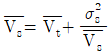
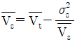
시간평균속도 , 공간평균속도 , 공간평균속도의 표준편차(σs)의 관계를 바르게 나타낸 것은?
지금 시작하기 →

・・・ 문제은행 교통기사(2019년 3회) 27번

교통기사 2019년 09월 27번

시간평균속도 , 공간평균속도 , 공간평균속도의 표준편차(σs)의 관계를 바르게 나타낸 것은?

1
2
3
4
단축키
이전 문제로 이동은 키를 누르고, 다음 문제로 이동은 키를 누르세요
이전 문제 , 다음 문제
문제(120)
25 속도분포에서 현재의 도로상태에서 대다수의 차량 운전자들이 주행하는 속도로, 안전속도로 간주하여 교통운영계획에 적용하는 %속도는? 26 어느 신호교차로 한 차로군의 교통량은 1250vph, PHF는 0.80, fhu는 0.77, fw는 0.95일 때, 서비스수준 분석을 위하여 고려되는 첨두시간 교통류율은? 27 시간평균속도 , 공간평균속도 , 공간평균속도의 표준편차(σs)의 관계를 바르게 나타낸 것은? 28 A차량이 일정 구간의 도로를 주행하는데 15분 소요되었고, 반대방향 주행 차량 중 A차량을 추월한 차량이 5대, A차량이 추월한 차량이 3대 일 때, 이 구간에서 A차량의 평균주행시간은? (단, A차량 주행방향의 교통량은 150대/시이다.) 29 설계기준자동차로서 대형자동차의 길이 기준으로 옳은 것은? 30 주차 발생 원단위법에 다른 주차 수요는? (단, 피크시 주차 발생량:5대/1000m2, 건물 연면적:15000m2, 주차이용 효율:75%) 31 어떤 도로 구간의 교통량이 1200대/시, 평균 차량길이는 4m, 평균 차량속도는 60km/h일 때 평균 차간시간은? 32 3현시로 운영되는 신호교차로에서 각 현시별로 고려하여야 하는 현시율이 각각 0.3, 0.15, 0.25일 때, Webster방식에 의한 최적신호주기는? (단, 현시당 손실시간은 3초다.) 33 차량의 시공도로부터 알 수 없는 사항은? 34 노면과 타이어 상태에 따른 미끄럼 마찰계수가 가장 큰 상태는? 35 접근지체(approach delay)를 구성하는 요소로 분류되지 않는 지체는? 36 신호교차로의 이상적인 조건 기준이 틀린 것은?
49 비신호 평면 교차로에서 좌회전 차로의 대기차량을 위한 길이 산정 기준은? 50 각 도로의 접근성과 이동성의 관계를 나타낸 아래 그림에서 각 구간 (㉠~㉣)에 해당하는 기능별 도로의 종류가 모두 옳은 것은? 51 도로의 구조ㆍ시설 기준에 관한 규칙상 설계속도가 120km/h이고 도로의 교각이 5° 이상인 경우 평면곡선의 최소 길이는? 52 다음 중 기본 차로수가 균형 상태이면서 차로수 균형의 원칙을 지키고 있는 설계는? 53 평면선형과 종단선형을 조합하여 설계할 때 유의사항으로 거리가 먼 것은? 54 +6% 경사와 -3% 경사를 갖는 도로부 사이를 450m의 종단곡선으로 연결하였다. 이 종단 곡선의 시작부 표고가 600.00m라면 곡선의 시작부에서 50m 떨어진 지점의 표고는? 55 차로폭은 작아도 되나 차로 진행방향으로 긴 주차폭이 필요하며, 1대당 주차 소요면적이 최대인 주차형식은? 56 도로의 구분에 따른 설계기준자동차가 아닌 것은? 57 도로의 구조ㆍ시설 기준에 관한 규칙상 보도의 유효폭은 보행자의 통행량과 주변 토지 이용 상황을 고려하여 결정하되 최소 몇 미터 이상으로 하여야 하는가? (단, 지방지역의 도로와 도시지역의 국지도로에서 지형상 불가능하거나 기존 도로의 증설ㆍ개설 시 불가피하다고 인정되는 경우는 고려하지 않는다.) 58 도로의 안전시설 및 부대시설에 대한 설명으로 옳지 않은 것은? 59 도시지역 고속도로에서 중앙분리대의 최소 폭 기준은? 60 도로 및 교통 조건이 아래와 같은 지방지역 고속도로의 교통량 대 용량비(VP/C)는?
61 중세 유럽의 도시에서 나타나는 공통적인 물리적 특성과 거리가 먼 것은? 62 도시ㆍ군기본계획의 목표연도는 계획수립시점으로부터 얼마를 기준으로 하는가? 63 도시계획에 있어서 주민참여의 역할로 거리가 먼 것은? 64 도시발전과 토지이용 패턴에 관한 도시공간 구조를 설명하는 동심원 이론을 처음으로 주장한 사람은? 65 투입산출계수(lnput-Output Coefficient, aij)에 대한 설명으로 옳은 것은? 66 도시 및 주거환경정비법에 따른 정비사업 중 ‘재개발사업’의 정의에 해당하는 것은? 67 근린주구를 물리적 계획의 기본단위로 하여 주구 내의 생활안정을 유지하고 편리성과 쾌적성을 확보하기 위한 6가지 계획원리를 제시한 사람은? 68 건폐율에 대한 설명으로 틀린 것은? 69 보차분리기법을 평면분리방식, 입체분리방식, 시간분리방식으로 구분할 때, 다음 중 평면분리방식에 해당하지 않는 것은? 70 인간정주사회의 구성요소를 인간, 사회, 자연, 네트워크, 구조물의 5가지로 제시하고 인간정주공간을 15개 단위로 구분하여 설명한 학자는? 71 도시공원의 유형을 생활권공원과 주제공원으로 구분할 때, 다음 주제공원에 해당하지 않는 것은? 72 다음 중 인구성장이 초기에는 완만하다가 일정 기간이 지나면 급속한 증가율을 나타내고, 또 일정 기간이 지나면 그 증가율이 점차 감소하여 인구가 일정 수준을 유지하는 포화 상태에 이른다는 이론에 기초한 인구 예측 방법은?
73 국토기본법에 따른 지역계획에 해당하는 것은? (단, 다른 법률에 따라 수립하는 지역계획은 고려하지 않는다.) 74 도시계획 관련 조사 자료에 대한 접근이 직접적이냐 간접적이냐에 따라 1차 자료와 2차 자료로 나눌 때, 1차 자료의 조사 방법이 아닌 것은? 75 도로의 사용 및 형태별 구분에 따른 설명으로 옳지 않은 것은?(2021년 02월 24일 개정된 규정 적용됨) 76 도시ㆍ군계획시설의 결정ㆍ구조 및 설치기준에 관한 규칙에 따른 도로의 일반적 결정기준에서 주간선도로와 주간선도로의 배치간격 기준은? 77 지구단위계획구역의 지정목적을 이루기 위하여 지구단위계획에 반드시 포함되어야 하는 사항이 아닌 것은? (단, 기존의 용도지구를 폐지하고 그 용도지구에서의 건축물이나 그 밖의 시설의 용도ㆍ종류 및 규모 등의 제한을 대체하는 지구단위계획의 경우는 고려하지 않는다.) 78 국토의 계획 및 이용에 관한 법령상 정의하는 기반시설에 해당하지 않는 것은? 79 도시화에 관한 내용과 가장 거리가 먼 것은? 80 선형도시(Linear city)에 관한 설명 중 옳지 않은 것은? 81 도시교통정비촉진법의 목적과 가장 거리가 먼 것은? 82 도로법상 고속국도와 일반국도의 관리청은? 83 국가통합교통체계효율화법상 증기 교통시설 투자계획에 대한 설명이 틀린 것은? 84 교통안전법상 국가교통부안전기본계획에 포함되어야 할 사항으로 가장 거리가 먼 것은?
97 도로교통법규상 신호등 등화의 배열순서로 옳은 것은? (단, 적색ㆍ황색ㆍ녹색화살표ㆍ녹색의 사색등화로 표시되는 신호등의 경우다.) 98 도로교통법상 정차 및 주차 금지 장소 기준이 틀린 것은? 99 도로법상 도로관리청은 소관 도로에 대한 도로건설ㆍ관리계획을 몇 년 마다 수립하여야 하는가? 100 시ㆍ도지사 또는 시장ㆍ군수ㆍ구청장이 도로관리청인 도로 중 대도시권의 주요 간선도로로서 교통혼잡의 해소, 물류의 원활한 흐름을 위하여 개선사업의 시행이 필요한 구간의 도로를 무엇이라 하며, 이 구간 도로에 대하여 권역별 개선사업계획을 수립하여야 하는 기간 기준이 모두 옳게 짝지어진 것은? 101 교차로에서 시거불량에 의한 교통사고의 방지대책으로 옳지 않은 것은? 102 도시ㆍ군계획시설사업으로 시행하는 다음의 도로 건설 사업 중 개시 전 단계의 도로 안전 진단을 실시할 수 있는 대상사업이 아닌 것은? 103 차량방호 안전시설 중 하나인 방호울타리의 종별에 해당하지 않는 것은? 104 교통사고 조사 목적 중에서 그 지향하는 바가 가장 단편적인 것은? 105 어느 사고다발지점에 대한 개선안 A, B, C, D를 수립하여 각 대안의 비용(PVC)과 편익(PVB)을 조사한 결과가 아래와 같을 때 가장 경제성이 좋은 개선안은? (단, Incremental NPV 방법에 의한다.) 106 교통사고 조사 시 교통사고 현장의 도로상에서 조사하는 사항이 아닌 것은? 107 교차로에서의 사고방지를 위해 신호등을 설치하려고 할 때 그 타당성과 가장 거리가 먼 것은? 108 도로를 주행하다 급정거한 차량의 스키드마크를 조사한 결과, 15m가 나타난 다음 2m를 지나서 다시 5m가 나타났다. 이 차량의 제동 전 초기속도는? (단, 타이어-노면 마찰계수는 0.7이며, 평탄구간이다.)
109 교통사고가 다발하는 단로부(mid-block)에서 보행자 횡단에 의한 사고를 개선하기 위한 대책으로 가장 거리가 먼 것은? 110 3번 국도의 어느 10km 구간에서 작년 한 해 동안의 교통사고 발생건수가 56건이었으며, 이 고간의 ADT는 8000대이었다. 이 도로구간의 백만차량-km당 평균사고율은? 111 다음 중 자동차의 정지거리를 올바르게 표시한 것은? 112 교통사고 상황을 나타내는 다음 기호가 나타내는 사고 유형은? 113 다음 중 도로교통을 구성하는 3요소가 아닌 것은? 114 주거지역에서 차량의 높은 속도는 주거환경을 해치고 어린이 및 보행자 교통사고를 유발하는 위험 요소다, 이들 지역의 차량속도를 적정 수준으로 유지하기 위해 노면에 돌출부를 설치한 것을 무엇이라 하는가? 115 교통사고 조사에서 최초접촉지점을 판정할 때에 필요한 사항으로 거리가 먼 것은? 116 관성에 의하여 속도 50km/h로 주행하는 2톤의 차량이 0.5톤의 모래통을 충격한 후의 속도는? 117 어느 차량이 급정지하면서 노면에 생긴 직선미끄럼 흔적의 길이가 각각 다음과 같을 때, 이 차량의 미끄럼거리로 사용되는 것은? 118 도로교통사고의 일반적 특성에 대한 설명으로 옳지 않은 것은? 119 인간이 운전할 때 필요한 감각정보의 약 80%를 차지하고 있는 감각은? 120 다음 중 차량 10000대당 사망률을 바르게 표현한 것은? (단, R:10000대당 사망률, B:연총사망자수, M:차량등록대수)
App Store Google Play
오늘학습 예시 이미지

시험에 합격하려면
복습을 제대로 해야 합니다.

오늘학습은 스스로 기억을 떠올리고 계획적으로 복습할 수 있도록 설계돼 있어요.
그것도, 가장 과학적인 방식으로요!

능동적 회상

능동적 회상
(Active Recall)

배운 내용을 단순 읽으며 반복하는 것이 아니라,
능동적으로 기억하고 있는지를
스스로 테스트하며
공부할 수 있는
학습 환경을 제공해 학습 효과를 높여요

간격 반복 학습

간격 반복 학습
(Spaced Repetition)

에빙하우스 망각곡선을 바탕으로
가장 최적의 시점에 복습을 제공하여
배운 내용이 잊히지 않도록 장기 기억화해요

Data 기반의
뇌과학적 복습 시스템

학습 결과 Data를 분석해, 문제별 최적화된
반복 학습량을
자동으로 분배해요.
학습에 소요되는 시간을 최소화하는
동시에
단기 기억을 장기 기억으로 전환해줘요.

36만 개 이상의
기출문제 무료 제공

공무원 및 약 300여종의 자격증 시험 기출문제
36만개
이상을 무료로 이용할 수 있어요.
여러 앱을 설치할 필요
없이, 오늘학습 하나로
모든 시험을 준비할 수 있어요.

다양한 문제 유형으로 만드는
나만의 단어장&문제집

기출 외에도 외워야 하는 내용은
객관식, 주관식, 카드, 빈칸
등 다양한 형식으로
직접 만들어 보세요. 내 학습 스타일에
맞게
나만의 단어장과 문제집을 만들 수 있어요.

시험별 체계적인
문제 관리

시험에 문제를 추가해 체계적으로
관리할 수 있어요.
주제나 단원별로
분류하고 싶다면,
시험에 챕터를 만들어
문제를 추가할 수도 있어요.

수십만 명이
오늘학습을 사랑합니다

앱 스토어 평점 4.9
구글 플레이 평점 4.8
누적 회원수 100,000+
지금 오늘학습을
시작해보세요
지금 시작하기
문제 선택