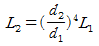
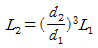
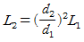
동일한 덕트 장치에서 송풍기의 날개의 직경이 d1, 전동기 동력이 L1인 송풍기를 직경 d2로 교환했을 때 동력의 변화로 옳은 것은? (단, 회전수는 일정하다.)
지금 시작하기 →

・・・ 문제은행 공조냉동기계기사(구)(2020년 2회) 47번

공조냉동기계기사(구) 2020년 08월 47번

동일한 덕트 장치에서 송풍기의 날개의 직경이 d1, 전동기 동력이 L1인 송풍기를 직경 d2로 교환했을 때 동력의 변화로 옳은 것은? (단, 회전수는 일정하다.)

1
2
3
4
단축키
이전 문제로 이동은 키를 누르고, 다음 문제로 이동은 키를 누르세요
이전 문제 , 다음 문제
문제(100)
1 어떤 습증기의 엔트로피가 6.78kJ/(kg·K)라고 할 때 이 습증기의 엔탈피는 약 몇 kJ/kg인가? (단, 이 기체의 포화액 및 포화증기의 엔탈피와 엔트로피는 다음과 같다.) 2 압력(P)-부피(V) 선도에서 이상기체가 그림과 같은 사이클로 작동한다고 할 때 한 사이클 동안 행한 일은 어떻게 나타내는가? 3 다음 중 스테판-볼츠만의 법칙과 관련이 있는 열전달은? 4 이상기체 2kg이 압력 98kPa, 온도 25℃상태에서 체적이 0.5m3였다면 이 이상기체의 기체상수는 약 몇 J/(kg·K)인가? 5 냉매가 갖추어야 할 요건으로 틀린 것은? 6 어떤 유체의 밀도가 741kg/m3이다. 이 유체의 비체적은 약 몇 m3/kg인가? 7 이상적인 랭킨사이클에서 터빈 입구 온도가 350℃이고, 75kPa과 3MPa의 압력범위에서 작동한다. 펌프 입구와 출구, 터빈 입구와 출구에서 엔탈피는 각각 384.4kJ/kg, 387.5kJ/kg, 3116kJ/kg, 2403kJ/kg이다. 펌프일을 고려한 사이클의 열효율과 펌프일을 무시한 사이클의 열효율 차이는 약 몇 %인가? 8 전류 25A, 전압 13V를 가하여 축전지를 충전하고 있다. 충전하는 동안 축전지로부터 15W의 열손실이 있다. 축전지의 내부에너지 변화율은 약 몇 W인가? 9 고온열원(T1)과 저온열원(T2)사이에서 작동하는 역카르노 사이클에 의한 열펌프(heat pump)의 성능계수는? 10 압력이 0.2MPa, 온도가 20℃의 공기를 압력이 2MPa로 될 때까지 가역단열 압축했을 때 온도는 약 몇 ℃인가? (단, 공기는 비열비가 1.4인 이상기체로 간주한다.) 11 어떤 물질에서 기체상수(R)가 0.189kJ/(kg·K), 임계온도가 305K, 임계압력이 7380kPa이다. 이 기체의 압축성 인자(compressibility factor, Z)가 다음과 같은 관계식을 나타낸다고 할 때 이 물질의 20℃, 1000kPa 상태에서의 비체적(v)은 약 몇 m3/kg인가? (단, P는 압력, T는 절대온도, Pr은 환산압력, Tr은 환산온도를 나타낸다.) 12 단열된 노즐에 유체가 10m/s의 속도로 들어와서 200m/s의 속도로 가속되어 나간다. 출구에서의 엔탈피가 2770kJ/kg일 때 입구에서의 엔탈피는 약 몇 kJ/kg인가?
13 100℃의 구리 10kg을 20℃의 물 2kg이 들어있는 단열 용기에 넣었다. 물과 구리 사이의 열전달을 통한 평형 온도는 약 몇 ℃인가? (단, 구리 비열은 0.45kJ/(kg·K), 물 비열은 4.2kJ/(kg·K)이다.) 14 이상적인 교축과정(throttling process)을 해석하는데 있어서 다음 설명 중 옳지 않은 것은? 15 이상기체로 작동하는 어떤 기관의 압축비가 17이다. 압축 전의 압력 및 온도는 112kPa, 25℃이고 압축 후의 압력은 4350kPa이었다. 압축 후의 온도는 약 몇 ℃인가? 16 다음은 오토(Otto) 사이클의 온도-엔트로피(T-S)선도이다. 이 사이클의 열효율을 온도를 이용하여 나타낼 때 옳은 것은? (단, 공기의 비열은 일정한 것으로 본다.) 17 클라우지우스(Clausius)의 부등식을 옳게 나타낸 것은? (단, T는 절대온도, Q는 시스템으로 공급된 전체 열량을 나타낸다.) 18 다음 중 강도성 상태량(intensive property)이 아닌 것은? 19 기체가 0.3MPa로 일정한 압력 하에 8m3에서 4m3까지 마찰 없이 압축되면서 동시에 500kJ의 열을 외부로 방출하였다면, 내부에너지의 변화는 약 몇 kJ인가? 20 카르노사이클로 작동하는 열기관이 1000℃의 열원과 300K의 대기 사이에서 작동한다. 이 열기관이 사이클 당 100kJ의 일을 할 경우 사이클 당 1000℃의 열원으로부터 받은 열량은 약 몇 kJ인가? 21 냉동능력이 15RT인 냉동장치가 있다. 흡입증기 포화온도가 –10℃이며, 건조포화증기 흡입압축으로 운전된다. 이 때 응축온도가 45℃이라면 이 냉동장치의 응축부하(kW)는 얼마인가? (단, 1RT는 3.8kW이다.) 22 다음 중 터보압축기의 용량(능력)제어 방법이 아닌 것은? 23 냉매의 구비조건으로 옳은 것은? 24 증기 압축식 열펌프에 관한 설명으로 틀린 것은?
25 프레온 냉동장치의 배관공사 중에 수분이 장치내에 잔류했을 경우 이 수분에 의한 장치에 나타나는 현상으로 틀린 것은? 26 0℃와 100℃ 사이에서 작용하는 카르노 사이클 기관(㉮)과 400℃와 500℃사이에서 작용하는 카르노 사이클 기관(㉯)이 있다. ㉮기관 열효율은 ㉯기관 열효율의 약 몇 배가 되는가? 27 팽창밸브 중 과열도를 검출하여 냉매유량을 제어하는 것은? 28 다음 중 가연성이 있어 조건이 나쁘면 인화, 폭발위험이 가장 큰 냉매는? 29 흡수식 냉동사이클 선도에 대한 설명으로 틀린 것은? 30 저온용 단열재의 조건으로 틀린 것은? 31 다음 안전장치에 대한 설명으로 틀린 것은? 32 흡수식 냉동기의 특징에 대한 설명으로 틀린 것은? 33 다음의 p-h선도상에서 냉동능력이 1냉동톤인 소형 냉장고의 실제 소요동력(kW)은? (단, 1냉동톤은 3.8kW이며, 압축효율은 0.75, 기계효율은 0.9이다.) 34 냉동장치의 윤활 목적으로 틀린 것은? 35 2단압축 1단팽창 냉동장치에서 고단 압축기의 냉매 순환량을 G2, 저단 압축기의 냉매 순환량을 G1이라고 할 때 G2/G1은 얼마인가? 36 공기열원 수가열 열펌프 장치를 가열운전(시운전)할 때 압축기 토출밸브 부근에서 토출가스 온도를 측정하였더니 일반적인 온도보다 지나치게 높게 나타났다. 이러한 현상의 원인으로 가장 거리가 먼 것은?
37 두께 30cm의 벽돌로 된 벽이 있다. 내면온도 21℃, 외면온도가 35℃일 때 이 벽을 통해 흐르는 열량(W/m2)은? (단, 벽돌의 열전도율은 0.793W/m·K이다.) 38 온도식 팽창밸브는 어떤 요인에 의해 작동되는가? 39 프레온 냉매를 사용하는 냉동장치에 공기가 침입하면 어떤 현상이 일어나는가? 40 냉동부하가 25RT인 브라인 쿨러가 있다. 열전달 계수가 1.53kW/m2·K이고, 브라인 입구온도가 –5℃, 출구온도가 –10℃, 냉매의 증발온도가 –15℃일 때 전열면적(m2)은 얼마인가? (단, 1RT는 3.8kW이고, 산술평균 온도차를 이용한다.) 41 인체의 발열에 관한 설명으로 틀린 것은? 42 냉방시 실내부하에 속하지 않는 것은? 43 송풍기의 크기는 송풍기의 번호(No,#)로 나타내는데, 원심송풍기의 송풍기 번호를 구하는 식으로 옳은 것은? 44 아래 습공기 선도에 나타낸 과정과 일치하는 장치도는? 45 인위적으로 실내 또는 일정한 공간의 공기를 사용 목적에 적합하도록 공기조화 하는데 있어서 고려하지 않아도 되는 것은? 46 크기 1000×500mm의 직관 덕트에 35℃의 온풍 18000m3/h이 흐르고 있다. 이 덕트가 –10℃의 실외 부분을 지날 때 길이 20m당 덕트표면으로부터의 열손실(kW)은? (단, 덕트는 암면 25mm로 보온되어 있고, 이 때 1000m당 온도 차 1℃에 대한 온도 강하는 0.9℃이다. 공기의 밀도는 1.2kg/m3, 정압비열은 1.01kJ/kg·K이다.) 47 동일한 덕트 장치에서 송풍기의 날개의 직경이 d1, 전동기 동력이 L1인 송풍기를 직경 d2로 교환했을 때 동력의 변화로 옳은 것은? (단, 회전수는 일정하다.) 48 다음의 취출과 관련한 용어 설명으로 틀린 것은?
App Store Google Play
오늘학습 예시 이미지

시험에 합격하려면
복습을 제대로 해야 합니다.

오늘학습은 스스로 기억을 떠올리고 계획적으로 복습할 수 있도록 설계돼 있어요.
그것도, 가장 과학적인 방식으로요!

능동적 회상

능동적 회상
(Active Recall)

배운 내용을 단순 읽으며 반복하는 것이 아니라,
능동적으로 기억하고 있는지를
스스로 테스트하며
공부할 수 있는
학습 환경을 제공해 학습 효과를 높여요

간격 반복 학습

간격 반복 학습
(Spaced Repetition)

에빙하우스 망각곡선을 바탕으로
가장 최적의 시점에 복습을 제공하여
배운 내용이 잊히지 않도록 장기 기억화해요

Data 기반의
뇌과학적 복습 시스템

학습 결과 Data를 분석해, 문제별 최적화된
반복 학습량을
자동으로 분배해요.
학습에 소요되는 시간을 최소화하는
동시에
단기 기억을 장기 기억으로 전환해줘요.

36만 개 이상의
기출문제 무료 제공

공무원 및 약 300여종의 자격증 시험 기출문제
36만개
이상을 무료로 이용할 수 있어요.
여러 앱을 설치할 필요
없이, 오늘학습 하나로
모든 시험을 준비할 수 있어요.

다양한 문제 유형으로 만드는
나만의 단어장&문제집

기출 외에도 외워야 하는 내용은
객관식, 주관식, 카드, 빈칸
등 다양한 형식으로
직접 만들어 보세요. 내 학습 스타일에
맞게
나만의 단어장과 문제집을 만들 수 있어요.

시험별 체계적인
문제 관리

시험에 문제를 추가해 체계적으로
관리할 수 있어요.
주제나 단원별로
분류하고 싶다면,
시험에 챕터를 만들어
문제를 추가할 수도 있어요.

수십만 명이
오늘학습을 사랑합니다

앱 스토어 평점 4.9
구글 플레이 평점 4.8
누적 회원수 100,000+
지금 오늘학습을
시작해보세요
지금 시작하기
문제 선택