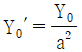
변압기에서 1차 측의 여자 어드미턴스를 Y0라고 한다. 2차 측으로 환산한 여자 어드미턴스 Y0′을 옳게 표현한 식은? (단, 권수비를 a라고 한다.)
지금 시작하기 →

・・・ 문제은행 전기공사산업기사(2020년 1회) 53번

전기공사산업기사 2020년 06월 53번

변압기에서 1차 측의 여자 어드미턴스를 Y0라고 한다. 2차 측으로 환산한 여자 어드미턴스 Y0′을 옳게 표현한 식은? (단, 권수비를 a라고 한다.)

1
2
3
4
단축키
이전 문제로 이동은 키를 누르고, 다음 문제로 이동은 키를 누르세요
이전 문제 , 다음 문제
문제(100)
25 100MVA의 3상 변압기 2뱅크를 가지고 있는 배전용 2차 측의 배전선에 시설할 차단기 용량(MVA)은? (단, 변압기는 병렬로 운전되며, 각각의 %Z는 20%이고, 전원의 임피던스는 무시한다.) 26 발전기나 변압기의 내부고장 검출로 주로 사용되는 계전기는? 27 단락전류를 제한하기 위하여 사용되는 것은? 28 연가의 효과로 볼 수 없는 것은? 29 교류 송전방식과 직류 송전방식을 비교할 때 교류 송전방식의 장점에 해당되는 것은? 30 어느 변전설비의 역률을 60%에서 80%로 개선하는데 2800 kVA의 전력용 커패시터가 필요하였다. 이 변전설비의 용량은 몇 kW 인가? 31 전력계통의 경부하시나 또는 다른 발전소의 발전전력에 여유가 있을 때, 이 잉여전력을 이용하여 전동기로 펌프를 돌려서 물을 상부의 저수지에 저장하였다가 필요에 따라 이 물을 이용해서 발전하는 발전소는? 32 반한시성 과전류계전기의 전류-시간 특성에 대한 설명으로 옳은 것은? 33 교류 단상 3선식 배전방식을 교류 단상 2선식에 비교하면? 34 지상부하를 가진 3상 3선식 배전선로 또는 단거리 송전선로에서 선간 전압강하를 나타낸 식은? (단, I, R, X, θ는 각각 수전단 전류, 선로저항, 리액턴스 및 수전단 전류의 위상각이다.) 35 배전선로의 전압을 √3배로 증가시키고 동일한 전력 손실률로 송전할 경우 송전전력을 몇 배로 증가되는가? 36 반동수차의 일종으로 주요부분은 러너, 안내날개, 스피드링 및 흡출관 등으로 되어 있으며 50~500m 정도의 중낙차 발전소에 사용되는 수차는?
37 단성 2선식 교류 배전선로가 있다. 전선의 1가닥 저항이 0.15Ω이고, 리액턴스는 0.25Ω이다. 부하는 순저항부하이고, 100V, 3kW이다. 급전점의 전압(V)은 약 얼마인가? 38 열의 일당량에 해당하는 단위는? 39 페란티현상이 발생하는 원인은? 40 다음 중 송·배전선로의 진동 방지대책에 사용되지 않는 기구는? 41 동기기의 과도 안정도를 증가시키는 방법이 아닌 것은? 42 8극, 유도기전력 100V, 전기자전류 200A인 직류발전기의 전기자권선을 증권에서 파권으로 변경했을 경우의 유도기전력과 전기자전류는? 43 3상 동기기의 제동권선을 사용하는 주 목적은? 44 동기발전기의 단자 부근에서 단락이 발생되었을 때 단락전류에 대한 설명으로 옳은 것은? 45 전기자저항과 계자저항이 각각 0.8Ω인 직류 직권전동기가 회전수 200rpm, 전기자전류 30A 일 때 역기전력은 300V 이다. 이 전동기의 단자전압을 500V로 사용한다면 전기자전류가 위와 같은 30A로 될 때의 속도(rpm)는? (단, 전기자 반작용, 마찰손, 풍손 및 철손은 무시한다.) 46 수은 정류기에 있어서 정류기의 밸브작용이 상실되는 현상을 무엇이라고 하는가? 47 직류 분권전동기의 정격전압 220V, 정격전류 105A, 전기자저항 및 계자회로의 저항이 각각 0.1Ω 및 40Ω이다. 기동전류를 정격전류의 150%로 할 때의 기동저항은 약 몇 Ω 인가? 48 변압기의 임피던스와트와 임피던스전압을 구하는 시험은?
49 기동 시 정류자의 불꽃으로 라디오의 장해를 주며 단락장치의 고장이 일어나기 쉬운 전동기는? 50 SCR에 대한 설명으로 옳은 것은? 51 어떤 공장에 뒤진 역률 0.8인 부하가 있다. 이 선로에 동기조상기를 병렬로 결선해서 선로의 역률을 0.95로 개선하였다. 개선 후 전력의 변화에 대한 설명으로 틀린 것은? 52 임피던스 강하가 5%인 변압기가 운전 중 단락되었을 때 그 단락전류는 정격전류의 몇 배인가? 53 변압기에서 1차 측의 여자 어드미턴스를 Y0라고 한다. 2차 측으로 환산한 여자 어드미턴스 Y0′을 옳게 표현한 식은? (단, 권수비를 a라고 한다.) 54 3상 유도전동기의 전원주파수가 전압의 비가 일정하고 정격속도 이하로 속도를 제어하는 경우 전동기의 출력 P와 주파수 f와의 관계는? 55 8극, 50kW, 3300V, 60Hz인 3상 권선형 유도전동기의 전부하 슬립이 4%라고 한다. 이 전동기의 슬립링 사이에 0.16Ω의 저항 3개를 Y로 삽입하면 전부하 토크를 발생할 때의 회전수(rpm)는? (단, 2차 각상의 저항은 0.04Ω이고, Y 접속이다.) 56 직류발전기의 병렬운전에서 균압모선을 필요로 하지 않는 것은? 57 3상 유도전동기의 전원측에서 임의의 2선을 바꾸어 접속하여 운전하면? 58 유도전동기의 주파수가 60Hz이고 전부하에서 회전수가 매분 1164회이면 극수는? (단, 슬립은 3% 이다.) 59 전압비 3300/110V, 1차 누설 임피던스 Z1 = 12 + j13Ω, 2차 누설 임피던스 Z2 = 0.015 + j0.013Ω인 변압기가 있다. 1차로 환산된 등가임피던스(Ω)는? 60 단상 다이오드 반파정류회로인 경우 정류효율은 약 몇 % 인가? (단, 저항부하인 경우이다.)
73 푸리에 급수로 표현된 왜평과 f(t)가 반파대칭 및 정현대칭일 때 f(t)에 대한 특징으로 옳은 것은? 74 그림과 같은 4단자 회로망에서 출력 측을 개방하니 V1=12V, I1=2A, V2=4V이고, 출력 측을 단락하니 V1=16V, I1=4A, I2=2A 이었다. 4단자 정수 A, B, C, D는 얼마인가? 75 그림과 같은 회로에서 L2에 흐르는 전류 I2(A)가 단자전압 V(V)보다 위상이 90° 뒤지기 위한 조건은? (단, ω는 회로의 각주파수(rad/s) 이다.) 76 각 상의 전류가 ia = 30sinωt(A), ib = 30sin(ωt-90°)(A), ic = 30sin(ωt+90°)(A)일 때 영상분 전류(A)의 순시치는? 77 어떤 전지에 연결된 외부 회로의 저항은 5Ω이고 전류는 8A가 흐른다. 외부 회로에 5Ω대신 15Ω의 저항을 접속하면 전류는 4A로 떨어진다. 이 전지의 내부 기전력은 몇 V인가? 78 r1(Ω)인 저항에 r(Ω)인 가변저항이 연결된 그림과 같은 회로에서 전류 I를 최소로 하기 위한 저항 r2(Ω)는? (단, r(Ω)은 가변저항의 최대 크기이다.) 79 f(t) = sint + 2cost를 라플라스 변환하면? 80 파형율과 파고율이 모두 1인 파형은? 81 전력 보안통신 설비인 무선통신용 안테나를 지지하는 목주의 풍압하중에 대한 안전율은 얼마 이상으로 해야 하는가? 82 고압전로 또는 특고압전로와 저압전로를 결합하는 변압기의 저압측의 중성점에는 제 몇 종 접지공사를 하여야 하는가?(관련 규정 개정전 문제로 여기서는 기존 정답인 2번을 누르면 정답 처리됩니다. 자세한 내용은 해설을 참고하세요.) 83 가공전선로의 지지물에 지선을 시설하려는 경우 이 지선의 최저 기준으로 옳은 것은? 84 저압 가공전선과 고압 가공전선을 동일 지지물에 시설하는 경우 이격거리는 몇 cm 이상이어야 하는가? (단, 각도주(角度住)·분기주(分岐住) 등에서 혼촉(混觸)의 우려가 없도록 시설하는 경우는 제외한다.)
85 교통신호등의 시설기준에 관한 내용으로 틀린 것은? 86 변압기에 의하여 특고압전로에 결합되는 고압전로에는 사용전압의 몇 배 이하인 전압이 가하여진 경우에 방전하는 장치를 그 변압기의 단자에 가까운 1극에 설치하여야 하는가? 87 터널 안의 윗면, 교량의 아랫면 기타 이와 유사한 곳 또는 이에 인접하는 곳에 시설하는 경우 가공 직류 전차선의 레일면상의 높이는 몇 m 이상인가? 88 의료장소 중 그룹 1 및 그룹 2의 의료 IT 계통에 시설되는 전기설비의 시설기준으로 틀린 것은? 89 사람이 상시 통행하는 터널 안 배선의 시설기준으로 틀린 것은? 90 가공전선로의 지지물에는 취급자가 오르고 내리는데 사용하는 발판 볼트 등은 특별한 경우를 제외하고 지표상 몇 m 미만에는 시설하지 않아야 하는가? 91 고압 가공전선이 교류 전차선과 교차하는 경우, 고압 가공전선으로 케이블을 사용하는 경우 이외에는 단면적 몇 mm2 이상의 경동연선(교류 전차선 등과 교차하는 부분을 포함하는 경간에 접속점이 없는 것에 한한다.)을 사용하여야 하는가? 92 특고압 가공전선과 가공약전류 전선 사이에 보호망을 시설하는 경우 보호망을 구성하는 금속선 상호 간의 간격은 가로 및 세로를 각각 몇 m 이하로 시설하여야 하는가? 93 1차측 3300V, 2차측 220V 인 변압기 전로의 절연내력 시험전압은 각각 몇 V에서 10분간 견디어야 하는가? 94 직류식 전기철도에서 배류선의 상승 부분 중 지표상 몇 m 미만의 부분은 절연전선(옥외용 비닐 절연전선을 제외한다.) 캡타이어 케이블 또는 케이블을 사용하고 사람이 접촉할 우려가 없고 또한 손상을 받을 우려가 없도록 시설하여야 하는가? 95 버스덕트 공사에 의한 저압의 옥측배선 또는 옥외배선의 사용전압이 400V 이상인 경우의 시설기준에 대한 설명으로 틀린 것은? 96 특고압 가공전선이 가공약전류 전선 등 저압 또는 고압의 가공전선이나 저압 또는 고압의 전차선과 제1차 접근상태로 시설되는 경우 60kV 이하 가공전선과 저고압 가공전선 등 또는 이들의 지지물이나 지주 사이의 이격거리는 몇 m 이상인가?
App Store Google Play
오늘학습 예시 이미지

시험에 합격하려면
복습을 제대로 해야 합니다.

오늘학습은 스스로 기억을 떠올리고 계획적으로 복습할 수 있도록 설계돼 있어요.
그것도, 가장 과학적인 방식으로요!

능동적 회상

능동적 회상
(Active Recall)

배운 내용을 단순 읽으며 반복하는 것이 아니라,
능동적으로 기억하고 있는지를
스스로 테스트하며
공부할 수 있는
학습 환경을 제공해 학습 효과를 높여요

간격 반복 학습

간격 반복 학습
(Spaced Repetition)

에빙하우스 망각곡선을 바탕으로
가장 최적의 시점에 복습을 제공하여
배운 내용이 잊히지 않도록 장기 기억화해요

Data 기반의
뇌과학적 복습 시스템

학습 결과 Data를 분석해, 문제별 최적화된
반복 학습량을
자동으로 분배해요.
학습에 소요되는 시간을 최소화하는
동시에
단기 기억을 장기 기억으로 전환해줘요.

36만 개 이상의
기출문제 무료 제공

공무원 및 약 300여종의 자격증 시험 기출문제
36만개
이상을 무료로 이용할 수 있어요.
여러 앱을 설치할 필요
없이, 오늘학습 하나로
모든 시험을 준비할 수 있어요.

다양한 문제 유형으로 만드는
나만의 단어장&문제집

기출 외에도 외워야 하는 내용은
객관식, 주관식, 카드, 빈칸
등 다양한 형식으로
직접 만들어 보세요. 내 학습 스타일에
맞게
나만의 단어장과 문제집을 만들 수 있어요.

시험별 체계적인
문제 관리

시험에 문제를 추가해 체계적으로
관리할 수 있어요.
주제나 단원별로
분류하고 싶다면,
시험에 챕터를 만들어
문제를 추가할 수도 있어요.

수십만 명이
오늘학습을 사랑합니다

앱 스토어 평점 4.9
구글 플레이 평점 4.8
누적 회원수 100,000+
지금 오늘학습을
시작해보세요
지금 시작하기
문제 선택