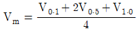
A지점의 개수로 유량측정을 위해서 유속-면적법을 이용할 때, 3점법으로 계산하는 식으로 옳은 것은? (단, Vm은 수심평균유속이고, V의 아래첨자는 수심이 1일 때 수면으로부터 유속을 측정한 지점이다.)
지금 시작하기 →

・・・ 문제은행 정수시설운영관리사 3급 1차(2020년 2회) 67번

정수시설운영관리사 3급 1차 2020년 06월 67번

A지점의 개수로 유량측정을 위해서 유속-면적법을 이용할 때, 3점법으로 계산하는 식으로 옳은 것은? (단, Vm은 수심평균유속이고, V의 아래첨자는 수심이 1일 때 수면으로부터 유속을 측정한 지점이다.)

1
2
3
4
단축키
이전 문제로 이동은 키를 누르고, 다음 문제로 이동은 키를 누르세요
이전 문제 , 다음 문제
문제(80)
25 수도법상 수도의 정비에 관한 종합적인 기본계획(수도정비기본계획)의 수립 주기는? 26 수질오염공정시험기준상 화학적 산소요구량(산성 과망간산칼륨법)을 적정법으로 분석할 때 사용하는 시약이 아닌 것은? 27 오존 처리에 관한 설명 중 옳지 않은 것은? 28 수도법령상 지표수를 사용하는 일반수도사업자가 준수해야 할 정수처리기준 중 병원성 미생물에 관한 설명이다. ( )에 들어갈 내용으로 옳은 것은? 29 정수처리공정에서 원수의 pH를 높이기 위하여 일반적으로 사용하는 조정제가 아닌 것은? 30 물환경보전법상 점오염원이 아닌 것은? 31 수질오염공정시험기준상 냄새 측정에 관한 설명으로 옳지 않은 것은? 32 처리수량이 10,000 m3/day인 정수장에서 염소를 5 mg/L로 주입할 때 잔류염소 농도가 0.2 mg/L이었다면 염소요구량(kg/day)은? (단, 염소의 순도는 80 %이다.) 33 정수지의 수리학적 체류시간이 50분이고 장폭비 환산계수(T10/T)가 0.1이다. 이 정수지의 유출부에서 측정한 잔류염소 농도가 0.3 mg/L일 때 CT계산값 (mg/Lㆍmin)은? 34 먹는물관리법에서 정의한 ‘먹는물’이 아닌 것은? 35 수도법령상 일반수도사업자가 하여야 하는 위생상의 조치에서 수도꼭지에서 항상 유지하여야 할 먹는물 유리잔류염소의 농도기준(mg/L)은? (단, 병원성미생물에 의하여 오염되었거나 오염될 우려는 없는 것으로 한다.) 36 지하수법상 지하수의 보전ㆍ관리를 위하여 필요한 경우 지하수보전구역을 지정할 수 있는 사람은?
61 [MLT]계로 표현되는 유량의 차원으로 옳은 것은? (단, [M]은 질량, [L]은 길이, [T]는 시간을 표시하는 차원이다.) 62 유체의 특성에 관한 설명으로 옳지 않은 것은? 63 유체의 에너지방정식을 아래와 같이 표기했을 때 괄호 안에 들어갈 내용에 포함되지 않는 것은? 64 베르누이(Bernoulli) 방정식 유도 시 도입되는 가정으로 옳지 않은 것은? 65 Darcy-Weisbach 공식의 마찰손실계수에 관한 설명으로 옳지 않은 것은? 66 수면차이가 10 m인 두 곳의 저수지를 연결한 관의 지름이 0.2 m, 길이가 1.0 km 일 때, 관로를 흐르는 유량(m3/sec)은 약 얼마인가? (단, 마찰손실계수 f=0.015, 미소손실은 무시한다.) 67 A지점의 개수로 유량측정을 위해서 유속-면적법을 이용할 때, 3점법으로 계산하는 식으로 옳은 것은? (단, Vm은 수심평균유속이고, V의 아래첨자는 수심이 1일 때 수면으로부터 유속을 측정한 지점이다.) 68 지름이 40 cm인 원형관에 물이 가득차서 흐를 때 동수반경(R)은? 69 관로의 마찰손실수두에 관한 설명으로 옳은 것을 모두 고른 것은? 70 단면적이 20 m2, 유속이 4 m/day인 하천 개수로의 유량(m3/day)은? 71 A정수장의 침전공정에서 독립입자가 침전하는 속도를 Stokes법칙을 적용하여 산정하고자 할 때, 다음 설명으로 옳지 않은 것은? 72 정수장 침전지 유입량이 30,000 m3/day이다. 침전지의 길이가 30 m이고, 깊이는 5 m, 폭이 10 m라면 침전지의 표면부하율(m3/m2/day)은?
App Store Google Play
오늘학습 예시 이미지

시험에 합격하려면
복습을 제대로 해야 합니다.

오늘학습은 스스로 기억을 떠올리고 계획적으로 복습할 수 있도록 설계돼 있어요.
그것도, 가장 과학적인 방식으로요!

능동적 회상

능동적 회상
(Active Recall)

배운 내용을 단순 읽으며 반복하는 것이 아니라,
능동적으로 기억하고 있는지를
스스로 테스트하며
공부할 수 있는
학습 환경을 제공해 학습 효과를 높여요

간격 반복 학습

간격 반복 학습
(Spaced Repetition)

에빙하우스 망각곡선을 바탕으로
가장 최적의 시점에 복습을 제공하여
배운 내용이 잊히지 않도록 장기 기억화해요

Data 기반의
뇌과학적 복습 시스템

학습 결과 Data를 분석해, 문제별 최적화된
반복 학습량을
자동으로 분배해요.
학습에 소요되는 시간을 최소화하는
동시에
단기 기억을 장기 기억으로 전환해줘요.

36만 개 이상의
기출문제 무료 제공

공무원 및 약 300여종의 자격증 시험 기출문제
36만개
이상을 무료로 이용할 수 있어요.
여러 앱을 설치할 필요
없이, 오늘학습 하나로
모든 시험을 준비할 수 있어요.

다양한 문제 유형으로 만드는
나만의 단어장&문제집

기출 외에도 외워야 하는 내용은
객관식, 주관식, 카드, 빈칸
등 다양한 형식으로
직접 만들어 보세요. 내 학습 스타일에
맞게
나만의 단어장과 문제집을 만들 수 있어요.

시험별 체계적인
문제 관리

시험에 문제를 추가해 체계적으로
관리할 수 있어요.
주제나 단원별로
분류하고 싶다면,
시험에 챕터를 만들어
문제를 추가할 수도 있어요.

수십만 명이
오늘학습을 사랑합니다

앱 스토어 평점 4.9
구글 플레이 평점 4.8
누적 회원수 100,000+
지금 오늘학습을
시작해보세요
지금 시작하기
문제 선택