정상 편차를 개선하고 응답속도를 빠르게 하며 오버슈트를 감소시키는 동작은?
지금 시작하기 →

・・・ 문제은행 공조냉동기계기사(구)(2019년 1회) 79번

공조냉동기계기사(구) 2019년 03월 79번

정상 편차를 개선하고 응답속도를 빠르게 하며 오버슈트를 감소시키는 동작은?

1
K
2
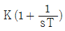
K(1+sT)
3
4
단축키
이전 문제로 이동은 키를 누르고, 다음 문제로 이동은 키를 누르세요
이전 문제 , 다음 문제
문제(100)
1 다음 중 강도성 상태량(Intensive property)이 아닌 것은? 2 다음 중 기체상수(gas constant, R[kJ/(kg·K)])값이 가장 큰 기체는? 3 실린더에 밀폐된 8kg의 공기가 그림과 같이 P1 = 800 kPa, 체적 V1 = 0.27 m3에서 P2 = 350 kPa, 체적 V2 = 0.80 m3으로 직선 변화하였다. 이 과정에서 공기가 한 일은 약 몇 kJ 인가? 4 이상기체에 대한 다음 관계식 중 잘못된 것은? (단, Cv는 정적비열, Cp는 정압비열, u는 내부에너지, T는 온도, V는 부피, h는 엔탈피, R은 기체상수, k는 비열비이다.) 5 이상기체 1kg이 초기에 압력 2 kPa, 부피 0.1 m3를 차지하고 있다. 가역등온과정에 따라 부피가 0.3 m3로 변화했을 때 기체가 한 일은 약 몇 J인가? 6 시간당 380000 kg의 물을 공급하여 수증기를 생산하는 보일러가 있다. 이 보일러에 공급하는 물의 엔탈피는 830 kJ/kg이고, 생산되는 수증기의 엔탈피는 3230 kJ/kg이라고 할 때, 발열량이 32000 kJ/kg인 석탄을 시간당 34000 kg씩 보일러에 공급한다면 이 보일러의 효율은 약 몇 %인가? 7 600 kPa, 300 K 상태의 이상기체 1 kmol이 엔탈피가 등온과정을 거쳐 압력이 200 kPa로 변했다. 이 과정동안의 엔트로피 변화량은 약 몇 kJ/K 인가? (단, 일반기체상수( )은 8.31451 kJ/(kmol·K) 이다.) 8 계의 엔트로피 변화에 대한 열역학적 관계식 중 옳은 것은? (단, T는 온도, S는 엔트로피, U는 내부에너지, V는 체적, P는 압력, H는 엔탈피를 나타낸다.) 9 그림과 같은 단열된 용기 안에 25℃의 물이 0.8m3 들어있다. 이 용기 안에 100℃, 50kg의 쇳덩어리를 넣은 후 열적 평형이 이루어 졌을 때 최종 온도는 약 몇 ℃ 인가? (단, 물의 비열은 4.18 kJ/(kg·K), 철의 비열은 0.45 kJ/(kg·K) 이다.) 10 이상적인 오토사이클에서 열효율을 55%로 하려면 압축비를 약 얼마로 하면 되겠는가? (단, 기체의 비열비는 1.4 이다.) 11 터빈, 압축기, 노즐과 같은 정상 유동장치의 해석에 유용한 몰리에(Mollier) 선도를 옳게 설명한 것은? 12 압력 2 MPa, 300℃의 공기 0.3kg이 폴리트로픽 과정으로 팽창하여, 압력이 0.5 MPa로 변화하였다. 이때 공기가 한 일은 약 몇 kJ인가? (단, 공기는 기체상수가 0.287 kJ/(kg·K)인 이상기체이고, 폴리트로픽 지수는 1.3 이다.)
13 어떤 기체 동력장치가 이상적인 브레이턴 사이클로 다음과 같이 작동할 때 이 사이클의 열효율은 약 몇 % 인가? (단, 온도(T) - 엔트로피(s) 선도에서 T1 = 30℃, T2 = 200℃, T3 = 1060℃, T4 = 160℃ 이다.) 14 체적이 일정하고 단열된 용기 내에 80℃, 320 kPa의 헬륨 2kg이 들어 있다. 용기 내에 있는 회전날개가 20W 의 동력으로 30분 동안 회전한다고 할 때 용기 내의 최종 온도는 약 몇 ℃ 인가? (단, 헬륨의 정적비열은 3.12 kJ/(kg·K) 이다.) 15 유리창을 통해 실내에서 실외로 열전달이 일어난다. 이때 열전달량은 약 몇 W 인가? (단, 대류열전달계수는 50W(m2·K), 유리창 표면온도는 25℃, 외기온도는 10℃, 유리창면적은 2m2 이다.) 16 열역학 제2법칙에 관해서는 여러 가지 표현으로 나타낼 수 있는데, 다음 중 열역학 제2법칙과 관계되는 설명으로 볼 수 없는 것은? 17 그림과 같은 Rankine 사이클로 작동하는 터빈에서 발생하는 일은 약 몇 kJ/kg 인가? (단, h는 엔탈피, s는 엔트로피를 나타내며, h1 = 191.8 kJ/kg, h2 = 193.8 kJ/kg, h3 = 2799.5 kJ/kg, h4 = 2007.5 kJ/kg 이다.) 18 어느 내연기관에서 피스톤의 흡기과정으로 실린더 속에 0.2 kg의 기체가 들어 왔다. 이것을 압축할 때 15 kJ의 일이 필요하였고, 10 kJ의 열을 방출하였다고 한다면, 이 기체 1 kg당 내부에너지의 증가량은? 19 공기 1kg이 압력 50kPa, 부피 3m3인 상태에서 압력 900kPa, 부피 0.5m3인 상태로 변화할 때 내부 에너지가 160kJ 증가하였다. 이 때 엔탈피는 약 몇 kJ이 증가하였는가? 20 밀폐계가 가역정압 변화를 할 때 계가 받은 열량은? 21 단위에 대한 설명으로 틀린 것은? 22 대기압에서 암모니아액 1kg을 증발시킨 열량은 0℃ 얼음 몇 kg을 융해시킨 것과 유사한가? 23 제빙능력은 원료수 온도 및 브라인 온도 등 조건에 따라 다르다. 다음 중 제빙에 필요한 냉동능력을 구하는데 필요한 항목으로 가장 거리가 먼 것은? 24 염화나트륨 브라인을 사용한 식품냉장용 냉동장치에서 브라인의 순환량이 220L/min이며, 냉각관 입구의 브라인 온도가 –5℃, 출구의 브라인온도가 –9℃라면 이 브라인 쿨러의 냉동능력(kcal/h)은? (단, 브라인의 비열은 0.75 kcal/kg·℃, 비중은 1.15 이다.)
25 암모니아와 프레온 냉매의 비교 설명으로 틀린 것은? (단, 동일 조건을 기준으로 한다.) 26 25℃ 원수 1ton을 1일 동안에 –9℃의 얼음으로 만드는데 필요한 냉동능력(RT)은? (단, 열손실은 없으며, 동결잠열 80 kcal/kg, 원수 비열 1 kcal/kg·℃, 얼음의 비열 0.5 kcal/kg·℃이며, 1RT는 3320 kcal/h로 한다.) 27 전열면적이 20m2인 수냉식 응축기의 용량이 200 kW이다. 냉각수의 유량은 5kg/s 이고, 응축기 입구에서 냉각수 온도는 20℃ 이다. 열관류율이 800 W/m2·K 일 때, 응축기 내부 냉매의 온도(℃)는 얼마인가? (단, 온도차는 산술평균온도차를 이용하고, 물의 비열은 4.18 kJ/kg·K이며, 응축기 내부 냉매의 온도는 일정하다고 가정한다.) 28 다음 중 증발기 출구와 압축기 흡입관 사이에 설치하는 저압측 부속장치는? 29 다음 중 불응축 가스를 제거하는 가스퍼저(gas purger)의 설치 위치로 가장 적당한 것은? 30 냉동장치에서 흡입압력 조정밸브는 어떤 경우를 방지하기 위해 설치하는가? 31 다음 응축기 중 동일조건하에 열관류율이 가장 낮은 응축기는 무엇인가? 32 압축기 토출압력 상승 원인이 아닌 것은? 33 다음의 냉매 중 지구온난화지수(GWP)가 가장 낮은 것은? 34 축열시스템 방식에 대한 설명으로 틀린 것은? 35 냉동장치의 냉동부하가 3냉동톤이며, 압축기의 소요동력이 20kW일 때 응축기에 사용되는 냉각수량(L/h)은? (단, 냉각수 입구온도는 15℃이고, 출구온도는 25℃ 이다.) 36 냉동기에서 동일한 냉동효과를 구현하기 위해 압축기가 작동하고 있다. 이 압축기의 클리어런스(극간)가 커질 때 나타나는 현상으로 틀린 것은?
49 덕트의 소음 방지대책에 해당 되지 않는 것은? 50 건물의 콘크리트 벽체의 실내측에 단열재를 부착하여 실내측 표면에 결로가 생기지 않도록 하려 한다. 외기온도가 0℃, 실내온도가 20℃, 실내공기의 노점온도가 12℃, 콘크리트 두께가 100mm일 때, 결로를 막기 위한 단열재의 최소 두께(mm)는? (단, 콘크리트와 단열재의 접촉부분의 열저항은 무시한다.) 51 이중덕트방식에 설치하는 혼합상자의 구비조건으로 틀린 것은? 52 저온공조방식에 관한 내용으로 가장 거리가 먼 것은? 53 외기의 건구온도 32℃와 환기의 건구온도 24℃인 공기를 1 : 3(외기 : 환기)의 비율로 혼합하였다. 이 혼합공기의 온도는? 54 취출구에서 수평으로 취출된 공기가 일정 거리만큼 진행된 뒤 기류 중심선과 취출구 중심과의 수직거리를 무엇이라고 하는가? 55 공조기 내에 엘리미네이터를 설치하는 이유로 가장 적절한 것은? 56 공기조화방식에서 변풍량 단일덕트 방식의 특징에 대한 설명으로 틀린 것은? 57 송풍 덕트 내의 정압제어가 필요 없고, 발생 소음이 적은 변풍량 유닛은? 58 다음 중 보온, 보냉, 방로의 목적으로 덕트 전체를 단열해야 하는 것은? 59 부하계산 시 고려되는 지중온도에 대한 설명으로 틀린 것은? 60 보일러의 부속장치인 과열기가 하는 역할은?
App Store Google Play
오늘학습 예시 이미지

시험에 합격하려면
복습을 제대로 해야 합니다.

오늘학습은 스스로 기억을 떠올리고 계획적으로 복습할 수 있도록 설계돼 있어요.
그것도, 가장 과학적인 방식으로요!

능동적 회상

능동적 회상
(Active Recall)

배운 내용을 단순 읽으며 반복하는 것이 아니라,
능동적으로 기억하고 있는지를
스스로 테스트하며
공부할 수 있는
학습 환경을 제공해 학습 효과를 높여요

간격 반복 학습

간격 반복 학습
(Spaced Repetition)

에빙하우스 망각곡선을 바탕으로
가장 최적의 시점에 복습을 제공하여
배운 내용이 잊히지 않도록 장기 기억화해요

Data 기반의
뇌과학적 복습 시스템

학습 결과 Data를 분석해, 문제별 최적화된
반복 학습량을
자동으로 분배해요.
학습에 소요되는 시간을 최소화하는
동시에
단기 기억을 장기 기억으로 전환해줘요.

36만 개 이상의
기출문제 무료 제공

공무원 및 약 300여종의 자격증 시험 기출문제
36만개
이상을 무료로 이용할 수 있어요.
여러 앱을 설치할 필요
없이, 오늘학습 하나로
모든 시험을 준비할 수 있어요.

다양한 문제 유형으로 만드는
나만의 단어장&문제집

기출 외에도 외워야 하는 내용은
객관식, 주관식, 카드, 빈칸
등 다양한 형식으로
직접 만들어 보세요. 내 학습 스타일에
맞게
나만의 단어장과 문제집을 만들 수 있어요.

시험별 체계적인
문제 관리

시험에 문제를 추가해 체계적으로
관리할 수 있어요.
주제나 단원별로
분류하고 싶다면,
시험에 챕터를 만들어
문제를 추가할 수도 있어요.

수십만 명이
오늘학습을 사랑합니다

앱 스토어 평점 4.9
구글 플레이 평점 4.8
누적 회원수 100,000+
지금 오늘학습을
시작해보세요
지금 시작하기
문제 선택