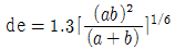
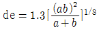
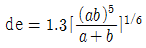
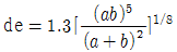
장방형 덕트(긴변 a, 짧은 변 b)의 원형 덕트 지름 환산식으로 옳은 것은?
지금 시작하기 →

・・・ 문제은행 공조냉동기계기사(구)(2017년 2회) 48번

공조냉동기계기사(구) 2017년 05월 48번

장방형 덕트(긴변 a, 짧은 변 b)의 원형 덕트 지름 환산식으로 옳은 것은?

1
2
3
4
단축키
이전 문제로 이동은 키를 누르고, 다음 문제로 이동은 키를 누르세요
이전 문제 , 다음 문제
문제(100)
1 저열원 20℃와 고열원 700℃ 사이에서 작동하는 카르노 열기관의 열효율은 약 몇 %인가? 2 다음 중 비가역 과정으로 볼 수 없는 것은? 3 압력이 106N/m2, 체적이 1m3인 공기가 압력이 일정한 상태에서 400kJ의 일을 하였다. 변화 후의 체적은 약 몇 m3인가? 4 그림의 랭킨 사이클(온도(T)-엔트로피(s)선도)에서 각각의 지점에서 엔탈피는 표와 같을 때 이 사이클의 효율은 약 몇 % 인가? 5 그림과 같이 상태 1, 2 사이에서 계가 1→A→2→B→1 과 같은 사이클을 이루고 있을 때, 열역학 제1법칙에 가장 적합한 표현은? (단, 여기서 Q는 열량, W는 계가 하는 일, U는 내부에너지를 나타낸다.) 6 100kPa, 25℃ 상태의 공기가 있다. 이 공기의 엔탈피가 298.615 kJ/kg 이라면 내부에너지는 약 몇 kJ/kg 인가? (단, 공기는 분자량 28.97인 이상기체로 가정한다.) 7 압력이 일정할 때 공기 5kg을 0℃에서 100℃까지 가열하는데 필요한 열량은 약 몇 kJ 인가? (단, 비열(Cp)은 온도 T(℃)에 관계한 함수로 Cp(kJ/kgㆍ℃)) = 1.01+0.000079×T이다.) 8 열교환기를 흐름 배열(flow arrangement)에 따라 분류할 때 그림과 같은 형식은? 9 온도 15℃, 압력 100kPa 상태의 체적이 일정한 용기 안에 어떤 이상 기체 5kg이 들어 있다. 이 기체가 50℃가 될 때까지 가열되는 동안의 엔트로피 증가량은 약 몇 kJ/K 인가? (단, 이 기체의 정압비열과 정적비열은 각각 1.001kJ/(kgㆍK), 0.7171 kJ/(kgㆍK)이다.) 10 다음 온도에 관한 설명 중 틀린 것은? 11 밀폐계에서 기체의 압력이 100kPa으로 일정하게 유지되면서 체적이 1m3에서 2m3으로 증가되었을 때 옳은 설명은? 12 출력 10000kW의 터빈 플랜트의 시간당 연료소비량이 5000 kg/h이다. 이 플랜트의 열효율은 약 몇 % 인가? (단, 연료의 발열량은 33440 kJ/kg이다.)
13 역 Carnot cycle로 300K와 240K사이에서 작동하고 있는 냉동기가 있다. 이 냉동기의 성능계수는? 14 보일러의 입구의 압력이 9800kN/m2이고, 응축기의 압력이 4900N/m2일 때 펌프가 수행한 일은 약 몇 kJ/kg 인가? (단, 물의 비체적은 0.001m3/kg 이다.) 15 오토(Otto) 사이클에 관한 일반적인 설명 중 틀린 것은? 16 열역학 제2법칙과 관련된 설명으로 옳지 않은 것은? 17 10kg의 증기가 온도 50℃, 압력 38kPa, 체적 7.5m3일 때 총 내부에너지는 6700kJ이다. 이와 같은 상태의 증기가 가지고 있는 엔탈피는 약 몇 kJ인가? 18 다음 중 정확하게 표기된 SI 기본단위(7가지)의 개수가 가장 많은 것은? (단, SI 유도단위 및 그 외 단위는 제외한다.) 19 어느 증기터빈에 0.4kg/s로 증기가 공급되어 260kW의 출력을 낸다. 입구의 증기 엔탈피 및 속도는 각각 3000kJ/kg, 720m/s, 출구의 증기 엔탈피 및 속도는 각각 2500kJ/kg, 120m/s 이면, 이 터빈의 열손실은 약 몇 kW가 되는가? 20 8℃의 이상기체를 가역단열 압축하여 그 체적을 1/5로 하였을 때 기체의 온도는 약 몇 ℃인가? (단, 이 기체의 비열비는 1.4 이다.) 21 증기압축식 냉동장치에 관한 설명으로 옳은 것은? 22 열전달에 관한 설명으로 틀린 것은? 23 방열벽의 열통과율(K)이 0.2kcal/m2ㆍhㆍ℃이며, 외기와 벽면과의 열전달율(α1)은 20kcal/m2ㆍhㆍ℃, 실내공기와 벽면과의 열전달율(α2)이 5kcal/m2ㆍhㆍ℃, 방열층의 열전도율(λ)이 0.03kcal/mㆍhㆍ℃라 할 때, 방열벽의 두께는 얼마가 되는가? 24 프레온 냉매를 사용하는 냉동장치에 공기가 침입하면 어떤 현상이 일어나는가?
25 2단 냉동사이클에서 응축압력을 Pc, 증발압력을 Pe 라 할 때, 이론적인 최적의 중간압력으로 가장 적당한 것은? 26 -15℃의 R134a 냉매 포화액의 엔탈피는 180.1kJ/kg, 같은 온도에서 포화증기의 엔탈피는 389.6kJ/kg이다. 증기압축식 냉동시스템에서 팽창밸브 직전의 액의 엔탈피가 237.5 kJ/kg 이라면 팽창밸브를 통과한 후 냉매의 건도는? 27 밀도가 1200kg/m3, 비열이 0.705kcal/kgㆍ℃인 염화칼슘 브라인을 사용하는 냉각기의 브라인 입구온도가 -10℃, 출구온도가 -4℃ 되도록 냉각기를 설계하고자 한다. 냉동부하가 36000kcal/h 라면 브라인의 유량은 얼마이어야 하는가? 28 냉매의 구비 조건에 대한 설명으로 틀린 것은? 29 공랭식 냉동장치에서 응축압력이 과다하게 높은 경우가 아닌 것은? 30 냉동장치에서 디스트리뷰터(distributor)의 역할로서 옳은 것은? 31 암모니아 냉동기에서 압축기의 흡입 포화온도 –20℃, 응축온도 30℃, 팽창밸브의 직전온도가 25℃, 피스톤 압출량이 288m3/h 일 때, 냉동능력은? (단, 압축기의 체적효율 0.8, 흡입냉매의 엔탈피 396kcal/kg, 냉매흡입 비체적 0.62m3/kg, 팽창밸브 직전 냉매의 엔탈피 128kcal/kg이다.) 32 냉매 액가스 열교환기의 사용에 대한 설명으로 틀린 것은? 33 다음 압축기 중 압축방식에 의한 분류에 속하지 않는 것은? 34 다음은 h-x(엔탈피 – 농도)선도에 흡수식 냉동기의 사이클을 나타낸 것이다. 그림에서 흡수사이클을 나타내는 것으로 옳은 것은? 35 다음 선도와 같이 응축온도만 변화하였을 때 각 사이클의 특성 비교로 틀린 것은? (단, 사이클 A : (A - B - C - D – A), 사이클 B : (A – B’- C’ - D’ - A), 사이클 C : (A – B” - C” - D” - A)이다.) 36 냉동기의 압축기 윤활목적으로 틀린 것은?
49 온수난방설계 시 달시-바이스바하(Darcy-Weibach)의 수식을 적용한다. 이 식에서 마찰저항계수와 관련이 있는 인자는? 50 공기 중의 수증기가 응축하기 시작할 때의 온도 즉, 공기가 포화상태로 될 때의 온도를 무엇이라고 하는가? 51 공기 중의 수분이 벽이나 천장, 바닥 등에 닿았을 때 응축되어 이슬이 맺히는 경우가 있다. 이와 같은 수분의 응축 결로를 방지하는 방법으로 적절하지 않은 것은? 52 에너지 절약의 효과 및 사무자동화(OA)에 의한 건물에서 내부발생열의 증가와 부하변동에 대한 제어성이 우수하기 때문에 대규모 사무실 건물에 적합한 공기조화 방식은? 53 바닥취출 공조방식의 특징으로 틀린 것은? 54 실내의 냉방 현열부하가 5000kcal/h, 잠열부하가 800kcal/h, 방을 실온 26℃로 냉각하는 경우 송풍량은? (단, 취출온도는 15℃이며, 건공기의 정압비열은 0.24kcal/kgㆍ℃, 공기의 비중량은 1.2kg/m3이다.) 55 실내를 항상 급기용 송풍기를 이용하여 정압(+)상태로 유지할 수 있어서 오염된 공기의 침입을 방지하고, 연소용 공기가 필요한 보일러실, 반도체 무균실, 소규모 변전실, 창고 등에 적합한 환기법은? 56 단일덕트 재열방식의 특징으로 틀린 것은? 57 가변풍량 공조방식의 특징으로 틀린 것은? 58 습공기의 성질에 대한 설명으로 틀린 것은? 59 공기조화설비는 공기조화기, 열원장치 등 4대 주요장치로 구성되어 있다. 4대 주요장치의 하나인 공기조화기에 해당되는 것이 아닌 것은? 60 다음 습공기 선도의 공기조화과정을 나타낸 장치도는? (단, ① = 외기, ② = 환기, HC = 가열기, CC = 냉각기이다.)
App Store Google Play
오늘학습 예시 이미지

시험에 합격하려면
복습을 제대로 해야 합니다.

오늘학습은 스스로 기억을 떠올리고 계획적으로 복습할 수 있도록 설계돼 있어요.
그것도, 가장 과학적인 방식으로요!

능동적 회상

능동적 회상
(Active Recall)

배운 내용을 단순 읽으며 반복하는 것이 아니라,
능동적으로 기억하고 있는지를
스스로 테스트하며
공부할 수 있는
학습 환경을 제공해 학습 효과를 높여요

간격 반복 학습

간격 반복 학습
(Spaced Repetition)

에빙하우스 망각곡선을 바탕으로
가장 최적의 시점에 복습을 제공하여
배운 내용이 잊히지 않도록 장기 기억화해요

Data 기반의
뇌과학적 복습 시스템

학습 결과 Data를 분석해, 문제별 최적화된
반복 학습량을
자동으로 분배해요.
학습에 소요되는 시간을 최소화하는
동시에
단기 기억을 장기 기억으로 전환해줘요.

36만 개 이상의
기출문제 무료 제공

공무원 및 약 300여종의 자격증 시험 기출문제
36만개
이상을 무료로 이용할 수 있어요.
여러 앱을 설치할 필요
없이, 오늘학습 하나로
모든 시험을 준비할 수 있어요.

다양한 문제 유형으로 만드는
나만의 단어장&문제집

기출 외에도 외워야 하는 내용은
객관식, 주관식, 카드, 빈칸
등 다양한 형식으로
직접 만들어 보세요. 내 학습 스타일에
맞게
나만의 단어장과 문제집을 만들 수 있어요.

시험별 체계적인
문제 관리

시험에 문제를 추가해 체계적으로
관리할 수 있어요.
주제나 단원별로
분류하고 싶다면,
시험에 챕터를 만들어
문제를 추가할 수도 있어요.

수십만 명이
오늘학습을 사랑합니다

앱 스토어 평점 4.9
구글 플레이 평점 4.8
누적 회원수 100,000+
지금 오늘학습을
시작해보세요
지금 시작하기
문제 선택