대칭 n상 환상결선에서 선전류와 환상전류 사이의 위상차는 어떻게 되는가?
지금 시작하기 →

・・・ 문제은행 전기공사산업기사(2019년 1회) 76번

전기공사산업기사 2019년 03월 76번

대칭 n상 환상결선에서 선전류와 환상전류 사이의 위상차는 어떻게 되는가?

1
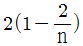
2
3
4
단축키
이전 문제로 이동은 키를 누르고, 다음 문제로 이동은 키를 누르세요
이전 문제 , 다음 문제
문제(100)
49 3상 유도전동기의 토크와 출력에 대한 설명으로 옳은 것은? 50 동기전동기에서 90° 앞선 전류가 흐를 때 전기자 반작용은? 51 권수비 30인 단상변압기의 1차에 6600V를 공급학, 2차에 40kW, 뒤진 역률 80%의 부하를 걸 때 2차 전류 I2 및 1차 전류 I1은 약 몇 A 인가? (단, 변압기의 손실은 무시한다.) 52 어떤 IGBT의 열용량은 0.02 /℃, 열저항은 0.625 ℃/W 이다. 이 소자에 직류 25A가 흐를 때 전압강하는 3V 이다. 몇 ℃의 온도상승이 발생하는가? 53 일정 전압으로 운전하는 직류전동기의 손실이 x+yI2으로 될 때 어떤 전류에서 효율이 최대가 되는가? (단, x ,y는 정수이다.) 54 T-결선에 의하여 3300V의 3상으로부터 200V, 40kVA의 전력을 얻는 경우 T좌 변압기의 권수비는 약 얼마인가? 55 3상 동기발전기 각 상의 유기기전력 중 제3고조파를 제거하려면 코일간격/극간격을 어떻게 하면 되는가? 56 어떤 변압기의 백분율 저항강하가 2%, 백분율 리액턴스강하가 3%라 한다. 이 변압기로 역률이 80%인 부하에 전력을 공급하고 있다. 이 변압기의 전압변동률은 몇 % 인가? 57 사이리스터에 의한 제어는 무엇을 제어하여 출력전압을 변환시키는가? 58 동기발전기에서 전기자 전류를 I, 역률을 cosθ라 하면 횡축 반작용을 하는 성분은? 59 단자전압 220V, 부하전류 48A, 계자전류 2A, 전기자 저항 0.2Ω인 직류분권발전기의 유도기전력(V)은? (단, 전기자 반작용은 무시한다.) 60 단상 유도전동기와 3상 유도전동기를 비교했을 때 단상 유도전동기의 특징에 해당되는 것은?
73 다음과 같은 전류의 초기값 i(0+)를 구하면? 74 다음과 같은 회로에서 a, b 양단의 전압은 몇 V 인가? 75 대칭 3상 Y결선에서 선간전압이 200√3 V 이고 각 상의 임피던스가 30 + j40(Ω)의 평형 부하일 때 선전류(A)는? 76 대칭 n상 환상결선에서 선전류와 환상전류 사이의 위상차는 어떻게 되는가? 77 R = 1kΩ, C = 1μF 가 직렬접속된 회로에 스텝(구형파) 전압 10V를 인가하는 순간에 커패시터 C에 걸리는 최대전압(V)은? 78 Va, Vb, Vc를 3상 불평형 전압이라 하면 정상(定相)전압(V)은? (단, 이다.) 79 저항 R = 6Ω과 유도리액턴스 XL = 8Ω이 직렬로 접속된 회로에서 v = 200√2 sinωt(V)인 전압을 인가하였다. 이 회로의 소비되는 전력(kW)은? 80 정격전압에서 1kW의 전력을 소비하는 저항에 정격의 80%의 전압을 가할 때의 전력(W)은? 81 중선선 다중접지식의 것으로 전로에 지락이 생겼을 때에 2초 이내에 자동적으로 이를 전로로부터 차단하는 장치가 되어 있는 22.9 kV 가공전선로를 상부 조영재의 위쪽에서 접근상태로 시설하는 경우, 가공전선과 건조물과의 이격거리는 몇 m 이상이어야 하는가? (단, 전선으로는 나전선을 사용한다고 한다.) 82 전기부식방지 시설을 시설할 때 전기부식방지용 전원 장치로부터 양극 및 피방식체까지의 전로의 사용전압은 직류 몇 V 이하이어야 하는가? 83 시가지에 시설하는 고압 가공전선으로 경동선을 사용하려면 그 지름은 최소 몇 mm 이어야 하는가? 84 과전류차단기로 시설하는 퓨즈 중 고압전로에 사용하는 비포장 퓨즈는 정격전류의 몇 배의 전류에 견디어야 하는가?
85 고압 가공전선 상호 간의 접근 또는 교차하여 시설되는 경우, 고압 가공전선 상호 간의 이격거리는 몇 cm 이상이어야 하는가? (단, 고압 가공전선은 모두 케이블이 아니라고 한다.) 86 가공 직류 전차선의 레일면상의 높이는 몇 m 이상이어야 하는가? 87 건조한 장소로서 전개된 장소에 한하여 시설할 수 잇는 고압 옥내배선의 방법은? 88 변압기의 안정권선이나 유휴권선 또는 전압조정기의 내장권선을 이상전압으로부터 보호하기 위하여 특히 필요할 경우에 그 권선에 접지공사를 할 때에는 몇 종 접지공사를 하여야 하는가?(관련 규정 개정전 문제로 여기서는 기존 정답인 1번을 누르면 정답 처리됩니다. 자세한 내용은 해설을 참고하세요.) 89 가공전선로의 지지물에 지선을 시설하는 기준으로 옳은 것은? 90 제1종 접지공사의 접지저항 값은 몇 Ω 이하로 유지하여야 하는가?(관련 규정 개정전 문제로 여기서는 기존 정답인 1번을 누르면 정답 처리됩니다. 자세한 내용은 해설을 참고하세요.) 91 6.6 kV 지중전선로의 케이블을 직류전원으로 절연 내력시험을 하자면 시험전압은 직류 몇 V 인가? 92 전력 보안 통신용 전화설비를 시설하여야 하는 곳은? 93 출퇴표시등 회로에 전기를 공급하기 위한 변압기는 2차측 전로의 사용전압이 몇 V 이하인 절연 변압기이어야 하는가? 94 고압 가공전선이 가공약전류전선 등과 접근하는 경우에 고압 가공전선과 가공약전류전선 사이의 이격거리는 몇 cm 이상이어야 하는가? (단, 전선이 케이블인 경우) 95 154/22.9 kV용 변전소의 변압기에 반드시 시설하지 않아도 되는 계측장치는? 96 시가지 등에서 특고압 가공전선로를 시설하는 경우 특고압 가공전선로용 지지물로 사용할 수 없는 것은? (단, 사용전압이 170 kV 이하인 경우이다.)
App Store Google Play
오늘학습 예시 이미지

시험에 합격하려면
복습을 제대로 해야 합니다.

오늘학습은 스스로 기억을 떠올리고 계획적으로 복습할 수 있도록 설계돼 있어요.
그것도, 가장 과학적인 방식으로요!

능동적 회상

능동적 회상
(Active Recall)

배운 내용을 단순 읽으며 반복하는 것이 아니라,
능동적으로 기억하고 있는지를
스스로 테스트하며
공부할 수 있는
학습 환경을 제공해 학습 효과를 높여요

간격 반복 학습

간격 반복 학습
(Spaced Repetition)

에빙하우스 망각곡선을 바탕으로
가장 최적의 시점에 복습을 제공하여
배운 내용이 잊히지 않도록 장기 기억화해요

Data 기반의
뇌과학적 복습 시스템

학습 결과 Data를 분석해, 문제별 최적화된
반복 학습량을
자동으로 분배해요.
학습에 소요되는 시간을 최소화하는
동시에
단기 기억을 장기 기억으로 전환해줘요.

36만 개 이상의
기출문제 무료 제공

공무원 및 약 300여종의 자격증 시험 기출문제
36만개
이상을 무료로 이용할 수 있어요.
여러 앱을 설치할 필요
없이, 오늘학습 하나로
모든 시험을 준비할 수 있어요.

다양한 문제 유형으로 만드는
나만의 단어장&문제집

기출 외에도 외워야 하는 내용은
객관식, 주관식, 카드, 빈칸
등 다양한 형식으로
직접 만들어 보세요. 내 학습 스타일에
맞게
나만의 단어장과 문제집을 만들 수 있어요.

시험별 체계적인
문제 관리

시험에 문제를 추가해 체계적으로
관리할 수 있어요.
주제나 단원별로
분류하고 싶다면,
시험에 챕터를 만들어
문제를 추가할 수도 있어요.

수십만 명이
오늘학습을 사랑합니다

앱 스토어 평점 4.9
구글 플레이 평점 4.8
누적 회원수 100,000+
지금 오늘학습을
시작해보세요
지금 시작하기
문제 선택