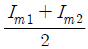
i=Im1sinωt+Im2(2sinωt+θ)의 실효값은?
지금 시작하기 →

・・・ 문제은행 공조냉동기계기사(구)(2017년 3회) 64번

공조냉동기계기사(구) 2017년 08월 64번

i=Im1sinωt+Im2(2sinωt+θ)의 실효값은?

1
2
3
4
단축키
이전 문제로 이동은 키를 누르고, 다음 문제로 이동은 키를 누르세요
이전 문제 , 다음 문제
문제(100)
1 다음 중 강도성 상태량(intensive property)에 속하는 것은? 2 다음 중 냉매의 구비조건으로 틀린 것은? 3 출력 15kW의 디젤 기관에서 마찰 손실이 그 출력의 15% 일 때 그 마찰 손실에 의해서 시간당 발생하는 열량은 약 몇 kJ인가? 4 그림과 같이 A, B 두 종류의 기체가 한 용기안에서 박막으로 분리되어 있다. A의 체적은 0.1m3, 질량은 2kg이고, B의 체적은 0.4m3, 밀도는 1kg/m3이다. 박막이 파열되고 난 후에 평형에 도달하였을 때 기체 혼합물의 밀도는 약 몇 kg/m3인가? 5 체적이 0.1m3인 용기 안에 압력 1MPa, 온도 250˚C의 공기가 들어 있다. 정적과정을 거쳐 압력이 0.35Mpa로 될 때 이 용기에서 일어난 열전달 과정으로 옳은 것은? (단, 공기의 기체상수는 0.287kJ/(kgㆍK), 정압비열은 1.0035 kJ/(kgㆍK) 정적비열은 0.7165 kJ/(kgㆍK)이다.) 6 다음 중 이론적인 카르노 사이클 과정(순서)을 옳게 나타낸 것은? (단, 모든 사이클은 가역 사이클이다.) 7 어느 발명가가 바닷물로부터 매시간 1800kJ의 열량을 공급받아 0.5kW 출력의 열기관을 만들었다고 주장한다면, 이 사실은 열역학 제 몇 법칙에 위반 되겠는가? 8 1kg의 기체로 구성되는 밀폐계가 50kJ의 열을 받아 15kJ의 일을 했을 때 내부에너지 변화량은 얼마인가? (단, 운동에너지의 변화는 무시한다.) 9 랭킨 사이클로 작동되는 증기동력 발전소에서 20MPa, 45˚C의 물이 보일러에 공급되고, 응축기 출구에서의 온도는 20˚C, 압력은 2.339kPa이다. 이 때 급수펌프에서 수행하는 단위질량당 일은 약 몇 kJ/kg인가? (단, 20˚C에서 포화액 비체적은 0.001002m3/kg, 포화증기 비체적은 57.79m3/kg이며, 급수 펌프에서는 등엔트로피 과정으로 변화한다고 가정한다.) 10 3kg의 공기가 들어있는 실린더가 있다. 이 공기가 200kPa, 10˚C인 상태에서 600kPa이될 때까지 압축할 때 공기가 한 일은 약 몇 kJ인가? (단, 이 과정은 폴리트로프 변화로서 폴리트로프 지수는 1.3이다. 또한 공기의 기체상수는 0.287kJ/(kgㆍK)이다.) 11 가스터빈으로 구동되는 동력 발전소의 출력이 10MW이고 열효율이 25%라고 한다. 연료의 발열량이 45000kJ/kg이라면 시간당 공급해야 할 연료량은 약 몇 kg/h 인가? 12 초기에 온도 T, 압력 P상태의 기체(질량 m)가 들어있는 견고한 용기에 같은 기체를 추가로 주입하여 최종적으로 질량 3m, 온도 2T 상태가 되었다. 이 때 최종 상태에서의 압력은? (단, 기체는 이상기체이고, 온도는 절대온도를 나타낸다.)
13 그림과 같이 다수의 추를 올려놓은 피스톤이 설치된 실린더 안에 가스가 들어 있다. 이때 가스의 최초 압력이 300kPa 이고, 초기 체적은 0.05m3이다. 여기에 열을 가하여 피스톤을 상승시킴과 동시에 피스톤 추를 덜어내어 가스온도를 일정하게 유지하여 실린더 내부의 체적을 증가시킬 경우 이 과정에서 가스가 한 일은 약 몇 kJ인가? (단, 이상기체 모델로 간주하고, 상승 후의 체적은 0.2m3이다.) 14 어떤 물질 1kg이 20˚C에서 30˚C로 되기 위해 필요한 열량은 약 몇 kJ 인가? (단, 비열 (C, kJ/(kgㆍK))은 온도에 대한 함수로서 C=3.594+0.0372T이며, 여기서 온도(T)의 단위는 K이다.) 15 체적이 0.5m3, 온도가 80˚C인 밀폐 압력 용기속에 이상기체가 들어있다. 이 기체의 분자량이 24이고, 질량이 10kg이라면 용기속의 압력은 약 몇 kPa인가? 16 어떤 냉장고의 소비전력이 2kW이고, 이 냉장고의 응축기에서 방열되는 열량이 5kW라면, 냉장고의 성적계수는 얼마인가? (단, 이론적인 증기압축 냉동사이클로 운전된다고 가정한다.) 17 오토사이클(Otto cycle) 기관에서 헬륨(비열비=1.66)을 사용하는 경우의 효율( )과 공기(비열비=1.4)를 사용하는 경우의 효율(ηair)을 비교하고자 한다. 이 때 ηHe/ηair 값은? (단, 오토 사이클의 압축비는 10 이다.) 18 물 2L를 1kW의 전열기를 사용하여 20˚C로부터 100˚C까지 가열하는데 소요되는 시간은 약 몇 분(min)인가? (단, 전열기 열량의 50%가 물을 가열하는데 유효하게 사용되고, 물은 증발하지 않는 것으로 가정한다. 물의 비열은 4.18kJ/(kgㆍK)이다.) 19 이론적인 카르노 열기관의 효율(η)을 구하는 식으로 옳은 것은? (단, 고열원의 절대온도는 TH, 저열원의 절대온도는 TL이다.) 20 1kg의 이상기체가 압력 100kPa, 온도 20˚C의 상태에서 압력 200kPa, 온도 100˚C의 상태로 변화하였다면 체적은 어떻게 되는가? (단, 변화전 체적을 V라고 한다.) 21 증발온도 -30˚C, 응축온도 45˚C에서 작동되는 이상적인 냉동기의 성적계수는? 22 흡수식 냉동장치에서의 흡수제 유동방향으로 틀린 것은? 23 열전달에 관한 설명으로 옳은 것은? 24 브라인에 대한 설명으로 틀린 것은?
25 2원 냉동장치에 관한 설명으로 틀린 것은? 26 냉각수 입구 온도가 15˚C이며 매분 40L로 순환되는 수냉식 응축기에서 시간당 18000kcal의 열이 제거되고 있을 때 냉각수 출구온도(˚C)는? 27 여름철 공기열원 열펌프 장치로 냉방 운전할 때, 외기의 건구온도 저하 시 나타나는 현상으로 옳은 것은? 28 압력 2.5kg/cm2에서 포화온도는 -20˚C이고, 이 압력에서의 포화핵 및 포화증기의 비체적 값이 각각 0.74L/kg, 0.09254m3/kg일 때, 압력 2.5kg/cm2에서 건도 (x)가 0.98인 습증기의 비체적(m3/kg)은 얼마인가? 29 냉동장치의 운전 준비 작업으로 가장 거리가 먼 것은? 30 다음 냉매 중 2원 냉동장치의 저온측 냉매로 가장 부적합한 것은? 31 제빙에 필요한 시간을 구하는 공식이 아래와 같다. 이 공식에서 a와 b가 의미하는 것은? 32 흡수식 냉동기에 대한 설명으로 틀린 것은? 33 다음 P-i선도와 같은 2단 압축 2단 팽창 사이클로 운전되는 NH3냉동장치에서 고단측냉매 순환량(kg/h)는 얼마인가? (단, 냉동능력은 55000kcal/h 이다.) 34 다기통 콤파운드 압축기가 다음과 같이 2단압축 1단팽창 냉동사이클로 운전되고 있다. 냉동능력이 12RT일 때 저단측 피스톤 토출량(m3/h)은? (단, 저ㆍ고단측의 체적효율은 모두 0.65이다.) 35 다음 중 왕복동식 냉동기의 고압측 압력이 높아지는 원인에 해당되는 것은? 36 증발하기 쉬운 유체를 이용한 냉동방법이 아닌 것은?
37 냉동능력 감소와 압축기 과열 등의 악영향을 미치는 냉동 배관 내의 불응축 가스를 제거하기 위해 설치하는 장치는? 38 증발온도는 일정하고 응축온도가 상승할 경우 나타나는 현상으로 틀린 것은? 39 냉동장치에서 응축기에 관한 설명으로 옳은 것은? 40 냉장실의 냉동부하가 크게 되었다. 이 때 냉동기의 고압측 및 저압측의 압력의 변화는? 41 냉방부하 중 유리창을 통한 일사취득열량을 계산하기 위한 필요사항으로 가장 거리가 먼 것은? 42 공기조화방식 중에서 전공기방식에 속하는 것은? 43 냉수 코일의 설계에 관한 설명으로 틀린 것은? 44 단면적 10m2, 두께 2.5cm의 단열벽을 통하여3kW의 열량이 내부로부터 외부로 전도된다. 내부 표면온도가 415˚C이고, 잴의 열전도율이 0.2W/mㆍK일 때, 외부표면 온도는? 45 숩공기선도상에서 ①의 공기가 온도가 높은 다량의 물과 접촉하여 가열, 가습되고 ③의 상태로 변화한 경우를 나타내는 것은? 46 에어 필터의 종류 중 병원의 수술실, 반도체 공장의 청정구역(clean room)등에 이용되는 고성능 에어 필터는? 47 냉각탑(cooling tower)에 대한 설명으로 틀린 것은? 48 내부에 송풍기와 냉ㆍ온수 코일이 내장되어 있으며, 각 실내에 설치되어 기계실로부터 냉ㆍ온수를 공급받아 실내공기의 상태를 직접 조절하는 공조기는?
49 각종 공조방식 중 개별방식에 관한 설명으로 틀린 것은? 50 건구온도 30˚C, 절대습도 0.015kg/kg'인 습공기의 엔탈피(kJ/kg)는? (단, 건공기 정압비열 1.01KJ/kgㆍK, 수증기 정압비열 1.85KJ/kgㆍK, 0˚C에서 포화수의 증발잠열은 2500KJ/kg 이다.) 51 연도를 통과하는 배기가스에 분무수를 접촉시켜 공해물질을 흡수, 융해, 응축작용에 의해 불순물을 제거하는 집진장치는 무엇인가? 52 송풍기의 법칙에서 회전속도가 일정하고, 직경이 d, 동력이 L인 송풍기를 직경이 d1으로 크게 했을 때 동력(L1)을 나타내는 식은?(오류 신고가 접수된 문제입니다. 반드시 정답과 해설을 확인하시기 바랍니다.) 53 다음 중 직접 난방법이 아닌 것은? 54 방열기에서 상당방열면적(EDR)은 아래의 식으로 나타낸다. 이중 Q0 는 무엇을 뜻하는 가? (단, 사용단위로 Q는 W, Q0는 W/m2이다.) 55 9m×6m×3m의 강의실에 10명의 학생이 있다. 1인당 CO2 토출량이 15L/h이면, 실내 CO2을 0.1%로 유지시키는데 필요한 환기량(m3/h)은? (단, 외기의 CO2량은 0.04%로 한다.) 56 덕트의 크기를 결정하는 방법이 아닌 것은? 57 각층 유닛방식에 관한 설명으로 틀린 것은? 58 냉방부하의 종류 중 현열부하만 취득하는 것은? 59 화력발전설비에서 생산된 전력을 사용함과 동시에, 전력이 생산되는 과정에서 발생되는 열을 난방 등에 이용하는 방식은? 60 온풍난방의 특징에 관한 설명으로 틀린 것은?
App Store Google Play
오늘학습 예시 이미지

시험에 합격하려면
복습을 제대로 해야 합니다.

오늘학습은 스스로 기억을 떠올리고 계획적으로 복습할 수 있도록 설계돼 있어요.
그것도, 가장 과학적인 방식으로요!

능동적 회상

능동적 회상
(Active Recall)

배운 내용을 단순 읽으며 반복하는 것이 아니라,
능동적으로 기억하고 있는지를
스스로 테스트하며
공부할 수 있는
학습 환경을 제공해 학습 효과를 높여요

간격 반복 학습

간격 반복 학습
(Spaced Repetition)

에빙하우스 망각곡선을 바탕으로
가장 최적의 시점에 복습을 제공하여
배운 내용이 잊히지 않도록 장기 기억화해요

Data 기반의
뇌과학적 복습 시스템

학습 결과 Data를 분석해, 문제별 최적화된
반복 학습량을
자동으로 분배해요.
학습에 소요되는 시간을 최소화하는
동시에
단기 기억을 장기 기억으로 전환해줘요.

36만 개 이상의
기출문제 무료 제공

공무원 및 약 300여종의 자격증 시험 기출문제
36만개
이상을 무료로 이용할 수 있어요.
여러 앱을 설치할 필요
없이, 오늘학습 하나로
모든 시험을 준비할 수 있어요.

다양한 문제 유형으로 만드는
나만의 단어장&문제집

기출 외에도 외워야 하는 내용은
객관식, 주관식, 카드, 빈칸
등 다양한 형식으로
직접 만들어 보세요. 내 학습 스타일에
맞게
나만의 단어장과 문제집을 만들 수 있어요.

시험별 체계적인
문제 관리

시험에 문제를 추가해 체계적으로
관리할 수 있어요.
주제나 단원별로
분류하고 싶다면,
시험에 챕터를 만들어
문제를 추가할 수도 있어요.

수십만 명이
오늘학습을 사랑합니다

앱 스토어 평점 4.9
구글 플레이 평점 4.8
누적 회원수 100,000+
지금 오늘학습을
시작해보세요
지금 시작하기
문제 선택