오늘학습 - 전기공사산업기사
지금 시작하기 →

・・・ 문제은행 전기공사산업기사(2020년 2회) 71번

전기공사산업기사 2020년 08월 71번

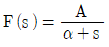
의 라플라스 역변환은?

1
αeAt
2
Aeαt
3
αe-At
4
Ae-αt
단축키
이전 문제로 이동은 키를 누르고, 다음 문제로 이동은 키를 누르세요
이전 문제 , 다음 문제
문제(100)
25 송전선로의 중성점을 접지하는 목적으로 가장 알맞은 것은? 26 수전용 변전설비의 1차측에 설치하는 차단기의 용량은 어느 것에 의하여 정하는가? 27 피뢰기의 제한전압이란? 28 철탑의 접지저항이 커지면 가장 크게 우려되는 문제점은? 29 화력발전소에서 탈기기를 사용하는 주 목적은? 30 3상 1회 1선의 송전선로에 3상 전압을 가해 충전할 때 선에 흐르는 충전전류는 30A, 또 3선을 일괄하여 이것과 대지 사이에 상전압을 가하여 충전시켰을 때 전 충전전류는 60A가 되었다. 이 선로의 대지정전용량과 선간정전용량의 비는? (단, 대지정전용량= Cs, 선간정전용량= Cm이다.) 31 30000kW의 전력을 50km 떨어진 지점에 송전하려고 할 때 송전전압(kV)은 약 얼마인가? (단, still식에 의하여 산정한다.) 32 단상 교류회로에 3150/210V의 승압기를 80kW, 역률 0.8인 부하에 접속하여 전압을 상승시키는 경우 약 몇 kVA의 승압기를 사용하여야 적당한가? (단, 전원전압은 2900V이다.) 33 어떤 발전소의 유효 낙차가 100m이고, 사용 수량이 10m3/s일 경우 이 발전소의 이론적인 출력(kW)은? 34 송전선로에서 4단자정수 A, B, C, D 사이의 관계는? 35 다음 중 전압강하의 정도를 나타내는 식이 아닌 것은? (단, ES는 송전단전압, ER은 수전단전압이다.) 36 ( ) 안에 들어갈 내용으로 옳은 것은?
61 회로에서 10Ω의 저항에 흐르는 전류(A)는? 62 4단자 회로망에서의 영상 임피던스(Ω)는? 63 동일한 용량 2대의 단상 변압기를 V결선하여 3상으로 운전하고 있다. 단상 변압기 2대의 용량에 대한 3상 V결선시 변압기 용량의 비인 변압기 이용률 약 몇 %인가? 64 22kVA의 부하가 0.8의 역률로 운전될 때 이 부하의 무효전력(kvar)은? 65 어드미턴스 Y(℧)로 표현된 4단자 회로망에서 4단자 정수 행렬 T는? (단, ) 66 기본파의 30%인 제3고조파와 기본파의 20%인 제5고조파를 포함하는 전압의 왜형률은 약 얼마인가? 67 20Ω과 30Ω의 병렬회로에서 20Ω에 흐르는 전류가 6A이라면 전체 전류 I(A)는? 68 에서 모든 초기 값을 0으로 하고 라플라스 변환했을 때 I(s)는? (단, I(s), Ei(s)는 각각 i(t), ei(t)를 라플라스 변환한 것이다.) 69 저항만으로 구성된 그림의 회로에 평형 3상 전압을 가했을 때 각 선에 흐르는 선전류가 모두 같게 되기 위한 R(Ω)의 값은? 70 1상의 임피던스가 14+j48(Ω)인 평형 △부하에 선간전압이 200V인 평형 3상 전압이 인가될 때 이 부하의 피상전력(VA)는? 71 의 라플라스 역변환은? 72 2단자 회로망에 단상 100V의 전압을 가하면 30A의 전류가 흐르고 1.8kW의 전력이 소비된다. 이 회로망과 병렬로 커패시터를 접속하여 합성 역률을 100%로하기 위한 용량성 리액턴스는 약 몇 Ω인가?
73 i(t)=3√2sin(377t-30°) (A)의 평균값 약 몇 A인가? 74 로 표현되는 비정현파 전류의 실효값은 약 몇 A인가? 75 RL 병렬회로에서 t=0일 때 스위치 S를 닫는 경우 R(Ω)에 흐르는 전류 iR(t)(A)는? 76 3상 회로의 대칭분 전압이 V0=-8+j3(V), V16-j8(V), V2=8+j12(V)일 때 a상의 전압(V)은? (단, V0는 영상분, V1은 정상분, V2는 역상분 전압이다.) 77 불평형 Y 결선의 부하 회로에 평형 3상 전압을 가할 경우 중성점의 전위 Vn′n(V)는? (단, Z1, Z2, Z3는 각 상의 임피던스(Ω)이고, Y1, Y2, Y3는 각 상의 임피던스에 대한 어드미턴스(℧)이다. 78 RC 직렬회로의 과도현상에 대한 설명으로 옳은 것은? 79 10Ω의 저항 5개를 접속하여 얻을 수 있는 합성저항 중 가장 적은 값은 몇 Ω인가? 80 어느 회로에 V=120+j90(V)의 전압을 인가하면 I=3+j4(A)의 전류가 흐른다. 이 회로의 역률은? 81 폭연성 분진이 많은 장소의 저압 옥내배선에 적합한 배선공사 방법은? 82 가공전선로의 지지물에 사용하는 지선의 시설기준에 관한 내용으로 틀린 것은? 83 시가지 또는 그 밖에 인가가 밀집한 지역에 154kV 가공전선로의 전선을 케이블로 시설하고자 한다. 이 때 가공전선을 지지하는 애자장치의 50% 충격섬락전압 값이 그 전선의 근접한 다른부분을 지지하는 애자장치 값의 몇 % 이상이어야 하는가? 84 발전기를 구동하는 풍차의 압유장치의 유압, 압축공기장치의 공기압 또는 전동식 브레이드 제어장치의 전원전압이 현저히 저하한 경우 발전기를 자동적으로 전로로부터 차단하는 장치를 시설하여야 하는 발전기 용량은 몇 kVA 이상인가?
85 뱅크용량 15000kVA 이상인 분로리액터에서 자동적으로 전로로부터 차단하는 장치가 동작하는 경우가 아닌 것은? 86 풀장용 수중조명등에 전기를 공급하기 위해 사용되는 절연변압기에 대한 설명으로 옳지 않은 것은? 87 다음( )의 ㉠, ㉡에 들어갈 내용으로 옳은 것은? 88 저압 가공전선(다중접지된 중성선은 제외)과 고압 가공전선을 동일 지지물에 시설하는 경우 저압 가공전선과 고압 가공전선 사이의 이격거리는 몇 cm 이상이어야 하는가? (단, 각도주(角度柱), 분기주(分破柱) 등에서 혼촉(混觸)의 우려가 없도록 시설하는 경우가 아니다.) 89 변압기에 의하여 154kV에 결합되는 3300V 전로에 는 몇 배 이하의 사용전압이 가하여진 경우에 방전하는 장치를 그 변압기의 단자에 가까운 1극에 시설하여야 하는가? 90 특고압 가공전선로의 지지물에 시설하는 통신선 또는 이에 직접 접속하는 통신선이 도로·횡단보도교·철도의 레일 등 또는 교류 전차선 등과 교차하는 경우의 시설기준으로 옳은 것은? 91 고압 가공전선으로 ACSR(강섬알루미늄연선)을 사용할 때의 안전율은 얼마 이상이 되는 이도(弛度)로 시설하여야 하는가? 92 저압 가공인입선 시설 시 도로를 횡단하여 시설하는 경우 노면상 높이는 몇 m 이상으로 하여야 하는가? 93 기구 등의 전로의 절연내력 시험에서 최대 사용전압이 60kV 를 초과하는 기구 등의 전로로서 중성점 비접지식전로에 접속하는 것은 최대 사용전압의 몇 배의 전압에 10분간 견디어야 하는가? 94 발열선을 도로, 주차장 또는 조영물의 조영재에 고정시켜 시설하는 경우, 발열선에 전기를 공급하는 전로의 대지전압은 몇 V 이하이어야 하는가? 95 절연내력시험은 전로와 대지 사이에 연속하여 10분간 가하여 절연내력을 시험하였을 때에 이에 견디어야 한다. 최대 사용전압이 22.9kV인 중성선 다중접지식 가공전선로의 전로와 대지 사이의 절연내력 시험전압은 몇 V인가? 96 154kV 가공전선과 식물과의 최소 이격거리는 몇 m인가?
App Store Google Play
오늘학습 예시 이미지

시험에 합격하려면
복습을 제대로 해야 합니다.

오늘학습은 스스로 기억을 떠올리고 계획적으로 복습할 수 있도록 설계돼 있어요.
그것도, 가장 과학적인 방식으로요!

능동적 회상

능동적 회상
(Active Recall)

배운 내용을 단순 읽으며 반복하는 것이 아니라,
능동적으로 기억하고 있는지를
스스로 테스트하며
공부할 수 있는
학습 환경을 제공해 학습 효과를 높여요

간격 반복 학습

간격 반복 학습
(Spaced Repetition)

에빙하우스 망각곡선을 바탕으로
가장 최적의 시점에 복습을 제공하여
배운 내용이 잊히지 않도록 장기 기억화해요

Data 기반의
뇌과학적 복습 시스템

학습 결과 Data를 분석해, 문제별 최적화된
반복 학습량을
자동으로 분배해요.
학습에 소요되는 시간을 최소화하는
동시에
단기 기억을 장기 기억으로 전환해줘요.

36만 개 이상의
기출문제 무료 제공

공무원 및 약 300여종의 자격증 시험 기출문제
36만개
이상을 무료로 이용할 수 있어요.
여러 앱을 설치할 필요
없이, 오늘학습 하나로
모든 시험을 준비할 수 있어요.

다양한 문제 유형으로 만드는
나만의 단어장&문제집

기출 외에도 외워야 하는 내용은
객관식, 주관식, 카드, 빈칸
등 다양한 형식으로
직접 만들어 보세요. 내 학습 스타일에
맞게
나만의 단어장과 문제집을 만들 수 있어요.

시험별 체계적인
문제 관리

시험에 문제를 추가해 체계적으로
관리할 수 있어요.
주제나 단원별로
분류하고 싶다면,
시험에 챕터를 만들어
문제를 추가할 수도 있어요.

수십만 명이
오늘학습을 사랑합니다

앱 스토어 평점 4.9
구글 플레이 평점 4.8
누적 회원수 100,000+
지금 오늘학습을
시작해보세요
지금 시작하기
문제 선택