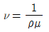
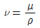
유체의 동점성계수(v), 점성계수(μ), 밀도(ρ)의 관계를 옳게 나타낸 것은?
지금 시작하기 →

・・・ 문제은행 정수시설운영관리사 3급 1차(2024년 1회) 61번

정수시설운영관리사 3급 1차 2024년 04월 61번

유체의 동점성계수(v), 점성계수(μ), 밀도(ρ)의 관계를 옳게 나타낸 것은?

1
2
3
4
단축키
이전 문제로 이동은 키를 누르고, 다음 문제로 이동은 키를 누르세요
이전 문제 , 다음 문제
문제(80)
61 유체의 동점성계수(v), 점성계수(μ), 밀도(ρ)의 관계를 옳게 나타낸 것은? 62 유선(stream line)에 관한 설명으로 옳은 것은? 63 개수로에서 유량측정을 위해 직사각형 예연위어를 사용하고 있다. 월류수심의 측정에 2 %의 오차가 있다면 측정 유량에 발생하는 오차(%)는 얼마인가? (단, 위어의 유량계수는 상수이고 단면수축은 없다.) 64 상류측 관경이 400 mm, 하류측 관경이 200 mm인 관로에서 상류측 관로의 단면평균 유속이 2 m/s라면, 하류측 관로의 단면평균유속(m/s)은 얼마인가? (단, 관로의 유량은 관을 가득 채운 상태로 일정하게 흐르고 있다.) 65 관수로 내의 마찰로 인한 에너지손실을 산정할 수 있는 공식은? 66 물탱크에 설치된 작은 오리피스에서 단면수축계수(Ca), 유속계수(Cv), 유량계수(Cd)의 관계를 옳게 표현한 것은? 67 [MLT]계로 나타낸 물리량의 차원표시로 옳지 않은 것을 모두 고른 것은? 68 관로길이 10 m, 관경 0.1 m인 관수로에서 평균유속 1 m/s로 물이 흐르고 있을 때 마찰손실수두(m)는 약 얼마인가? (단, 마찰손실계수는 0.01, 중력가속도는 9.8 m/s2이다.) 69 계획 정수량 1,000 m3/d인 여과지의 여과면적이 50 m2일 때, 여과속도(m/d)는 얼마인가? 70 폭 5 m, 길이 10 m, 유효수심 5 m인 장방형 침전지의 표면부하율이 50 m/d일 때, 이 침전지의 유입유량(m3/d)은 얼마인가? 71 직사각형 단면의 개수로에서 최적수리단면의 수심(h)과 수로폭(b)의 관계를 올바르게 나타낸 것은? 72 관수로에서 레이놀즈(Reynolds) 수에 관한 설명으로 옳지 않은 것은?
App Store Google Play
오늘학습 예시 이미지

시험에 합격하려면
복습을 제대로 해야 합니다.

오늘학습은 스스로 기억을 떠올리고 계획적으로 복습할 수 있도록 설계돼 있어요.
그것도, 가장 과학적인 방식으로요!

능동적 회상

능동적 회상
(Active Recall)

배운 내용을 단순 읽으며 반복하는 것이 아니라,
능동적으로 기억하고 있는지를
스스로 테스트하며
공부할 수 있는
학습 환경을 제공해 학습 효과를 높여요

간격 반복 학습

간격 반복 학습
(Spaced Repetition)

에빙하우스 망각곡선을 바탕으로
가장 최적의 시점에 복습을 제공하여
배운 내용이 잊히지 않도록 장기 기억화해요

Data 기반의
뇌과학적 복습 시스템

학습 결과 Data를 분석해, 문제별 최적화된
반복 학습량을
자동으로 분배해요.
학습에 소요되는 시간을 최소화하는
동시에
단기 기억을 장기 기억으로 전환해줘요.

36만 개 이상의
기출문제 무료 제공

공무원 및 약 300여종의 자격증 시험 기출문제
36만개
이상을 무료로 이용할 수 있어요.
여러 앱을 설치할 필요
없이, 오늘학습 하나로
모든 시험을 준비할 수 있어요.

다양한 문제 유형으로 만드는
나만의 단어장&문제집

기출 외에도 외워야 하는 내용은
객관식, 주관식, 카드, 빈칸
등 다양한 형식으로
직접 만들어 보세요. 내 학습 스타일에
맞게
나만의 단어장과 문제집을 만들 수 있어요.

시험별 체계적인
문제 관리

시험에 문제를 추가해 체계적으로
관리할 수 있어요.
주제나 단원별로
분류하고 싶다면,
시험에 챕터를 만들어
문제를 추가할 수도 있어요.

수십만 명이
오늘학습을 사랑합니다

앱 스토어 평점 4.9
구글 플레이 평점 4.8
누적 회원수 100,000+
지금 오늘학습을
시작해보세요
지금 시작하기
문제 선택