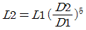
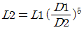
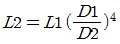
송풍기의 법칙에 따라 송풍기 날개 직경이 D1일 때, 소요동력이 L1인 송풍기를 직경 D2로 크게 했을 때 소요동력 L2를 구하는 공식으로 옳은 것은? (단, 회전속도는 일정하다.)
지금 시작하기 →

・・・ 문제은행 공조냉동기계기사(구)(2020년 1회) 60번

공조냉동기계기사(구) 2020년 06월 60번

송풍기의 법칙에 따라 송풍기 날개 직경이 D1일 때, 소요동력이 L1인 송풍기를 직경 D2로 크게 했을 때 소요동력 L2를 구하는 공식으로 옳은 것은? (단, 회전속도는 일정하다.)

1
2
3
4
단축키
이전 문제로 이동은 키를 누르고, 다음 문제로 이동은 키를 누르세요
이전 문제 , 다음 문제
문제(100)
1 다음 중 가장 큰 에너지는? 2 실린더 내의 공기가 100kPa, 20℃ 상태에서 300kPa이 될 때까지가역단열 과정으로 압축된다. 이 과정에서 실린더 내의 계에서 엔트로피의 변화(kJ/(kgㆍK))는? (단, 공기의 비열비(k)는 1.4이다.) 3 용기 안에 있는 유체의 초기 내부에너지는 700kJ이다. 냉각과정 동안 250kJ의 열을 잃고, 용기내에 설치된 회전날개로 유체에 100kJ의 일을 한다. 최종상태의 유체의 내부에너지(kJ)는 얼마인가? 4 열역학적 관점에서 다음 장치들에 대한 설명으로 옳은 것은? 5 랭킨사이클에서 보일러 입구 엔탈피 192.5kJ/kg, 터빈 입구 엔탈피 3002.5kJ/kg, 응축기 입구 엔탈피 2361.8kJ/kg 일 때 열효율(%)은? (단, 펌프의 동력은 무시한다.) 6 준평형 정적과정을 거치는 시스템에 대한 열전달량은? (단, 운동에너지와 위치에너지의 변화는 무시한다.) 7 초기 압력 100kPa, 초기 체적 0.1m3인 기체를 버너로 가열하여 기체 체적이 정압과정으로 0.5m3이 되었다면 이 과정 동안 시스템이 외부에 한 일(kJ)은? 8 열역학 제 2법칙에 대한 설명으로 틀린 것은? 9 공기 10kg이 압력 200kPa, 체적 5m3인 상태에서 압력 400kPa, 온도 300℃인 상태로 변한 경우 최종 체적(m3)은 얼마인가? (단, 공기의 기체상수는 0.287kJ/kgㆍK이다.) 10 그림과 같은 공기표준 브레이튼(Brayton) 사이클에서 작동유체 1kg당 터빈 일(kJ/kg)은? (단, T1=300K, T2=475.1K, T3=1100K, T4=694.5K이고, 공기의 정압비열과 정적비열은 각각 1.0035kJ/(kgㆍK), 0.7165kJ/(kgㆍK)이다.) 11 보일러에 온도 40℃, 엔탈피 167kJ/kg인 물이 공급되어 온도 350℃, 엔탈피 3115kJ/kg인 수증기가 발생한다. 입구와 출구에서의 유속은 각각 5m/s, 50m/s이고, 공급되는 물의 양이 2000kg/h일 때, 보일러에 공급해야 할 열량(kW)은? (단, 위치에너지 변화는 무시한다.) 12 피스톤-실린더 장치에 들어있는 100kPa, 27℃의 공기가 600kPa까지 가역단열과정으로 압축된다. 비열비가 1.4로 일정하다면 이 과정 동안에 공기가 받은 일(kJ/kg)은? (단, 공기의 기체상수는 0.287kJ/(kgㆍK)이다.)
13 이상기체 1kg을 300K, 100kPa에서 500K까지 “PVn=일정”의 과정(n=1.2)을 따라 변화시켰다. 이 기체의 엔트로피 변화량(kJ/K)은? (단, 기체의 비열비는 1.3, 기체상수는 0.287kJ/(kgㆍK)이다.) 14 300L 체적의 진공인 탱크가 25℃, 6MPa의 공기를 공급하는 관에 연결된다. 밸브를 열어 탱크 안의 공기 압력이 5MPa이 될 때까지 공기를 채우고 밸브를 닫았다. 이 과정이 단열이고 운동에너지와 위치에너지의 변화를 무시한다면 탱크 안의 공기의 온도(℃)는 얼마가 되는가? (단, 공기의 비열비는 1.4이다.) 15 1kW의 전기히터를 이용하여 101kPa, 15℃의 공기로 차 있는 100m3의 공간을 난방하려고 한다. 이 공간은 견고하고 밀폐되어 있으며 단열되어 있다. 히터를 10분 동안 작동시킨 경우, 이 공간의 최종온도(℃)는? (단, 공기의 정적비열은 0.718kJ/kgㆍK이고, 기체상수는 0.287kJ/kgㆍK이다.) 16 다음은 시스템(계)과 경계에 대한 설명이다. 옳은 내용을 모두 고른 것은? 17 단열된 가스터빈의 입구 측에서 압력 2MPa, 온도 1200K인 가스가 유입되어 출구 측에서 압력 100kPa, 온도 600K로 유출된다. 5MW의 출력을 얻기 위해 가스의 질량유량(kg/s은 얼마이어야 하는가? (단, 터빈의 효율은 100%이고, 가스의 정압비열은 1.12kJ/(kgㆍK)이다.) 18 펌프를 사용하여 150kPa, 26℃의 물을 가역단열과정으로 650kPa까지 변화시킨 경우 펌프의 일(kJ/kg)은? (단, 26℃의 포화액의 비체적은 0.001m3/kg이다.) 19 압력 1000kPa, 온도 300℃ 상태의 수증기(엔탈피 3051.15 kJ/kg, 엔트로피 7.1228kJ/kgㆍK)가 증기터빈으로 들어가서 100kPa 상태로 나온다. 터빈의 출력 일이 370kJ/kg 일 때 터빈의 효율(%)은? 20 이상적인 냉동사이클에서 응축기 온도가 30℃, 증발기 온도가 -10℃일 때 성적 계수는? 21 스크류 압축기의 운전 중 로터에 오일을 분사 시켜주는 목적으로 가장 거리가 먼 것은? 22 그림은 냉동사이클을 압력-엔탈피선도에 나타낸 것이다. 이 그림에 대한 설명으로 옳은 것은? 23 최근 에너지를 효율적으로 사용하자는 측면에서 빙축열시스템이 보급되고 있다. 빙축열시스템의 분류에 대한 조합으로 적절하지 않은 것은? 24 냉동장치의 운전에 관한 설명으로 옳은 것은?
37 2단 압축 1단 팽창식과 2단 압축 2단 팽창식의 비교 설명으로 옳은 것은? (단, 동일운전 조건으로 가정한다.) 38 운전 중인 냉동장치의 저압측 진공게이지가 50cmHg을 나타내고 있다. 이때의 진공도는? 39 안전밸브의 시험방법에서 약간의 기포가 발생할 때의 압력을 무엇이라고 하는가? 40 응축압력의 이상 고압에 대한 원인으로 가장 거리가 먼 것은? 41 단일덕트 방식에 대한 설명으로 틀린 것은? 42 내벽 열전달율 4.7W/m2ㆍK, 외벽 열전달율 5.8W/m2ㆍK, 열전도율 2.9W/mㆍ℃, 벽두께 25cm, 외기온도 -10℃, 실내온도 20℃일 때 열관류율(W/m2ㆍK)은? 43 변풍량 유닛의 종류별 특징에 대한 설명으로 틀린 것은? 44 냉방부하의 종류에 따라 연관되는 열의 종류로 틀린 것은? 45 습공기의 습도에 대한 설명으로 틀린 것은? 46 공기의 온도에 따른 밀도 특성을 이용한 방식으로 실내보다 낮은 온도의 신선공기를 해당구역에 공급함으로써 오염물질을 대류효과에 의해 실내 상부에 설치된 배기구를 통해 배출시켜 환기 목적을 달성하는 방식은? 47 아래 그림에 나타낸 장치를 표의 조건으로 냉방운전을 할 때 A실에 필요한 송풍량(m3/h)은? (단, A실의 냉방부하는 현열부하 8.8kW, 잠열부하 2.8kW이고, 공기의 정압비열은 1.01kJ/kgㆍK, 밀도는 1.2kg/m3이며, 덕트에서의 열손실은 무시한다.) 48 다음 중 증기난방 장치의 구성으로 가장 거리가 먼 것은?
49 환기에 따른 공기조화부하의 절감 대책으로 틀린 것은? 50 온수난방에 대한 설명으로 틀린 것은? 51 방열기에서 상당방열면적(EDR)은 아래의 식으로 나타낸다. 이 중 Qo는 무엇을 뜻하는가? (단, 사용단위로 Q는 W, Qo는 W/m2이다.) 52 공조기 냉수코일 설계 기준으로 틀린 것은? 53 공기세정기의 구성품인 엘리미네이터의 주된 기능은? 54 다음 중 열수분비(μ)와 현열비(SHF)와의 관계식으로 옳은 것은? (단, qS는 현열량, qL는 잠열량, L은 가습량이다.) 55 대류 및 복사에 의한 열전달률에 의해 기온과 평균복사온도를 가중평균한 값으로 복사난방 공간의 열환경을 평가하기 위한 지표를 나타내는 것은? 56 A, B 두 방의 열손실은 각각 4kW이다. 높이 600mm인 주철제 5세주 방열기를 사용하여 실내온도를 모두 18.5℃로 유지시키고자 한다. A실은 102℃의 증기를 사용하며, B실은 평균 80℃의 온수를 사용할 때 두 방 전체에 필요한 총 방열기의 절수는? (단, 표준방열량을 적용하며, 방열기 1절(節)의 상당 방열 면적은 0.23m2이다.) 57 실내를 항상 급기용 송풍기를 이용하여 정압(+)상태로 유지할 수 있어서 오염된 공기의 침입을 방지하고, 연소용 공기가 필요한 보일러실, 반도체 무균실, 소규모 변절실, 창고 등에 적용하기에 적합한 환기법은? 58 전공기방식에 대한 설명으로 틀린 것은? 59 건구온도 30℃, 습구온도 27℃일 때 불쾌지수(DI)는 얼마인가? 60 송풍기의 법칙에 따라 송풍기 날개 직경이 D1일 때, 소요동력이 L1인 송풍기를 직경 D2로 크게 했을 때 소요동력 L2를 구하는 공식으로 옳은 것은? (단, 회전속도는 일정하다.)
85 강관의 나사이음 시 관을 절단한 후 관 단면의 안쪽에 생기는 거스러미를 제거할 때 사용하는 공구는? 86 옥상탱크에서 오버플로관을 설치하는 가장 적합한 위치는? 87 하트포드(Hart ford) 배관법에 관한 설명으로 틀린 것은? 88 급수급탕설비에서 탱크류에 대한 누수의 유무를 조사하기 위한 시험방법으로 가장 적절한 것은? 89 중앙식 급탕법에 대한 설명으로 틀린 것은? 90 공기조화 설비에서 에어워셔의 플러딩 노즐이 하는 역할은? 91 다음 공조용 배관 중 배관 샤프트 내에서 단열시공을 하지 않는 배관은? 92 급수온도 5℃, 급탕온도 60℃, 가열전 급탕설비의 전수량은 2m3, 급수와 급탕의 압력차는 50kPa일 때, 절대압력 300kPa의 정수두가 걸리는 위치에 설치하는 밀폐식 팽창탱크의 용량(m3)은? (단, 팽창탱크의 초기 봉입 절대압력은 300kPa이고, 5℃일 때 밀도는 1000kg/m3, 60℃일 때 밀도는 983.1kg/m3이다.) 93 배관재료에 대한 설명으로 틀린 것은? 94 다음 중 증기난방용 방열기를 열손실이 가장 많은 창문 쪽의 벽면에 설치할 때 벽면과의 거리로 가장 적절한 것은? 95 저ㆍ중압의 공기 가열기, 열교환기등 다량의 응축수를 처리하는데 사용되며, 작동원리에 따라 다량트랩, 부자형 트랩으로 구분하는 트랩은? 96 냉동장치에서 압축기의 표시방법으로 틀린 것은?
App Store Google Play
오늘학습 예시 이미지

시험에 합격하려면
복습을 제대로 해야 합니다.

오늘학습은 스스로 기억을 떠올리고 계획적으로 복습할 수 있도록 설계돼 있어요.
그것도, 가장 과학적인 방식으로요!

능동적 회상

능동적 회상
(Active Recall)

배운 내용을 단순 읽으며 반복하는 것이 아니라,
능동적으로 기억하고 있는지를
스스로 테스트하며
공부할 수 있는
학습 환경을 제공해 학습 효과를 높여요

간격 반복 학습

간격 반복 학습
(Spaced Repetition)

에빙하우스 망각곡선을 바탕으로
가장 최적의 시점에 복습을 제공하여
배운 내용이 잊히지 않도록 장기 기억화해요

Data 기반의
뇌과학적 복습 시스템

학습 결과 Data를 분석해, 문제별 최적화된
반복 학습량을
자동으로 분배해요.
학습에 소요되는 시간을 최소화하는
동시에
단기 기억을 장기 기억으로 전환해줘요.

36만 개 이상의
기출문제 무료 제공

공무원 및 약 300여종의 자격증 시험 기출문제
36만개
이상을 무료로 이용할 수 있어요.
여러 앱을 설치할 필요
없이, 오늘학습 하나로
모든 시험을 준비할 수 있어요.

다양한 문제 유형으로 만드는
나만의 단어장&문제집

기출 외에도 외워야 하는 내용은
객관식, 주관식, 카드, 빈칸
등 다양한 형식으로
직접 만들어 보세요. 내 학습 스타일에
맞게
나만의 단어장과 문제집을 만들 수 있어요.

시험별 체계적인
문제 관리

시험에 문제를 추가해 체계적으로
관리할 수 있어요.
주제나 단원별로
분류하고 싶다면,
시험에 챕터를 만들어
문제를 추가할 수도 있어요.

수십만 명이
오늘학습을 사랑합니다

앱 스토어 평점 4.9
구글 플레이 평점 4.8
누적 회원수 100,000+
지금 오늘학습을
시작해보세요
지금 시작하기
문제 선택