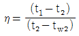
에어와셔 단열 가습시 포화효율은 어떻게 표시하는가? (단, 입구공기의 건구온도 t1, 출구공기의 건구온도 t2, 입구공기의 습구온도 tw1, 출구공기의 습구온도 tw2이다.)
지금 시작하기 →

・・・ 문제은행 공조냉동기계기사(구)(2018년 3회) 60번

공조냉동기계기사(구) 2018년 08월 60번

에어와셔 단열 가습시 포화효율은 어떻게 표시하는가? (단, 입구공기의 건구온도 t1, 출구공기의 건구온도 t2, 입구공기의 습구온도 tw1, 출구공기의 습구온도 tw2이다.)

1
2
3
4
단축키
이전 문제로 이동은 키를 누르고, 다음 문제로 이동은 키를 누르세요
이전 문제 , 다음 문제
문제(100)
1 그림과 같이 카르노 사이클로 운전하는 기관 2개가 직렬로 연결되어 있는 시스템에서 두 열기관의 효율이 똑같다고 하면 중간 온도 T는 약 몇 K인가? 2 역카르노 사이클로 운전하는 이상적인 냉동사이클에서 응축기 온도가 40℃, 증발기 온도가 -10℃이면 성능 계수는? 3 밀폐시스템에서 초기 상태가 300K, 0.5m3인 이상기체를 등온과정으로 150kPa에서 600 kPa까지 천천히 압축하였다. 이 압축과정에 필요한 일은 약 몇 kJ인가? 4 에어컨을 이용하여 실내의 열을 외부로 방출하려 한다. 실외 35℃, 실내 20℃인 조건에서 실내로부터 3kW의 열을 방출하려 할 때 필요한 에어컨의 최소 통력은 약 몇 kW인가? 5 압력 250kPa, 체적 0.35m3의 공기가 일정 압력 하에서 팽창하여, 체적이 0.5m3로 되었다. 이 때 내부에너지의 증가가 93.9kJ이었다면, 팽창에 필요한 열량은 약 몇 kJ인가? 6 이상기체의 가역 폴리트로픽 과정은 다음과 같다. 이에 대한 설명으로 옳은 것은? (단, P는 압력, v는 비체적, C는 상수이다.) 7 열과 일에 대한 설명 중 옳은 것은? 8 랭킨 사이클의 각각의 지점에서 엔탈피는 다음과 같다. 이 사이클의 효율은 약 몇 %인가? (단, 펌프일은 무시한다.) 9 공기의 정압비열(Cp, kJ/(kg·℃))이 다음과 같다고 가정한다. 이때 공기 5kg을 0℃에서 100℃까지 일정한 압력하에서 가열하는데 필요한 열량은 약 몇 kJ인가? (단, 다음 식에서 t는 섭씨온도를 나타낸다.) 10 공기 표준 사이클로 운전하는 디젤 사이클 엔진에서 압축비는 18, 체절비(분사 단절비)는 2일 때 이 엔진의 효율은 약 몇 %인가? (단, 비열비는 1.4이다.) 11 카르노 냉동기 사이클과 카르노 열펌프 사이클에서 최고 온도와 최소 온도가 서로 같다. 카르노 냉동기의 성적 계수는 COPR이라고 하고, 카르노 열펌프의 성적계수는 COPHP라고 할 때 다음 중 옳은 것은? 12 500℃의 고온부와 50℃의 저온부 사이에서 작동하는 Carnot 사이클 열기관의 열효율은 얼마인가?
13 이상기체가 등온 과정으로 부피가 2배로 팽창할 때 한 일이 W1이다. 이 이상기체가 같은 초기조건 하에서 폴리트로픽 과정(지수=2)으로 부피가 2배로 팽창할 때 한 일은? 14 클라우지우스(Clausius) 적분 중 비가역 사이클에 대하여 옳은 식은? (단, Q는 시스템에 공급되는 열, T는 절대온도를 나타낸다.) 15 다음 중 이상적인 스로틀 과정에서 일정하게 유지되는 양은? 16 70kPa에서 어떤 기체의 체적이 12m3이었다. 이 기체를 800kPa까지 폴리트로픽 과정으로 압축했을 때 체적이 2m3로 변화했다면, 이 기체의 폴리트로프 지수는 약 얼마인가? 17 어떤 기체 1kg이 압력 50kPa, 체적 2.0m3의 상태에 서 압력 1000kPa 체적 0.2m3의 상태로 변화하였다. 이 경우 내부에너지의 변화가 없다고 한다면, 엔탈피의 변화는 얼마나 되겠는가? 18 두 물체가 각각 제3의 물체와 온도가 같을 때는 두 물체도 역시 서로 온도가 같다는 것을 말하는 법칙으로 온도측정의 기초가 되는 것은? 19 이상기체가 등온과정으로 체적이 감소할 때 엔탈피는 어떻게 되는가? 20 이상적인 디젤 기관의 압축비가 16일 때 압축전의 공기 온도가 90℃라면, 압축후의 공기의 온도는 약 몇 ℃인가? (단, 공기의 비열비는 1.4 이다.) 21 흡수식 냉동기의 특정에 대한 설명으로 옳은 것은? 22 내경이 20mm인 관 안으로 포화상태의 냉매가 흐르고 있으며 관은 단열재로 싸여있다. 관의 두께는 1mm이며, 관재질의 열전도도는 50W/m·K이며, 단열재의 열전도도는 0.02W/m·K이다. 단열재의 내경과 외경은 각각 22mm와 42mm일 때, 단위길이당 열손실(W)은? (단, 이 때 냉매의 온도는 60℃, 주변 공기의 온도는 0℃이며, 냉매측과 공기측의 평균 대류열전달계수는 각각 2000W/m2·K와 10W/m2·K이다. 관과 단열재 접촉부의 열저항은 무시한다.) 23 40 냉동톤의 냉동부하를 가지는 제빙공장이 있다. 이 제빙공장 냉동기의 압축기 출구 엔탈피가 457kcal/kg, 증발기 출구 엔탈피가 369kcal/kg, 증발기 입구 엔탈피가 128kcal/kg일 때, 냉매 순환량(kg/h)은? (단, 1RT는 3320kcal/h이다.) 24 증기압축식 냉동 시스템에서 냉매량 부족 시 나타나는 현상으로 틀린 것은?
25 프레온 냉동장치에서 가용전에 관한 설명으로 틀린 것은? 26 암모니아 냉동장치에서 고압측 게이지 압력이 14kg/cm2·g, 저압측 게이지 압력이 3kg/cm2·g이고, 피스톤 압출량이 100m3/h, 흡입증기의 비체적이 0.5m3/kg이라 할 때, 이 장치에서의 압축비와 냉매순환량(kg/h)은 각각 얼마인가? (단, 압축기의 체적효율은 0.7로 한다.) 27 피스톤 압출량이 48m3/h인 압축기를 사용하는 아래와 같은 냉동장치가 있다. 압축기 체적효율(nv)이 0.75이고, 배관에서의 열손실을 무시하는 경우, 이 냉동장치의 냉동능력(RT)? (단, 1RT는 3320kcal/h이다.) 28 다음 중 독성이 거의 없고 금속에 대한 부식성이 적어 식품냉동에 사용되는 유기질 브라인은? 29 열통과율 900kcal/m2·h·℃, 전열면적 5m2인 아래 그림과 같은 대향류 열교환기에서의 열교환량(kcal/h)은? (단, t1 : 27℃, t2 : 13℃, tw1 : 5℃, tw2 : 10℃이다.) 30 냉동장치에 사용하는 브라인 순환량이 200L/min이고, 비열이 0.7kcal/kg·℃이다. 브라인의 입·출구 온도는 각각 -6℃와 -10℃일 때, 브라인 쿨러의 냉동능력(kcal/h)은? (단, 브라인의 비중은 1.2이다.) 31 프레온 냉매의 경우 흡입배관에 이중 입상관을 설치하는 목적으로 가장 적합한 것은? 32 다음 중 흡수식 냉동기의 용량제어 방법으로 적당하지 않은 것은? 33 냉동장치 운전 중 팽창밸브의 열림이 적을 때, 발생하는 현상이 아닌 것은? 34 폐열을 회수하기 위한 히트파이프(heat pipe)의 구성요소가 아닌 것은? 35 냉동기유가 갖추어야 할 조건으로 틀린 것은? 36 냉동장치 내에 불응축 가스가 생성되는 원인으로 가장 거리가 먼 것은?
37 가역 카르노 사이클에서 고온부 40℃, 저온부 0℃로 운전될 때 열기관의 효율은? 38 다음 냉동장치에서 물의 증발열을 이용하지 않는 것은? 39 다음 중 밀착 포장된 식품을 냉각부동액 중에 집어 넣어 동결시키는 방식은? 40 압축기에 부착하는 안전밸브의 최소 구경을 구하는 공식으로 옳은 것은? 41 장방형 덕트(장변 a, 단변 b)를 원형덕트로 바꿀 때 사용하는 식은 아래와 같다. 이 식으로 환산된 장방형 덕트와 원형덕트의 관계는? 42 열회수방식 중 공조설비의 에너지 절약기법으로 많이 이용되고 있으며, 외기 도입량이 많고 운전시간이 긴 시설에서 효과가 큰 것은? 43 중앙식 공조방식의 특징에 대한 설명으로 틀린 것은? 44 어느 건물 서편의 유리 면적이 40m2이다. 안쪽에 크림색의 베네시언 블라인드를 설치한 유리면으로부터 오후 4시에 침입하는 열량(kW)은? (단, 외기는 33℃, 실내는 27℃, 유리는 1중이며, 유리의 열통과율(K)은 5.9W/m2·℃, 유리창의 복사량(Igr)은 608W/m2, 차폐계수(Ks)는 0.56이다.) 45 보일러의 스케일 방지방법으로 틀린 것은? 46 외부의 신선한 공기를 공급하여 실내에서 발생한 열과 오염물질을 대류효과 또는 급배기팬을 이용하여 외부로 배출시키는 환기방식은? 47 다음 중 사용되는 공기 선도가 아닌 것은? (단, h : 엔탈피, x : 절대습도, t : 온도, p : 압력이다.) 48 다음 중 일반 공기 냉각용 냉수 코일에서 가장 많이 사용되는 코일의 열수로 가장 적정한 것은?
49 일사를 받는 외벽으로부터의 침입열량(q)을 구하는 식으로 옳은 것은? (단, k는 열관류율, A는 면적, △t는 상당외기 온도차이다.) 50 공기의 감습장치에 관한 설명으로 틀린 것은? 51 간접난방과 직접난방 방식에 대한 설명으로 틀린 것은? 52 다음 중 온수난방용 기기가 아닌 것은? 53 다음 중 축류형 취출구에 해당되는 것은?(문제 오류로 가답안 발표시 2번으로 발표되었지만 확정답안 발표시 2, 4번이 정답 처리 되었습니다. 여기서는 가답안인 2번을 누르면 정답 처리 됩니다.) 54 냉수코일의 설계상 유의사항으로 옳은 것은? 55 수증기 발생으로 인한 환기를 계획하고자 할 때, 필요 환기량 Q(m3/h)의 계산식으로 옳은 것은? (단, qs : 발생 현열량(kJ/h), W : 수증기 발생량(kg/h), M : 먼지발생량(m3/h), ti(℃) : 허용 실내온도, Xi(kg/kg) : 허용 실내 절대습도, to(℃) : 도입 외기온도, Xo(kg/kg) : 도입 외기절대습도, K, Ko : 허용실내 및 도입외기 가스농도, C, Co : 허용 실내 및 도입외기 및 먼지농도 이다.) 56 다음 그림에서 상태 ①인 공기를 ②로 변화시켰을 때의 현열비를 바르게 나타낸 것은? 57 보일러의 종류 중 수관보일러 분류에 속하지 않는 것은? 58 제주지방의 어느 한 건물에 대한 냉방기간 동안의 취득열량(GJ/기간)은? (단, 냉방도일 CD24-24=162.4(deg℃·day), 건물 구조체 표면적 500m2, 열관류율은 0.58W/m2·℃, 환기에 의한 취득열량은 168W/℃이다.) 59 송풍량 2000m3/min을 송풍기 전후의 전압차 20Pa로 송풍하기 위한 필요 전동기 출력(kW)은? (단, 송풍기의 전압효율은 80%, 전동효율은 V벨트로 0.95이며, 여유율은 0.2이다.) 60 에어와셔 단열 가습시 포화효율은 어떻게 표시하는가? (단, 입구공기의 건구온도 t1, 출구공기의 건구온도 t2, 입구공기의 습구온도 tw1, 출구공기의 습구온도 tw2이다.)
App Store Google Play
오늘학습 예시 이미지

시험에 합격하려면
복습을 제대로 해야 합니다.

오늘학습은 스스로 기억을 떠올리고 계획적으로 복습할 수 있도록 설계돼 있어요.
그것도, 가장 과학적인 방식으로요!

능동적 회상

능동적 회상
(Active Recall)

배운 내용을 단순 읽으며 반복하는 것이 아니라,
능동적으로 기억하고 있는지를
스스로 테스트하며
공부할 수 있는
학습 환경을 제공해 학습 효과를 높여요

간격 반복 학습

간격 반복 학습
(Spaced Repetition)

에빙하우스 망각곡선을 바탕으로
가장 최적의 시점에 복습을 제공하여
배운 내용이 잊히지 않도록 장기 기억화해요

Data 기반의
뇌과학적 복습 시스템

학습 결과 Data를 분석해, 문제별 최적화된
반복 학습량을
자동으로 분배해요.
학습에 소요되는 시간을 최소화하는
동시에
단기 기억을 장기 기억으로 전환해줘요.

36만 개 이상의
기출문제 무료 제공

공무원 및 약 300여종의 자격증 시험 기출문제
36만개
이상을 무료로 이용할 수 있어요.
여러 앱을 설치할 필요
없이, 오늘학습 하나로
모든 시험을 준비할 수 있어요.

다양한 문제 유형으로 만드는
나만의 단어장&문제집

기출 외에도 외워야 하는 내용은
객관식, 주관식, 카드, 빈칸
등 다양한 형식으로
직접 만들어 보세요. 내 학습 스타일에
맞게
나만의 단어장과 문제집을 만들 수 있어요.

시험별 체계적인
문제 관리

시험에 문제를 추가해 체계적으로
관리할 수 있어요.
주제나 단원별로
분류하고 싶다면,
시험에 챕터를 만들어
문제를 추가할 수도 있어요.

수십만 명이
오늘학습을 사랑합니다

앱 스토어 평점 4.9
구글 플레이 평점 4.8
누적 회원수 100,000+
지금 오늘학습을
시작해보세요
지금 시작하기
문제 선택