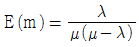
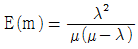
대기행렬 이론에서 서비스를 기다리는 평균차량대수를 나타내는 평균대기행렬 길이(E(m)) 식으로 옳은 것은? (단, λ는 평균도착률, μ는 평균서비스율이다.)
지금 시작하기 →

・・・ 문제은행 교통기사(2018년) 23번

교통기사 2018년 04월 23번

대기행렬 이론에서 서비스를 기다리는 평균차량대수를 나타내는 평균대기행렬 길이(E(m)) 식으로 옳은 것은? (단, λ는 평균도착률, μ는 평균서비스율이다.)

1
2
3
4
단축키
이전 문제로 이동은 키를 누르고, 다음 문제로 이동은 키를 누르세요
이전 문제 , 다음 문제
문제(120)
13 교통계획을 장기교통계획과 단기교통계획으로 구분하여 설명한 것으로 옳은 것은? 14 도로를 확장하기 전 교통량은 1일 10000대로 운행비가 대당 200원이었던 것이, 도로 확장 후 교통량은 15000대, 운행비는 대당 150원으로 감소하였다면, 이에 따른 소비자 잉여는? 15 다음 교통사업의 평가 방법 중 경제적 효율성 분석방법이 아닌 것은? 16 교통체계관리(TSM)에 관한 설명 중 옳지 않은 것은? 17 선호의식(Stated Preference)데이터와 선호결과(Revealed Preference)데이터에 대한 설명으로 옳은 것은? 18 조사지역 내에 하나 혹은 여러 개의 선을 그어 이 선을 통과하는 차량을 조사하는 기법으로, 조사된 O-D표를 검증하거나 보완하기 위하여 실시하는 것은? 19 중력모형(Gravity Model)의 특징으로 옳지 않은 것은? 20 교통정보의 유형 중 입력정보가 아닌 것은? 21 교통류 내에서 합리적인 속도의 최대값을 나타내며 현장의 도로조건에 적합한 교통운영 계획을 세우는 데 기준 속도로 이용하는 것은? 22 도로 기하구조의 기준이 되는 속도로 운전자의 안전을 보장하는 최대속도가 되는 것은? 23 대기행렬 이론에서 서비스를 기다리는 평균차량대수를 나타내는 평균대기행렬 길이(E(m)) 식으로 옳은 것은? (단, λ는 평균도착률, μ는 평균서비스율이다.) 24 출발하는 차량의 속도가 55km/h이고 차량의 자유속도가 70km/h일 경우의 충격파의 속도는?
25 차로 폭이 3.6m인 4차선 1km의 평탄한 고속도로 구간에 버스가 6%, 트럭이 8%인 교통류가 이동하고 있다. 이 때 중차량 보정계수의 값은? (단, 버스와 트럭의 승용차 환산계수는 각각 1.3, 1.5이다.) 26 어느 차량의 속도가 100km/h이고 교통량이 3000대/시 일 때 밀도는? 27 다음 중 교통조사 방법에 대한 설명으로 옳지 않은 것은? 28 주기 당 총 손실시간이 10초, 임계차로군의 교통량비의 합이 0.6일 때 Webster 방법을 이용한 최적주기는? 29 양방통행에 비하여 일방통행이 갖는 장점이 아닌 것은? 30 차량검지기에 의해 파악된 교통량에 따라 신축성 있게 신호시간을 조정하며 교통량의 시간적 변화가 심한 독립교차로에 설치하여 단독으로 운용하는 데 적합한 신호기는? 31 평지에서의 노면과 타이어의 마찰계수가 0.5일 때 차량의 감속도는? 32 다음 도로시설 중 용량산정에 추월시거가 적용되는 도로시설은? 33 다음 중 도로에 매설할 필요가 없는 검지기는? 34 차량추종모형에서 운전자의 반응시간과 관련하여 고려하는 변수로 가장 거리가 먼 것은? 35 신호교차로에서 신호시간 결정 시 최소 녹색시간을 결정하는 요소는? 36 어느 도로의 제한속도를 재검증하기 위하여 속도조사를 실시하려고 한다. 속도의 표준 편차를 15km/h, 허용오차를 2km/h로 하고자 할 때 필요한 표본 수는? (단, 신뢰도는 95%이다.)
49 도로의 구조·시설 기준에 관한 규칙상 보도의 유효폭은 최소 얼마 이상으로 하여야 하는가? (단, 지방지역의 도로와 도시지역의 국지도로는 지형 상 불가능하거나 기존 도로의 증설·개설시 불가피하다고 인정되는 경우 제외한다.) 50 여객자동차터미널 설계 시 유도차로의 최소노폭 기준은? (단, 유도차로가 일방통행인 경우는 제외한다.) 51 도시지역 고속도로와 일반도로에 설치하는 중앙분리대의 최소 폭 기준으로 옳은 것은?(단, 자동차 전용도로는 제외한다.) 52 다음 중 도로의 기능별 구분에 따른 ㉠과 ㉡의 설계속도 기준이 모두 옳은 것은? 53 설계속도가 60km/h이고 편도 4차로인 도시부 도로망 설계 시 교차로 간의 순간격 값은? 54 다음 중 설계속도가 100km/h인 도로의 평면 곡선부에 설치하는 완화곡선의 최소 길이 기준으로 옳은 것은? 55 교통안전표지에서 지시표지 중 일방통행표지의 기호부분에 해당하는 내용은? 56 종단선형 설계 시의 고려사항에 대한 설명으로 적절하지 않은 것은? 57 좌회전 차로에 대한 설명으로 옳지 않은 것은? 58 간선도로 중심선 흐름과 같은 방향으로 설치하며 간선도로 주변에 위치한 개발지에서 발생하는 교통량을 간선도로 차량흐름에 방해하지 않는 범위 안에서 적정한 방법으로 간선 도로에 연결해주는 기능을 하는 것은? 59 교통안전표지 중 규제표지의 모양으로 옳지 않은 것은? 60 다음 중 입체교차의 연결로 설계 시 유출입 유형을 일관성 있게 계획할 때의 장점으로 옳지 않은 것은?
61 도시·군관리계획의 입안에 관하여 주민의 의견을 청취하고자 하는 때에는 도시·군관리계획안을 최소 며칠 이상 일반이 열람할 수 있도록 하여야 하는가? 62 A도시의 인구가 10만명, B도시의 인구가 40만명, 두 도시 간의 거리가 9km일 때 A도시로부터 세력 분기점까지의 거리는? 63 도시계획에서 계획인구를 산정하기 위한 방법 중 과거인구의 추세에 의한 예측방법이 아닌 것은? 64 다음 중 앙케이트를 반복 실시하여 여러 차례 의견을 수렴하고, 그 결과를 종합하여 미래의 예측에 접근하는 도시조사 방법은? 65 인구밀도가 400인/ha인 500세대 아파트 단지를 건설하려면 필요한 토지 규모는 얼마인가? (단 1세대는 4인으로 구성한다.) 66 본 튀넨(von Thunen)의 토지이용모델에서 도시 주변의 특정 지점에서 이루어지는 재배 작물의 유형을 결정하는 요인에 해당하지 않는 것은? 67 도시공원 및 녹지 등에 관한 법률에서 기능에 따라 세분한 녹지의 종류가 아닌 것은? 68 다음 계획이론의 설명 중 옳지 않은 것은? 69 도로의 규모별 구분 중 광로는 최소 폭이 몇 m이상의 도로를 지칭하는 것인가? 70 다음 중 주로 도시내부의 공간 구조 형성을 설명하는 이론이 아닌 것은? 71 다음 중 용도지역·용도지구·용도구역에 대한 설명으로 옳지 않은 것은? 72 교통수단 간 연계방법 중 자택에서 가까운 역까지 자기의 승용차를 직접 운전한 후 주차하고 역을 이용하여 도심까지 통행하는 방법은?
85 국토교통부장관은 교통기술의 연구·개발을 촉진하고 그 성과를 효율적으로 이용하기 위하여 몇 년 단위로 국가교통기술 개발계획을 수립하여야 하는가? 86 국가통합교통체계효율화법령상 국가교통조사의 실시에 관한 설명으로 옳지 않은 것은? 87 국가통합교통체계효율화법 시행규칙상 타당성 평가 대상사업에서 제외하는 사업으로 옳지 않은 것은? 88 도로교통법상 모든 차의 운전자가 서행하여야 하는 장소에 해당하지 않는 것은? 89 도시교통정비지역에서 도시교통의 개선을 위하여 필요한 경우 국토교통부장관이 해당지역을 관할하는 시·도지사에게 명령할 수 있는 사하오가 가장 거리가 먼 것은? 90 주차장법에서 단지조성사업 등에 따른 노외주차장을 설치하여야 하는 사업의 종류가 아닌 것은? 91 주차장법상 의료시설인 종합병원 부설주차장의 설치기준은? 92 다음 중 도로교통법상 도로에서의 위험을 방지하고 교통의 안전과 원활한 소통을 확보하기 위하여 구간을 정하여 보행자나 차마의 통행을 금지하거나 제한할 수 있는 자는? 93 도시교통정비촉진법령상 연차별 시행계획에 포함되어 있지 않은 사항은? 94 다음 중 도로교통법에 따른 횡단보도의 정의로 옳은 것은? 95 도로법상 고속국도에 대한 도로관리청은? 96 국가통합교통체계효율화법상 타당성 평가대행 업무에 대한 설명으로 옳지 않은 것은?
97 시·도지사는 시·도교통안전시행계획 및 전년도의 시·도교통안전시행계획 추진실적을 매년 몇 월 말까지 국토교통부장관에게 제출하여야 하는가? 98 교통안전법상 교통안전관리자의 종류에 해당하지 않는 것은? 99 주차장법에 따른 노상주차장의 구조·설비에 대한 설명으로 옳은 것은? 100 도로교통법에 따른 정차 및 주차의 금지 장소 기준으로 옳지 않은 것은? 101 차량의 방향별 통행을 물리적으로 분리하여 교통안전을 확보하기 위한 중앙분리대의 지방지역 일반도로 설치 시 최소 폭원은? 102 곡선반경이 150m인 도로 구간에서 차량이 횡방향으로 미끄러져 전복되는 사고가 발생하였다. 이 차량의 횡방향으로 미끄러지기 직전의 주행속도는? (단, 편경사는 4%, 횡방향마찰계수는 0.4이다.) 103 충돌도(collision diagram)에 관한 설명으로 옳지 않은 것은? 104 차량 방호울타리의 주된 설치목적과 가장 거리가 먼 것은? 105 다음 중 제한된 시거로 인한 교차로에서의 보행자사고 방지대책으로 적합하지 않은 것은? 106 다음 중 차량이 평면곡선부를 주행할 때 곡선부 바깥쪽으로 원심력이 작용하여 차량이 도로 밖으로 이탈하는 것을 막기 위하여 도로의 설계 시 반영하는 요소는? 107 교통사고 예방과 피해 감소를 위한 각종 대책으로 대별되는 3E에 해당하지 않는 분야는? 108 도로 구간의 사고방지대책으로 옳지 않은 것은?
109 다음 그림과 같이 바퀴가 구르면서 동시에 핸들의 조향에 의하여 차량이 측방향으로 쏠리면서 생기는 타이어 마크는? 110 교통시설안전진단의 종류 및 대상사업에 대한 설명으로 옳지 않은 것은? 111 소도로 또는 대도시의 집·분산도로 또는 국지도로나 교통량이 적은 지붕부 도로 등에서 주로 같은 종류의 도로 또는 교차로를 비교할 때 사용하는 위험지점 선정기법은? 112 교통사고 방지대책의 일반적인 절차로 옳은 것은? 113 도시지역 교차로에서 발생되는 교통사고의 유형과 건수 등에 영향을 미치는 요인 중 가장 거리가 먼 것은? 114 차량충돌로 인한 운전자와 도로구조물을 보호하는 기능을 수행하는 충격흡수시설의 선정 시 고려해야 할 사항으로 가장 거리가 먼 것은? 115 네 바퀴의 스키드 마크(skid mark) 길이가 각각 6.0m, 6.5m, 7.0m, 7.5m일 때 제동차량의 초기속도 산정 시 사용하는 스키드 마크 길이는? 116 다음 중 노면이 젖어 있을 때 자동차가 고속으로 주행할 경우 타이어가 노면과 접촉되지 않아 노면의 고인 물에 부상하게 되어 타이어 아래에 있는 물의 압력과 타이어에 걸리는 무게가 같게 되고, 브레이크도 제대로 작용하지 않게 되는 현상은? 117 다음 중 현황도 내용에 포함되지 않는 것은? 118 교통사고 방지대책 중 개선대안 선택을 위한 위험지점 분석의 4단계에 해당하지 않는 것은? 119 어느 차량이 60m 거리를 미끄러져 주차한 차량과 충돌하였다. 충돌 후 두 차량이 함께 다시 20m를 미끄러진 후 정지하였다. 양 차량의 무게가 동일할 때 주행차량의 초기속도는? (단, 마찰계수는 0.5로 가정한다.) 120 교통사고 유발요인의 분류와 이에 속하는 요인이 잘못 짝지어진 것은?
App Store Google Play
오늘학습 예시 이미지

시험에 합격하려면
복습을 제대로 해야 합니다.

오늘학습은 스스로 기억을 떠올리고 계획적으로 복습할 수 있도록 설계돼 있어요.
그것도, 가장 과학적인 방식으로요!

능동적 회상

능동적 회상
(Active Recall)

배운 내용을 단순 읽으며 반복하는 것이 아니라,
능동적으로 기억하고 있는지를
스스로 테스트하며
공부할 수 있는
학습 환경을 제공해 학습 효과를 높여요

간격 반복 학습

간격 반복 학습
(Spaced Repetition)

에빙하우스 망각곡선을 바탕으로
가장 최적의 시점에 복습을 제공하여
배운 내용이 잊히지 않도록 장기 기억화해요

Data 기반의
뇌과학적 복습 시스템

학습 결과 Data를 분석해, 문제별 최적화된
반복 학습량을
자동으로 분배해요.
학습에 소요되는 시간을 최소화하는
동시에
단기 기억을 장기 기억으로 전환해줘요.

36만 개 이상의
기출문제 무료 제공

공무원 및 약 300여종의 자격증 시험 기출문제
36만개
이상을 무료로 이용할 수 있어요.
여러 앱을 설치할 필요
없이, 오늘학습 하나로
모든 시험을 준비할 수 있어요.

다양한 문제 유형으로 만드는
나만의 단어장&문제집

기출 외에도 외워야 하는 내용은
객관식, 주관식, 카드, 빈칸
등 다양한 형식으로
직접 만들어 보세요. 내 학습 스타일에
맞게
나만의 단어장과 문제집을 만들 수 있어요.

시험별 체계적인
문제 관리

시험에 문제를 추가해 체계적으로
관리할 수 있어요.
주제나 단원별로
분류하고 싶다면,
시험에 챕터를 만들어
문제를 추가할 수도 있어요.

수십만 명이
오늘학습을 사랑합니다

앱 스토어 평점 4.9
구글 플레이 평점 4.8
누적 회원수 100,000+
지금 오늘학습을
시작해보세요
지금 시작하기
문제 선택