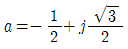
대칭 3상 전압이 a상 Va[V], b상 Vb=a2Va[V], c상 Vc=aVa[V]일 때 a상 기준으로 한 대칭분 전압 중 정상분 V1[V]은 어떻게 표시되는 가? (단, 이다.)
지금 시작하기 →

・・・ 문제은행 전기공사산업기사(2016년 1회) 78번

전기공사산업기사 2016년 03월 78번

대칭 3상 전압이 a상 Va[V], b상 Vb=a2Va[V], c상 Vc=aVa[V]일 때 a상 기준으로 한 대칭분 전압 중 정상분 V1[V]은 어떻게 표시되는 가? (단, 이다.)

1
0
2
Va
3
aVa
4
a2Va
단축키
이전 문제로 이동은 키를 누르고, 다음 문제로 이동은 키를 누르세요
이전 문제 , 다음 문제
문제(100)
85 버스덕트 공사에 대한 설명으로 옳은 것은? 86 154[kV]용 변성기를 사람이 접촉할 우려가 없도록 시설하는 경우에 충전부분의 지표상의 높이는 최소 몇 [m] 이상이어야 하는가? 87 옥내배선에서 나전선을 사용할 수 없는 것은? 88 시가지 등에서 특고압 가공전선로의 시설에 대한 내용 중 틀린 것은? 89 전력보안 통신설비인 무선용 안테나 등을 지지하는 철주의 기초의 안전율이 얼마 이상이어야 하는가? 90 특고압 계기용변성기의 2차측 전로의 접지공사는?(관련 규정 개정전 문제로 여기서는 기존 정답인 1번을 누르면 정답 처리됩니다. 자세한 내용은 해설을 참고하세요.) 91 345[kV] 가공전선로를 제1종 특고압 보안공사에 의하여 시설할 때 사용되는 경동연선의 굵기는 몇 [mm2] 이상이어야 하는가? 92 차단기에 사용하는 압축공기장치에 대한 설명 중 틀린 것은? 93 평상시 개폐를 하지 않는 고압 진상용 콘덴서에 고압 컷아웃스위치(COS)를 설치하는 경우 옳을 것은? 94 사용전압이 22900[V]인 가공전선이 건조물과 제2차 접근상태로 시설되는 경우에 이 특고압 가공전선로의 보안공사는 어떤 종류의 보안공사로 하여야 하는가? 95 비접지식 고압전로에 접속되는 변압기의 외함에 실시하는 제1종 접지공사의 접지극으로 사용할 수 있는 건물 철골의 대지 전기저항은 몇 [Ω] 이하인가? 96 저압 수상전선로에 사용되는 전선은?
App Store Google Play
오늘학습 예시 이미지

시험에 합격하려면
복습을 제대로 해야 합니다.

오늘학습은 스스로 기억을 떠올리고 계획적으로 복습할 수 있도록 설계돼 있어요.
그것도, 가장 과학적인 방식으로요!

능동적 회상

능동적 회상
(Active Recall)

배운 내용을 단순 읽으며 반복하는 것이 아니라,
능동적으로 기억하고 있는지를
스스로 테스트하며
공부할 수 있는
학습 환경을 제공해 학습 효과를 높여요

간격 반복 학습

간격 반복 학습
(Spaced Repetition)

에빙하우스 망각곡선을 바탕으로
가장 최적의 시점에 복습을 제공하여
배운 내용이 잊히지 않도록 장기 기억화해요

Data 기반의
뇌과학적 복습 시스템

학습 결과 Data를 분석해, 문제별 최적화된
반복 학습량을
자동으로 분배해요.
학습에 소요되는 시간을 최소화하는
동시에
단기 기억을 장기 기억으로 전환해줘요.

36만 개 이상의
기출문제 무료 제공

공무원 및 약 300여종의 자격증 시험 기출문제
36만개
이상을 무료로 이용할 수 있어요.
여러 앱을 설치할 필요
없이, 오늘학습 하나로
모든 시험을 준비할 수 있어요.

다양한 문제 유형으로 만드는
나만의 단어장&문제집

기출 외에도 외워야 하는 내용은
객관식, 주관식, 카드, 빈칸
등 다양한 형식으로
직접 만들어 보세요. 내 학습 스타일에
맞게
나만의 단어장과 문제집을 만들 수 있어요.

시험별 체계적인
문제 관리

시험에 문제를 추가해 체계적으로
관리할 수 있어요.
주제나 단원별로
분류하고 싶다면,
시험에 챕터를 만들어
문제를 추가할 수도 있어요.

수십만 명이
오늘학습을 사랑합니다

앱 스토어 평점 4.9
구글 플레이 평점 4.8
누적 회원수 100,000+
지금 오늘학습을
시작해보세요
지금 시작하기
문제 선택