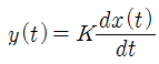
입력신호 x(t)와 출력신호 y(t)의 관계가 로 표현되는 것은 어떤 요소인가?
지금 시작하기 →

・・・ 문제은행 공조냉동기계기사(구)(2021년 2회) 68번

공조냉동기계기사(구) 2021년 05월 68번

입력신호 x(t)와 출력신호 y(t)의 관계가 로 표현되는 것은 어떤 요소인가?

1
비례요소
2
미분요소
3
적분요소
4
지연요소
단축키
이전 문제로 이동은 키를 누르고, 다음 문제로 이동은 키를 누르세요
이전 문제 , 다음 문제
문제(100)
1 4kg의 공기를 온도 15℃에서 일정 체적으로 가열하여 엔트로피가 3.35kJ/K 증가하였다. 이 때 온도는 약 몇 K인가? (단, 공기의 정적비열은 0.717kJ/(kgㆍK)이다. 2 카르노사이클로 작동되는 열기관이 200kJ의 열을 200℃에서 공급받아 20℃에서 방출한다면 이 기관의 일은 약 얼마인가? 3 기체상수가 0.462kJ/(kgㆍK)인 수증기를 이상기체로 간주할 때 정압비열 (kJ/(kgㆍK)은 약 얼마인가? (단, 이 수증기의 비열비는 1.33이다.) 4 다음 4가지 경우에서 ( )안의 물질이 보유한 엔트로피가 증가한 경우는? 5 이상적인 오토사이클의 열효율이 56.5%이라면 압축비는 약 얼마인가? (단, 작동 유체의 비열비는 1.4로 일정하다.) 6 시스템 내의 임의의 이상기체 1kg이 채워져 있다. 이 기체의 정압비열은 1.0kJ/(kgㆍK)이고, 초기 온도가 50℃인 상태에서 323kJ의 열량을 가하여 팽창시킬 때 변경 후 체적은 변경 전 체적의 약 몇 배가 되는가? (단, 정압과정으로 팽창한다.) 7 그림과 같은 Rankine 사이클의 열효율은 약 얼마인가? (단, h는 엔탈피, s는 엔트로피를 나타내며, h1=191.8kJ/kg, h2=193.8kJ/kg, h3=2799.5kJ/kg, h4=2007.5kJ/kg이다.) 8 복사열을 방사하는 방사율과 면적이 같은 2개의 방열판이 있다. 각각의 온도가 A방열판은 120℃, B방열판은 80℃일 때 두 방열판의 복사 열전달량(QA/QB)비는? 9 질량이 5kg인 강제 용기 속에 물이 20L들어있다. 용기와 물이 24℃인 상태에서 이속에 질량이 5kg이고 온도가 180℃인 어떤 물체를 넣었더니 일정 시간 후 온도가 35℃가 되면서 열평형에 도달하였다. 이 때 이 물체의 비열은 약 몇 kJ/(kgㆍK), 강의 비열은 0.46kJ/(kgㆍK)이다.) 10 어느 왕복동 내연기관에서 실린더 안지름이 6.8cm, 행정이 8cm일 때 평균유효압력은 1200kPa이다. 이 기관의 1행정당 유효 일은 약 몇 kJ인가? 11 실린더에 밀폐된 8kg의 공기가 그림과 같이 압력 P1=800kPa, 체적 V1=0.27m3에서 P2=350kPa, V2=0.80m3으로 직선 변화하였다. 이 과정에서 공기가 한 일은 약 몇 kJ인가? 12 상태 1에서 경로 A를 따라 상태 2로 변화하고 경로 B를 따라 다시 상태 1로 돌아오는 가역 사이클이 있다. 아래의 사이클에 대한 설명으로 틀린 것은?
13 보일러, 터빈, 응축기, 펌프로 구성되어 있는 증기원동소가 있다. 보일러에서 2500kW의 열이 발생하고 터빈에서 550kW의 일을 발생시킨다. 또한, 펌프를 구동하는데 20kW의 동력이 추가로 소모된다면 응축기에서의 방열량은 약 몇 kW인가? 14 유리창을 통해 실내에서 실외로 열전달이 일어난다. 이때 열전달이 일어난다. 이때 열전달량은 약 몇 W인가? (단, 대류열전달계수는 50W/m2ㆍK), 유리창 표면온도는 25℃, 외기온도는 10℃, 유리창면적은 2m2이다.) 15 냉동기 냉매의 일반적인 구비조건으로서 적합하지 않은 것은? 16 완전히 단열된 실린더 안의 공기가 피스톤을 밀어 외부로 일을 하였다. 이 때 외부로 행한일의 양과 동일한 값(절대값 기준)을 가지는 것은? 17 오토 사이클로 작동되는 기관에서 실린더의 극간 체적(clearance volume)이 행정체적(stroke volume)의 15%라고 하면 이론 열효율은 약 얼마인가? (단, 비열비 k=1.4이다.) 18 열역학 제 2법칙과 관계된 설명으로 가장 옳은 것은? 19 압력 100kPa, 온도 20℃인 일정량의 이상기체가 있다. 압력을 일정하게 유지하면서 부피가 처음 부피의 2배가 되었을 때 기체의 온도는 약 몇 ℃가 되는가? 20 어떤 열기관이 550K의 고열원으로부터 20kJ의 열량을 공급받아 250K의 저열원에 14kJ의 열량을 방축할 때 이 사이클의 Clausius 적분값과 가역, 비가역 여부의 설명으로 옳은 것은? 21 냉각탑에 대한 설명으로 틀린 것은? 22 다음 압축과 관련한 설명으로 옳은 것은? 23 몰리에르 선도 상에서 표준 냉동사이클의 냉매 상태 변화에 대한 설명으로 옳은 것은? 24 흡수식 냉동기에서 냉매의 과냉 원인으로 가장 거리가 먼 것은?
25 흡수식 냉동기에 사용하는 “냉매-흡수제”가 아닌 것은? 26 냉동장치의 냉매량이 부족할 때 일어나는 현상으로 옳은 것은? 27 펠티에(Feltier) 효과를 이용하는 냉동방법에 대한 설명으로 틀린 것은? 28 압축기의 기통수가 6기통이며, 피스톤 직경이 140mm, 행정이 110mm, 회전수가 800rpm인 NH3 표준 냉동사이클의 냉동능력(kW)은? (단, 압축기의 체적효율은 0.75, 냉동효과는 1126.3kJ/kg, 비체적은 0.5m3/kg이다.) 29 증기압축식 냉동장치에 관한 설명으로 옳은 것은? 30 증기 압축식 냉동사이클에서 증발온도를 일정하게 유지시키고, 응축온도를 상승시킬 때 나타나는 현상이 아닌 것은? 31 2단압축 1단팽창 냉동장치에서 게이지 압력계로 증발압력 0.19MPa, 응축압력 1.17MPa일 때, 중간냉각기의 절대압력(MPa)은? 32 냉동장치의 운전 중 장치 내에 공기가 침입하였을 때 나타나는 현상으로 옳은 것은? 33 2단 압축 냉동기에서 냉매의 응축온도가 38℃일 때 수냉식 응축기의 냉각수 입ㆍ출구의 온도가 각각 30℃, 35℃이다. 이 때 냉매와 냉각수와의 대수평균온도차(℃)는? 34 냉동장치에서 흡입가스의 압력을 저하시키는 원인으로 가장 거리가 먼 것은? 35 다음 중 열통과율이 가장 작은 응축기 형식은? (단, 동일 조건 기준으로 한다.) 36 고온 35℃, 저온 –10℃에서 작동되는 역카르노 사이클이 적용된 이론 냉동사이클의 성적계수는?
37 제빙에 필요한 시간을 구하는 공식이 아래와 같다. 이 공식에서 a와 b가 의미하는 것은? 38 브라인 냉각용 증발기가 설치된 소형 냉동기가 있다. 브라인 순환량이 20kg/min이고, 브라인의 입ㆍ출구 온도차는 15K이다. 압축기의 실제 소요동력이 5.6kW일 때, 이 냉동기의 실제 성적계수는? (단, 브라인의 비열은 3.3kJ/kgㆍK이다.) 39 그림에서 사이클 A(1-2-3-4-1)로 운전될 때 증발기의 냉동능력은 5RT, 압축기의 체적효율은 0.78이었다. 그러나 운전 중 부하가 감소하여 압축기 흡입밸브 개도를 줄여서 운전하였더니 사이클 B(1‘-2’-3-4-1-1‘)로 되었다. 사이클 B로 운전될 때의 체적효율이 0.7이라면 이 때의 냉동능력(RT)은 얼마인가? (단, 1RT는 3.8kW이다.) 40 직경 10cm, 길이 5m의 관에 두께 5cm의 보온재(열전도율 λ=0.1163W/mㆍK)로 보온을 하였다. 방열층의 내측과 외측의 온도가 각각 –50℃, 30℃이라면 침입하는 전열량(W)은? 41 보일러의 수위를 제어하는 주된 목적으로 가장 적절한 것은? 42 열매에 따른 방열기의 표준방열량(W/m2)기준으로 가장 적절한 것은? 43 에어와셔 내에 온수를 분무할 때 공기는 습공기선도에서 어떠한 변화과정이 일어나는가? 44 보일러의 발생증기를 한 곳으로만 취출하면 그 부근에 압력이 저하하여 수면동요 현상과 동시에 비수가 발생된다. 이를 방지하기 위한 장치는? 45 복사난방 방식의 특징에 대한 설명으로 틀린 것은? 46 다음 중 난방부하를 경감시키는 요인으로만 짝지어진 것은? 47 온수난방의 특징에 대한 설명으로 틀린 것은? 48 콜드 드래프트 현상의 발생 원인으로 가장 거리가 먼 것은?
49 다음과 같이 단열된 덕트 내에 공기가 통하고 이것에 열량 Q(kJ/h)와 수분L(kg/h)을 가하여 열평형이 이루어 졌을 때, 공기에 가해진 열량(Q)은 어떻게 나타내는가? (단, 공기의 유량은 G(kg/h), 가열코일 입ㆍ출구의 엔탈피, 절대습도를 각각 h1, h2(kJ/kg), x1, x2(kg/kg)이며, 수분의 엔탈피는 hL(kJ/kg)이다.) 50 대기압(760mmHg)에서 온도 28℃, 상대습도 50%인 습공기 내의 건공기 분압(mmHg)은 얼마인가? (단, 수증기 포화압력은 31.84mmHg이다.) 51 단일덕트 재열방식의 특징에 관한 설명으로 옳은 것은? 52 온풍난방에서 중력식 순환방식과 비교한 강제 순환방식의 특징에 관한 설명으로 틀린 것은? 53 건구온도 30℃, 절대습도 0.01kg/kg인 외부공기 30%와 건구온도 20℃, 절대습도 0.02kg/kg인 실내공기 70%를 혼합하였을 때 최종 건구온도(T)와 절대습도(x)는 얼마인가? 54 가변풍량 방식에 대한 설명으로 틀린 것은? 55 다음 그림과 같이 송풍기의 흡입 측에만 덕트가 연결되어 있을 경우 동압(mmAq)은 얼마인가? 56 건구온도 10℃, 절대습도 0.003kg/kg인 공기 50m3을 20℃까지 가열하는데 필요한 열량(kJ)은? (단, 공기의 정압비열은 1.01kJ/kgㆍK, 공기의 밀도는 1.2kg/m3이다.) 57 내부에 송풍기와 냉ㆍ온수 코일이 내장되어 있으며, 각 실내에 설치되어 기계실로부터 냉ㆍ온수를 공급받아 실내공기의 상태를 직접 조절하는 공조기는? 58 취출구 관련 용어에 대한 설명으로 틀린 것은? 59 극간풍의 방지방법으로 가장 적절하지 않은 것은? 60 취출온도를 일정하게 하여 부하에 따라 송풍량을 변화시켜 실온을 제어하는 방식은?
App Store Google Play
오늘학습 예시 이미지

시험에 합격하려면
복습을 제대로 해야 합니다.

오늘학습은 스스로 기억을 떠올리고 계획적으로 복습할 수 있도록 설계돼 있어요.
그것도, 가장 과학적인 방식으로요!

능동적 회상

능동적 회상
(Active Recall)

배운 내용을 단순 읽으며 반복하는 것이 아니라,
능동적으로 기억하고 있는지를
스스로 테스트하며
공부할 수 있는
학습 환경을 제공해 학습 효과를 높여요

간격 반복 학습

간격 반복 학습
(Spaced Repetition)

에빙하우스 망각곡선을 바탕으로
가장 최적의 시점에 복습을 제공하여
배운 내용이 잊히지 않도록 장기 기억화해요

Data 기반의
뇌과학적 복습 시스템

학습 결과 Data를 분석해, 문제별 최적화된
반복 학습량을
자동으로 분배해요.
학습에 소요되는 시간을 최소화하는
동시에
단기 기억을 장기 기억으로 전환해줘요.

36만 개 이상의
기출문제 무료 제공

공무원 및 약 300여종의 자격증 시험 기출문제
36만개
이상을 무료로 이용할 수 있어요.
여러 앱을 설치할 필요
없이, 오늘학습 하나로
모든 시험을 준비할 수 있어요.

다양한 문제 유형으로 만드는
나만의 단어장&문제집

기출 외에도 외워야 하는 내용은
객관식, 주관식, 카드, 빈칸
등 다양한 형식으로
직접 만들어 보세요. 내 학습 스타일에
맞게
나만의 단어장과 문제집을 만들 수 있어요.

시험별 체계적인
문제 관리

시험에 문제를 추가해 체계적으로
관리할 수 있어요.
주제나 단원별로
분류하고 싶다면,
시험에 챕터를 만들어
문제를 추가할 수도 있어요.

수십만 명이
오늘학습을 사랑합니다

앱 스토어 평점 4.9
구글 플레이 평점 4.8
누적 회원수 100,000+
지금 오늘학습을
시작해보세요
지금 시작하기
문제 선택