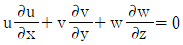
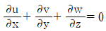
비압축성 유체의 3차원 연속방정식으로 옳은 것은? (단, u, v, w는 각각 x, y, z 방향의 속도이다.)
지금 시작하기 →

・・・ 문제은행 정수시설운영관리사 3급 1차(2022년 1회) 79번

정수시설운영관리사 3급 1차 2022년 05월 79번

비압축성 유체의 3차원 연속방정식으로 옳은 것은? (단, u, v, w는 각각 x, y, z 방향의 속도이다.)

1
2
3
4
단축키
이전 문제로 이동은 키를 누르고, 다음 문제로 이동은 키를 누르세요
이전 문제 , 다음 문제
문제(80)
25 먹는물수질공정시험기준상 탁도에 관한 설명이다. ( )에 들어갈 내용으로 옳은 것은? 26 먹는물 수질감시항목 운영 등에 관한 고시상 먹는물 수질감시항목 중 정수의 자연방사성물질 항목에 해당하는 것은? 27 하루에 100,000m3을 처리하는 정수장의 정수지 유입부에 염소를 150kg/d 주입하였다. 정수지 유출부의 잔류염소농도가 0.6mg/L 일 때 염소요구량(mg/L)은? 28 환경정책기본법령상 용존산소가 풍부하고 오염물질이 없는 청정상태의 생태계로 여과·살균 등 간단한 정수처리 후 생활용수로 사용할 수 있는 상태 등급은? 29 수용액의 농도 0.025 W/v%를 mg/L로 환산한 값은? 30 수도법령상 일반수도사업자가 준수해야 할 정수처리된 물의 탁도 등의 기준이다. ( )에 들어갈 내용으로 옳은 것은? 31 혼화지 설계 시 필요한 G값(속도경사)을 구할 때 고려인자로 옳지 않은 것은? (단, 속도경사식 기준이다.) 32 응집제 주입량 결정을 위한 자-테스트(Jar-Test) 순서로 옳은 것은? 33 하천법상 명시된 “하천공사” 용어의 정의로 옳은 것은? 34 지하수법상 명시된 “지하수정화업” 용어의 정의로 옳은 것은? 35 먹는물관리법상 환경부장관이 지정한 검사기관 준수사항으로 옳은 것은? 36 물환경보전법상 수질오염사고 대응에 관한 설명이다. ( )에 들어갈 내용으로 옳은 것은?
61 개수로 흐름에 관한 설명으로 옳은 것은? 62 레이놀즈수(Reynolds number)에 관한 설명으로 옳지 않은 것은? 63 하젠-포아쥴레(Hagen-Poiseuille) 식에 관한 설명으로 옳지 않은 것은? 64 관경이 100mm인 수로 내에서 물의 유속이 0.01m/s일 때, 마찰손실계수는? (단, 물의 동점성계수는 1.0×10-6 m2/s 이다.) 65 폭 10m, 길이 24m, 유효수심 5m인 직사각형 침전지의 표면부하율이 200m/d 일 때, 이 침전지의 유입유량(m3/h)은? 66 횡류식 침전지에 연결된 폭 B인 직사각형 개수로에 유입유량 Q로 물이 흐른다. 비에너지가 최소일 때, 수심은? (단, g는 중력가속도이고, 에너지보정계수는 1이다.) 67 막면적 100m2, 막여과유속 0.1m/d인 막여과시설에서 여과수량(m3/min)은?(문제 오류로 가답안 발표시 4번으로 발표되었지만 확정답안 발표시 모두 정답처리 되었습니다. 여기서는 가답안인 4번을 누르면 정답 처리 됩니다.) 68 펌프의 양수량이 9m3/min, 전양정이 16m, 회전속도가 1,000rpm일 때 펌프의 비속도는? 69 효율이 80%인 펌프의 흡입구 유량이 0.4m3/s 이고, 전양정이 40m일 때, 축동력(kW)은? 70 캐비테이션(공동현상)의 방지대책으로 옳은 것은? 71 펌프 운전 중에 주기적으로 압력계기의 눈금이 큰 진폭으로 흔들림과 동시에 토출량의 변동이 발생하고, 흡입 및 토출배관의 진동과 소음을 수반하는 현상은? 72 펌프의 상사법칙에서 임펠러 직경이 동일할 때, 전양정(H)과 회전속도(N)의 관계식으로 옳은 것은? (단, H1은 N1 회전 시 전양정, H2는 N2 회전 시 전양정이다.)
App Store Google Play
오늘학습 예시 이미지

시험에 합격하려면
복습을 제대로 해야 합니다.

오늘학습은 스스로 기억을 떠올리고 계획적으로 복습할 수 있도록 설계돼 있어요.
그것도, 가장 과학적인 방식으로요!

능동적 회상

능동적 회상
(Active Recall)

배운 내용을 단순 읽으며 반복하는 것이 아니라,
능동적으로 기억하고 있는지를
스스로 테스트하며
공부할 수 있는
학습 환경을 제공해 학습 효과를 높여요

간격 반복 학습

간격 반복 학습
(Spaced Repetition)

에빙하우스 망각곡선을 바탕으로
가장 최적의 시점에 복습을 제공하여
배운 내용이 잊히지 않도록 장기 기억화해요

Data 기반의
뇌과학적 복습 시스템

학습 결과 Data를 분석해, 문제별 최적화된
반복 학습량을
자동으로 분배해요.
학습에 소요되는 시간을 최소화하는
동시에
단기 기억을 장기 기억으로 전환해줘요.

36만 개 이상의
기출문제 무료 제공

공무원 및 약 300여종의 자격증 시험 기출문제
36만개
이상을 무료로 이용할 수 있어요.
여러 앱을 설치할 필요
없이, 오늘학습 하나로
모든 시험을 준비할 수 있어요.

다양한 문제 유형으로 만드는
나만의 단어장&문제집

기출 외에도 외워야 하는 내용은
객관식, 주관식, 카드, 빈칸
등 다양한 형식으로
직접 만들어 보세요. 내 학습 스타일에
맞게
나만의 단어장과 문제집을 만들 수 있어요.

시험별 체계적인
문제 관리

시험에 문제를 추가해 체계적으로
관리할 수 있어요.
주제나 단원별로
분류하고 싶다면,
시험에 챕터를 만들어
문제를 추가할 수도 있어요.

수십만 명이
오늘학습을 사랑합니다

앱 스토어 평점 4.9
구글 플레이 평점 4.8
누적 회원수 100,000+
지금 오늘학습을
시작해보세요
지금 시작하기
문제 선택