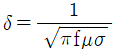
와전류 표준침투 깊이(δ)를 바르게 나타낸 식은? (단, σ는 전도율(μ/m), μ는 투자율(H/m), f는 시험주파수(Hz)이다.)
지금 시작하기 →

・・・ 문제은행 침투비파괴검사산업기사(2018년 2회) 5번

침투비파괴검사산업기사 2018년 09월 5번

와전류 표준침투 깊이(δ)를 바르게 나타낸 식은? (단, σ는 전도율(μ/m), μ는 투자율(H/m), f는 시험주파수(Hz)이다.)

1
2
3
4
단축키
이전 문제로 이동은 키를 누르고, 다음 문제로 이동은 키를 누르세요
이전 문제 , 다음 문제
문제(60)
25 시험체의 표면에 침투탐상검사 지시가 여기저기 분산되어 원형지시로 나타나는 결함인 것은? 26 침투액을 균열이나 개구부로 침투시키고 균열속에 침투액을 바깥으로 나오게 하여, 불연속의 가시성을 높이는 침투 메커니즘인 모세관 현상에 영향을 주는 물리적 현상은? 27 후유화성 침투탐상시험에서 유화제의 주된 기능은? 28 침투액의 침투속도와 다음 변수들과의 관계 중 올바른 것은? 29 침투탐상시험 중 화재 위험성이 가장 큰 침투제와 현상제로 조합된 것은? 30 수세성 염색침투탐상검사에 비하여 후유화성 염색침투탐상검사의 특징으로 올바른 것은? 31 침투탐상 시험방법 및 침투지시모양의 분류(KS B 0816)에 의해 사용 중인 물베이스 유화제는 규정농도에서 몇 %이상 차이일 때 폐기되거나 농도 조정되어야 하는가? 32 보일러 및 압력용기에 대한 표준침투탐상검사(ASME Src.V Art.24 SD-129)에 의한 석유제품에 있는 황에 대한 표준시험방법에서 시료의 황 함유량의 계산식으로 맞는 것은? (단, P=시료로부터 얻은 BaSO4의 무게(g), B=블랭크로부터 얻은 BaSO4의 무게(g), W=사용된 시료의 무게(g)이다.) 33 보일러 및 압력용기에 대한 표준침투탐상검사(ASME Src.V Art.24 SE-165)에서 규정한 침투탐상시험에서 자외선조사등에 대한 설명이 올바른 것은? 34 침투탐상 시험방법 및 침투지시모양의 분류(KS B 0816)에 따른 용제 제거성 침투액의 제거 방법으로 적합한 것은? 35 보일러 및 압력용기에 대한 표준침투탐상검사(ASME Src.V Art.6)에서 오스테나이트계 스테인리스강을 시험할 경우 총 할로겐의 중량은 몇 % 이내로 유지되어야 하는가? 36 침투탐상 시험방법 및 침투지시모양의 분류(KS B 0816)에서 이원성 염색 침투액을 사용할 때의 표기방법으로 옳은 것은?
37 침투탐상 시험방법 및 침투지시모양의 분류(KS B 0816)에 따른 침투탐상시험에서 시험하는 동안 시험체의 온도가 어느 범위일 때 국부적인 가열이나 냉각이 허용되는가? 38 침투탐상 시험방법 및 침투지시모양의 분류(KS B 0816)에 의한 침투탐상 시험시 선상 결함이란? (단, 갈라짐 이외의 결함 중에서) 39 침투탐상 시험방법 및 침투지시모양의 분류(KS B 0816)에 의해 침투탐상시험을 수행하는 경우 사용하는 A형 대비시험편의 크기 및 사용목적에 대해 바르게 열거한 것은? (단, 크기의 단위는 mm이다.) 40 보일러 및 압력용기에 대한 표준침투탐상검사(ASME Src.V Art.6)에 규정된 물베이스 유화제의 유화처리 방법은? 41 다음 중 가장 좋은 적심성을 가진 접촉각은? 42 침투탐상 재료의 성능시험 중 습식 현상제에서 가장 중요한 것은? 43 침투탐상시험법 중 세척 조작이 쉽고 표면이 거친 시험체의 탐상에 적합한 방법은? 44 침투처리 과정에서 지시모양을 관찰하는 특수침투탐상 검사로서 제트엔진 부품 등과 같이 고온의 부하를 가한 상태에서 검사하는 방법은? 45 일반적으로 표면에 작용하는 응력과 외부분위기의 영향에 의하여 발생되는 표면결함이 아닌 것은? 46 표면이 거친 주강품의 검사에 가장 적합한 침투탐상 검사는? 47 형광 침투탐상검사의 과정에 대한 설명으로 옳은 것은? 48 형광침투탐상시험 시 균열에 대한 일반적인 지시 모양은?
App Store Google Play
오늘학습 예시 이미지

시험에 합격하려면
복습을 제대로 해야 합니다.

오늘학습은 스스로 기억을 떠올리고 계획적으로 복습할 수 있도록 설계돼 있어요.
그것도, 가장 과학적인 방식으로요!

능동적 회상

능동적 회상
(Active Recall)

배운 내용을 단순 읽으며 반복하는 것이 아니라,
능동적으로 기억하고 있는지를
스스로 테스트하며
공부할 수 있는
학습 환경을 제공해 학습 효과를 높여요

간격 반복 학습

간격 반복 학습
(Spaced Repetition)

에빙하우스 망각곡선을 바탕으로
가장 최적의 시점에 복습을 제공하여
배운 내용이 잊히지 않도록 장기 기억화해요

Data 기반의
뇌과학적 복습 시스템

학습 결과 Data를 분석해, 문제별 최적화된
반복 학습량을
자동으로 분배해요.
학습에 소요되는 시간을 최소화하는
동시에
단기 기억을 장기 기억으로 전환해줘요.

36만 개 이상의
기출문제 무료 제공

공무원 및 약 300여종의 자격증 시험 기출문제
36만개
이상을 무료로 이용할 수 있어요.
여러 앱을 설치할 필요
없이, 오늘학습 하나로
모든 시험을 준비할 수 있어요.

다양한 문제 유형으로 만드는
나만의 단어장&문제집

기출 외에도 외워야 하는 내용은
객관식, 주관식, 카드, 빈칸
등 다양한 형식으로
직접 만들어 보세요. 내 학습 스타일에
맞게
나만의 단어장과 문제집을 만들 수 있어요.

시험별 체계적인
문제 관리

시험에 문제를 추가해 체계적으로
관리할 수 있어요.
주제나 단원별로
분류하고 싶다면,
시험에 챕터를 만들어
문제를 추가할 수도 있어요.

수십만 명이
오늘학습을 사랑합니다

앱 스토어 평점 4.9
구글 플레이 평점 4.8
누적 회원수 100,000+
지금 오늘학습을
시작해보세요
지금 시작하기
문제 선택