정전 문제로 여기서는 기존 정답인 3번을 누르면 정답 처리됩니다. 자세한 내용은 해설을 참고하세요.) 94 접지공사의 특례와 관련하여 특별 제3종 접지공사를 하여야 하는 금속체와 대지 간의 전기저항 값이 몇 [Ω] 이하인 경우에는 특별 제3종 접지공사를 한 것으로 보는가? 95 아크가 발생하는 고압용 차단기는 목재의 벽 또는 천장, 기타의 가연성 물체로부터 몇 [m] 이상 이격하여야 하는가? 96 지중 전선로를 관로식에 의하여 시설하는 경우에는 매설 깊이를 몇 [m] 이상으로 하여야 하는가?
App Store Google Play
오늘학습 예시 이미지

시험에 합격하려면
복습을 제대로 해야 합니다.

오늘학습은 스스로 기억을 떠올리고 계획적으로 복습할 수 있도록 설계돼 있어요.
그것도, 가장 과학적인 방식으로요!

능동적 회상

능동적 회상
(Active Recall)

배운 내용을 단순 읽으며 반복하는 것이 아니라,
능동적으로 기억하고 있는지를
스스로 테스트하며
공부할 수 있는
학습 환경을 제공해 학습 효과를 높여요

간격 반복 학습

간격 반복 학습
(Spaced Repetition)

에빙하우스 망각곡선을 바탕으로
가장 최적의 시점에 복습을 제공하여
배운 내용이 잊히지 않도록 장기 기억화해요

Data 기반의
뇌과학적 복습 시스템

학습 결과 Data를 분석해, 문제별 최적화된
반복 학습량을
자동으로 분배해요.
학습에 소요되는 시간을 최소화하는
동시에
단기 기억을 장기 기억으로 전환해줘요.

36만 개 이상의
기출문제 무료 제공

공무원 및 약 300여종의 자격증 시험 기출문제
36만개
이상을 무료로 이용할 수 있어요.
여러 앱을 설치할 필요
없이, 오늘학습 하나로
모든 시험을 준비할 수 있어요.

다양한 문제 유형으로 만드는
나만의 단어장&문제집

기출 외에도 외워야 하는 내용은
객관식, 주관식, 카드, 빈칸
등 다양한 형식으로
직접 만들어 보세요. 내 학습 스타일에
맞게
나만의 단어장과 문제집을 만들 수 있어요.

시험별 체계적인
문제 관리

시험에 문제를 추가해 체계적으로
관리할 수 있어요.
주제나 단원별로
분류하고 싶다면,
시험에 챕터를 만들어
문제를 추가할 수도 있어요.

수십만 명이
오늘학습을 사랑합니다

앱 스토어 평점 4.9
구글 플레이 평점 4.8
누적 회원수 100,000+
지금 오늘학습을
시작해보세요
지금 시작하기
문제 선택