PI 동작의 전달함수는? (단, KP는 비례감도이고, TI는 적분시간이다.)
지금 시작하기 →

・・・ 문제은행 공조냉동기계기사(구)(2019년 2회) 80번

공조냉동기계기사(구) 2019년 04월 80번

PI 동작의 전달함수는? (단, KP는 비례감도이고, TI는 적분시간이다.)

1
KP
2
KPsTI
3
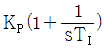
KP(1+sTI)
4
단축키
이전 문제로 이동은 키를 누르고, 다음 문제로 이동은 키를 누르세요
이전 문제 , 다음 문제
문제(100)
1 어떤 시스템에서 공기가 초기에 290K에서 330K로 변화하였고, 이 때 압력은 200kPa에서 600kPa로 변화하였다. 이 때 단위 질량당 엔트로피 변화는 약 몇 kJ/(kg·K)인가? (단, 공기는 정압비열이 1.006 kJ/(kg·K)이고, 기체상수가 0.287 kJ/(kg·K)인 이상기체로 간주한다.) 2 체적이 500cm3인 풍선에 압력 0.1MPa, 온도 288K의 공기가 가득 채워져 있다. 압력이 일정한 상태에서 풍선 속 공기 온도가 300K로 상승했을 때 공기에 가해진 열량은 약 얼마인가? (단, 공기는 정압비열이 1.005kJ/(kg·K), 기체상수가 0.287kJ/(kg·K) 인 이상기체로 간주한다.) 3 어떤 사이클이 다음 온도(T)-엔트로피(s)선도와 같을 때 작동 유체에 주어진 열량은 약 몇 kJ/kg 인가? 4 효율이 40%인 열기관에서 유효하게 발생되는 동력이 110kW 라면 주위로 방출되는 총 열량은 약 몇 kW 인가? 5 500W의 전열기로 4kg의 물을 20℃에서 90℃까지 가열하는데 몇 분이 소요되는가? (단, 전열기에서 열은 전부 온도 상승에 사용되고 물의 비열은 4180 J/(kg·K) 이다.) 6 카르노 사이클로 작동되는 열기관이 고온체에서 100 kJ 의 열을 받고 있다. 이 기관의 열효율이 30%라면 방출되는 열량은 약 몇 kJ 인가? 7 100℃와 50℃ 사이에서 작동하는 냉동기로 가능한 최대성능계수(COP)는 약 얼마인가? 8 압력이 0.2 MPa이고, 초기 온도가 120℃ 인 1kg의 공기를 압축비 18로 가열 단열 압축하는 경우 최종온도는 약 몇 ℃ 인가? (단, 공기는 비열비가 1.4인 이상기체이다.) 9 수증기가 정상과정으로 40m/s의 속도로 노즐에 유입되어 275m/s로 빠져나간다. 유입되는 수증기의 엔탈피는 3300kJ/kg, 노즐로부터 발생되는 열손실은 5.9kJ/kg일 때 노즐 출구에서의 수증기 엔탈피는 약 몇 kJ/kg 인가? 10 용기에 부착된 압력계에 얽힌 계기압력이 150 kPa 이고 국소대기압이 100 kPa일 때 용기 안의 절대압력은? 11 R-12를 작동 유체로 사용하는 이상적인 증기압축 냉동 사이클이 있다. 여기서 증발기 출구 엔탈피는 229 kJ/kg, 팽창밸브 출구 엔탈피는 81 kJ/kg, 응축기 입구 엔탈피는 255 kJ/kg 일 때 이 냉동기의 성적계수는 약 얼마인가? 12 어떤 시스템a에서 유체는 외부로부터 19kJ의 일을 받으면서 167kJ의 열을 흡수하였다. 이 때 내부에너지의 변화는 어떻게 되는가?
13 그림과 같이 실린더 내의 공기가 상태 1에서 상태 2로 변화할 때 공기가 한 일은? (단, P는 압력, V는 부피를 나타낸다.) 14 보일러에 물(온도 20℃, 엔탈피 84kJ/kg)이 유입되어 600 kPa의 포화증기(온도 159℃, 엔탈피 2757kJ/kg) 상태로 유출된다. 물의 질량유량이 300 kg/h 이라면 보이럴에 공급된 열량은 약 몇 kW 인가? 15 압력이 100 kPa 이며 온도가 25℃ 인 방의 크기가 240m3이다. 이 방에 들어있는 공기의 질량은 약 몇 kg 인가? (단, 공기는 이상기체로 가정하며, 공기의 기체상수는 0.287 kJ/(kg·K) 이다.) 16 클라우지우스(Clausius) 부등식을 옳게 표한한 것은? (단, T는 절대온도, Q는 시스템으로 공급된 전체 열량을 표시한다.) 17 Van der Waals 상태 방적식은 다음과 같이 나타낸다. 이 식에서 , b는 각각 무엇을 의미하는 것인가? (단, P는 압력, v는 비체적, R은 기체상수, T는 온도를 나타낸다.) 18 가역 과정으로 실린더 안의 공기를 50 kPa, 10℃ 상태에서 300 kPa 까지 압력(P)과 체적(V)의 관계가 다음과 같은 과정으로 압축할 때 단위 질량당 방출되는 열량은 약 몇 kJ/kg 인가? (단, 기체 상수는 0.287 kJ/(kg·K) 이고, 정적비열은 0.7 kJ/(kg·K) 이다.) 19 등엔트로피 효율이 80%인 소형 공기터빈의 출력이 270 kJ/kg 이다. 입구 온도는 600 K 이며, 출구 압력은 100 kPa 이다. 공기의 정압비열은 1.004 kJ/(kg·K), 비열비는 1.4 일 때, 입구 압력(kPa)은 약 몇 kPa 인가? (단, 공기는 이상기체로 간주한다.) 20 화씨 온도가 86°F 일 때 섭씨 온도는 몇 ℃ 인가? 21 냉각탑의 성능이 좋아지기 위한 조건으로 적절한 것은? 22 다음 중 절연내력이 크고 절연물질을 침식시키지 않기 때문에 밀폐형 압축기에 사용하기에 적합한 냉매는? 23 어떤 냉동기의 증발기 내 압력이 245 kPa 이며, 이 압력에서의 포화온도, 포화액 엔탈피 및 건포화증기 엔탈피, 정압비열은 조건과 같다. 증발기 입구 측 냉매의 엔탈피가 455kJ/kg이고, 증발기 출구 측 냉매온도가 –10℃의 과열증기일 경우 증발기에서 냉매가 취득한 열량(kJ/kg)은? 24 냉동능력이 1 RT인 냉동장치가 1kW의 압축동력을 필요로 할 때, 응축기에서의 방열량(kW)은?
25 냉동사이클에서 응축온도 상승에 따른 시스템의 영향으로 가장 거리가 먼 것은? (단, 증발온도는 일정하다.) 26 어떤 냉장고의 방열적 면적이 500m2, 열통과열이 0.311 W/m2·℃일 때, 이 벽을 통하여 냉장고 내로 침입하는 열량(kW)은? (단, 이 때의 외기온도는 32℃이며, 냉장고 내부온도는 –15℃ 이다.) 27 2차유체로 사용되는 브라인의 구비 조건으로 틀린 것은? 28 냉매 배관 내에 플래시 가스(flash gas)가 발생했을 때 나타나는 현상으로 틀린 것은? 29 단면이 1m2인 단열재를 통하여 0.3kW의 열이 흐르고 있다. 이 단열재의 두께는 2.5cm 이고 열전도계수가 0.2 W/m·℃일 때 양면 사이의 온도차(℃)는? 30 여러 대의 증발기를 사용할 경우 증발관 내의 압력이 가장 높은 증발기의 출구에 설치하여 압력을 일정 값 이하로 억제하는 장치를 무엇이라고 하는가? 31 다음 그림은 2단 압축 암모니아 사이클을 나타낸 것이다. 냉동능력이 2RT인 경우 저단압축기의 냉매순환량(kg/h)은? (단, 1RT는 3.8kW이다.) 32 다음 팽창밸브 중 인버터 구동 가변 용량형 공기조화장치나 증발온도가 낮은 냉동장치에서 팽창밸브의 냉매유량 조절 특성 향상과 유량제어 범위 확대 등을 목적으로 사용하는 것은? 33 식품의 평균 초온이 0℃일 때 이것을 동결하여 온도중심점을 –15℃까지 내리는 데 걸리는 시간을 나타내는 것은? 34 냉동장치를 운전할 때 다음 중 가장 먼저 실시하여야 하는 것은? 35 다음 중 냉매를 사용하지 않는 냉동장치는? 36 축 동력 10kW, 냉매순환량 33kg/min인 냉동기에서 증발기 입구 엔탈피가 406kJ/kg, 증발기 출구 엔탈피가 615kJ/kg, 응축기 입구 엔탈피가 632kJ/kg 이다. ㉠실제 성능계수와 ㉡이론 성능계수는 각각 얼마인가?
37 암모니아용 압축기의 실린더에 있는 워터재킷의 주된 설치 목적은? 38 스크류 압축기의 특징에 대한 설명으로 틀린 것은? 39 고온부의 절대온도를 T1, 저온부의 절대온도를 T2, 고온부로 방출하는 열량을 Q1, 저온부로부터 흡수하는 열량을 Q2라고 할 때, 이 냉동기의 이론 성적계수(COP)를 구하는 식은? 40 2단 압축 냉동 장치 내 중간 냉각기 설치에 대한 설명으로 옳은 것은? 41 난방부하 계산 시 일반적으로 무시할 수 있는 부하의 종류가 아닌 것은? 42 습공기의 상태변화를 나타내는 방법 중 하나인 열수분비의 정의로 옳은 것은? 43 온수관의 온도가 80℃, 환수관의 온도가 60℃인 자연순환식 온수난방장치에서의 자연순환수두(mmAq)는? (단, 보일러에서 방열기까지의 높이는 5m, 60℃에서의 온수 밀도는 983.24 kg/m3, 80℃에서의 온수 밀도는 971.84kg/m3 이다.) 44 온수난방 배관방식에서 단관식과 비교한 복관식에 대한 설명으로 틀린 것은? 45 극간풍이 비교적 많고 재실 인원이 적은 실의 중앙 공조방식으로 가장 경제적인 방식은? 46 덕트 설계시 주의사항으로 틀린 것은? 47 공장에 12kW의 전동기로 구동되는 기계 장치 25대를 설치하려고 한다. 전동기는 실내에 설치하고 기계 장치는 실외에 설치한다면 실내로 취득되는 열량(kW)은? (단, 전동기의 부하율은 0.78, 가동율은 0.9, 전동기 효율은 0.87 이다.)(오류 신고가 접수된 문제입니다. 반드시 정답과 해설을 확인하시기 바랍니다.) 48 공기세정기에서 순환수 분무에 대한 설명으로 틀린 것은? (단, 출구 수온은 입구 공기의 습구온도와 같다.)
App Store Google Play
오늘학습 예시 이미지

시험에 합격하려면
복습을 제대로 해야 합니다.

오늘학습은 스스로 기억을 떠올리고 계획적으로 복습할 수 있도록 설계돼 있어요.
그것도, 가장 과학적인 방식으로요!

능동적 회상

능동적 회상
(Active Recall)

배운 내용을 단순 읽으며 반복하는 것이 아니라,
능동적으로 기억하고 있는지를
스스로 테스트하며
공부할 수 있는
학습 환경을 제공해 학습 효과를 높여요

간격 반복 학습

간격 반복 학습
(Spaced Repetition)

에빙하우스 망각곡선을 바탕으로
가장 최적의 시점에 복습을 제공하여
배운 내용이 잊히지 않도록 장기 기억화해요

Data 기반의
뇌과학적 복습 시스템

학습 결과 Data를 분석해, 문제별 최적화된
반복 학습량을
자동으로 분배해요.
학습에 소요되는 시간을 최소화하는
동시에
단기 기억을 장기 기억으로 전환해줘요.

36만 개 이상의
기출문제 무료 제공

공무원 및 약 300여종의 자격증 시험 기출문제
36만개
이상을 무료로 이용할 수 있어요.
여러 앱을 설치할 필요
없이, 오늘학습 하나로
모든 시험을 준비할 수 있어요.

다양한 문제 유형으로 만드는
나만의 단어장&문제집

기출 외에도 외워야 하는 내용은
객관식, 주관식, 카드, 빈칸
등 다양한 형식으로
직접 만들어 보세요. 내 학습 스타일에
맞게
나만의 단어장과 문제집을 만들 수 있어요.

시험별 체계적인
문제 관리

시험에 문제를 추가해 체계적으로
관리할 수 있어요.
주제나 단원별로
분류하고 싶다면,
시험에 챕터를 만들어
문제를 추가할 수도 있어요.

수십만 명이
오늘학습을 사랑합니다

앱 스토어 평점 4.9
구글 플레이 평점 4.8
누적 회원수 100,000+
지금 오늘학습을
시작해보세요
지금 시작하기
문제 선택