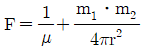
쿨룽의 법칙에서 두 자극 사이에 작용하는 힘(F)을 구하는 식으로 옳은 것은? (단, 자극의 세기는 각각 m1m, m2m, 투자율은 μ, 자극간의 간격은 r이다.)
지금 시작하기 →

・・・ 문제은행 침투비파괴검사산업기사(2019년 2회) 3번

침투비파괴검사산업기사 2019년 04월 3번

쿨룽의 법칙에서 두 자극 사이에 작용하는 힘(F)을 구하는 식으로 옳은 것은? (단, 자극의 세기는 각각 m1m, m2m, 투자율은 μ, 자극간의 간격은 r이다.)

1
2
3
4
단축키
이전 문제로 이동은 키를 누르고, 다음 문제로 이동은 키를 누르세요
이전 문제 , 다음 문제
문제(60)
1 초음파탐상검사의 특징을 기술한 것으로 올바른 것은? 2 다음 중 비파괴검사를 옳게 설명한 것은? 3 쿨룽의 법칙에서 두 자극 사이에 작용하는 힘(F)을 구하는 식으로 옳은 것은? (단, 자극의 세기는 각각 m1m, m2m, 투자율은 μ, 자극간의 간격은 r이다.) 4 단강품에 주로 발생되는 결함 중 초음파 탐상검사 시 표면 근처에서 임상에코가 많이 발생하고 저면에코의 변화에 주의하여 사용주파수를 바꾸어 다른 결함과 구별할 필요가 있는 결함은? 5 와전류탐상시험을 적용하기 가장 곤란한 것은? 6 Fe-C 평형상태도에서 나타나지 않는 반응은? 7 사용하고 있던 기계 구조용 탄소강 부품을 SM20C에서 SM40로 바꾸었을 경우 인장강도가 연신율의 변화로 옳은 것은? 8 절삭공구로 사용되는 고속도 공구강의 대표적인 것은 18-4-I형이 있다. 이들의 화학성분으로 옳은 것은? 9 가공용 황동의 대표로 70%Cu+30%Zn으로 판, 봉, 관, 선 등을 만들어 자동차용 방열기 부품, 소켓, 탄피, 장식품 등으로 가공하여 이용하는 것은? 10 수소저장합금의 기능이 아닌 것은? 11 O2나 탈산제를 포함하지 않으며, 진공 또는 CO의 환원 분위기에서 용해 주조 한 것으로 진공관의 구리선 또는 전자기기용으로 사용되는 것은? 12 재료가 어느 응력하에서 파단에 이르기까지 수백 % 이상의 연신율을 갖는 합금은?
25 침투액의 물리적 성질에서 침투 성능의 우수성을 결정하는 데 중요한 두 가지 성질은? 26 강 및 비철재료의 압출품, 단조품에 발생한 균열을 찾아내기 위해 침투탐상검사를 할 때 가장 적절한 침투시간은? 27 다음 중 염색침투탐상시험 시에 의사지시의 원인이 될 수 있는 것은? 28 부적당한 세척으로 인해 거짓지시가 나타났을 때의 조치방법은? 29 시험체 표면의 과잉침투액을 세척처리한 후에 현상제를 사용하지 않고 지시모양을 관찰하는 현상법은? 30 후유화성 침투탐상시험에서 유화제의 적용 방법으로 가장 부적절한 것은? 31 침투탐상 시험 방법 및 침투지시모양의 분류(KS B 0816) 내용 중 잘못된 것은? 32 침투탐상 시험 방법 및 침투지시모양의 분류(KS B 0816)로 알루미늄 용접부를 FD-A(물베이스 유화제)의 방법으로 침투탐상검사를 하였다. 틀린 것은? 33 침투탐상 시험 방법 및 침투지시모양의 분류(KS B 0816)의 유화 시간을 규정한 것이다. ()안에 알맞은 유화시간으로 올바른 것은? 34 침투탐상 시험 방법 및 침투지시모양의 분류(KS B 0816)에서 침투탐상검사 시 침투시간이 다른 형태의 검사품은? 35 침투탐상 시험 방법 및 침투지시모양의 분류(KS B 0816)에 따라 사용 중인 침투액을 겉모양 검사를 하여 그 성능을 검사하고자 할 때 폐기의 기준이 되지 않는 것은? 36 침투탐상 시험 방법 및 침투지시모양의 분류(KS B 0816) 침투 지시 모양에서 선상결함과 원형상 결함의 구분은 결함 길이가 결함 나비의 몇 배 이상이어야 선상 결함으로 분류하는가?
37 보일러 및 압력용기에 대한 침투탐상검사(ASME Sec.V, Art.6)에 따라 마그네슘 주조품의 균열을 탐지하고자 할 경우에 최소 침투시간은? 38 침투탐상 시험 방법 및 침투지시모양의 분류(KS B 0816)에 규정한 탐상제의 관리에 대한 설명으로 가장 옳은 것은? 39 보일러 및 압력용기에 대한 침투탐상검사(ASME Sec.V, Art.6)에 따라 수세성 침투액을 세척할 때 수온은 몇 ℃를 초과해서는 안 되는가? 40 보일러 및 압력용기에 대한 침투탐상검사(ASME Sec.V, Art.6)에서 판독에 관한 설명으로 틀린 것은? 41 각종 침투탐상검사법 중에서 어떤 방법을 선정할 것인지 고려해야 하는 사항이 아닌 것은? 42 후유화성 형광 침투탐상시험의 장점이 아닌 것은? 43 다음 전처리 방법 중에서 화학적 세척방법이 아닌 것은? 44 용접 제품에 대한 침투탐상검사를 실시하려고 할 때 주의할 내용으로 틀린 것은? 45 침투탐상시스템 모니터패널(PSM Panel)의 특징으로 옳지 않은 것은? 46 니켈합금 재질의 부품을 침투탐상검사할 때 미리 확인해야 할 탐상제의 성분은? 47 미세한 결함을 탐상하는 데 적합하지 않지만 다공성 재질로 구성된 시험체를 검사하기 위해 유성 액체에 형광입자를 현탁시킨 용액을 시험면에 적용하여 검사하는 방법은? 48 암실의 조도가 10룩스(lx)인 곳에서 형광침투탐상시험을 할 때 검사 표면에서의 최소 자외선 강도(μW/cm2)는?
App Store Google Play
오늘학습 예시 이미지

시험에 합격하려면
복습을 제대로 해야 합니다.

오늘학습은 스스로 기억을 떠올리고 계획적으로 복습할 수 있도록 설계돼 있어요.
그것도, 가장 과학적인 방식으로요!

능동적 회상

능동적 회상
(Active Recall)

배운 내용을 단순 읽으며 반복하는 것이 아니라,
능동적으로 기억하고 있는지를
스스로 테스트하며
공부할 수 있는
학습 환경을 제공해 학습 효과를 높여요

간격 반복 학습

간격 반복 학습
(Spaced Repetition)

에빙하우스 망각곡선을 바탕으로
가장 최적의 시점에 복습을 제공하여
배운 내용이 잊히지 않도록 장기 기억화해요

Data 기반의
뇌과학적 복습 시스템

학습 결과 Data를 분석해, 문제별 최적화된
반복 학습량을
자동으로 분배해요.
학습에 소요되는 시간을 최소화하는
동시에
단기 기억을 장기 기억으로 전환해줘요.

36만 개 이상의
기출문제 무료 제공

공무원 및 약 300여종의 자격증 시험 기출문제
36만개
이상을 무료로 이용할 수 있어요.
여러 앱을 설치할 필요
없이, 오늘학습 하나로
모든 시험을 준비할 수 있어요.

다양한 문제 유형으로 만드는
나만의 단어장&문제집

기출 외에도 외워야 하는 내용은
객관식, 주관식, 카드, 빈칸
등 다양한 형식으로
직접 만들어 보세요. 내 학습 스타일에
맞게
나만의 단어장과 문제집을 만들 수 있어요.

시험별 체계적인
문제 관리

시험에 문제를 추가해 체계적으로
관리할 수 있어요.
주제나 단원별로
분류하고 싶다면,
시험에 챕터를 만들어
문제를 추가할 수도 있어요.

수십만 명이
오늘학습을 사랑합니다

앱 스토어 평점 4.9
구글 플레이 평점 4.8
누적 회원수 100,000+
지금 오늘학습을
시작해보세요
지금 시작하기
문제 선택