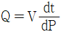
누설률을 구하는 식으로 옳은 것은? (단, P : 기체의 압력, Q : 누설률, V : 사자의 부피, t : 기체를 모으는 시간이다.)
지금 시작하기 →

・・・ 문제은행 침투비파괴검사산업기사(2016년 2회) 5번

침투비파괴검사산업기사 2016년 10월 5번

누설률을 구하는 식으로 옳은 것은? (단, P : 기체의 압력, Q : 누설률, V : 사자의 부피, t : 기체를 모으는 시간이다.)

1
2
3
4
단축키
이전 문제로 이동은 키를 누르고, 다음 문제로 이동은 키를 누르세요
이전 문제 , 다음 문제
문제(60)
25 액체 침투탐상검사의 효과를 증대시키기 위해 갖추어야 할 침투액의 조건으로 틀린 것은? 26 수세성 침투탐상검사를 할 때의 주의점이 아닌 것은? 27 다음 재료 중 점성(Viscosity)이 가장 큰 것은? 28 형광침투탐상시험에서 나타나는 형광과 관련된 설명으로 틀린 것은? 29 시험체의 재질이 연강일 때 침투탐상시험의 전처리 방법으로 부적절한 것은? 30 다음 중 모세관현상을 결정하는 요인으로 가장 거리가 먼 것은? 31 보일러 및 압력용기의 침투탐상검사 (ASME Sec.V, Art.6 App.Ⅱ)에서는 검사에 사용되는 탐상제에 대한 오염의 관리를 규정하고 있다. 오염의 함유량에 대한 성적서를 보관 및 관리하지 않아도 되는 시험체는? 32 침투탐상 시험방법 및 침투지시모영의 분류(KS B 0816)에서 침투지시의 관찰에 관한 규정사항으로 옳은 것은? 33 침투탐상 시험방법 및 침투지시모영의 분류(KS B 0816)에 규정된 침투탐상시험을 위한 A형 대비시험편의 제작 방법으로 옳은 것은? 34 침투탕상 시험방법 및 침투지시모양의 분류(KS B0816)에서 물세척을 할 수 없는 침투제는? 35 보일러 및 압력용기에 대한 침투탐상검사(ASME Sec.V Art.6)에서 최소 침투 시간이 가장 긴 것은? 36 침투탐상 시험방법 및 침투지시모양의 분류(KS B 0816)의 B형 대비시험편에서 인공 결함을 검출하기 가장 어려운 것은?
App Store Google Play
오늘학습 예시 이미지

시험에 합격하려면
복습을 제대로 해야 합니다.

오늘학습은 스스로 기억을 떠올리고 계획적으로 복습할 수 있도록 설계돼 있어요.
그것도, 가장 과학적인 방식으로요!

능동적 회상

능동적 회상
(Active Recall)

배운 내용을 단순 읽으며 반복하는 것이 아니라,
능동적으로 기억하고 있는지를
스스로 테스트하며
공부할 수 있는
학습 환경을 제공해 학습 효과를 높여요

간격 반복 학습

간격 반복 학습
(Spaced Repetition)

에빙하우스 망각곡선을 바탕으로
가장 최적의 시점에 복습을 제공하여
배운 내용이 잊히지 않도록 장기 기억화해요

Data 기반의
뇌과학적 복습 시스템

학습 결과 Data를 분석해, 문제별 최적화된
반복 학습량을
자동으로 분배해요.
학습에 소요되는 시간을 최소화하는
동시에
단기 기억을 장기 기억으로 전환해줘요.

36만 개 이상의
기출문제 무료 제공

공무원 및 약 300여종의 자격증 시험 기출문제
36만개
이상을 무료로 이용할 수 있어요.
여러 앱을 설치할 필요
없이, 오늘학습 하나로
모든 시험을 준비할 수 있어요.

다양한 문제 유형으로 만드는
나만의 단어장&문제집

기출 외에도 외워야 하는 내용은
객관식, 주관식, 카드, 빈칸
등 다양한 형식으로
직접 만들어 보세요. 내 학습 스타일에
맞게
나만의 단어장과 문제집을 만들 수 있어요.

시험별 체계적인
문제 관리

시험에 문제를 추가해 체계적으로
관리할 수 있어요.
주제나 단원별로
분류하고 싶다면,
시험에 챕터를 만들어
문제를 추가할 수도 있어요.

수십만 명이
오늘학습을 사랑합니다

앱 스토어 평점 4.9
구글 플레이 평점 4.8
누적 회원수 100,000+
지금 오늘학습을
시작해보세요
지금 시작하기
문제 선택