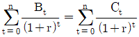
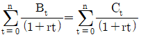
다음 공식 중 내부 수익률(IRR)을 나타낸 것은? (단, Bt=t년도의 편익, Ct=t년도의 비용)
지금 시작하기 →

・・・ 문제은행 교통기사(2019년 1회) 12번

교통기사 2019년 03월 12번

다음 공식 중 내부 수익률(IRR)을 나타낸 것은? (단, Bt=t년도의 편익, Ct=t년도의 비용)

1
2
3
4
단축키
이전 문제로 이동은 키를 누르고, 다음 문제로 이동은 키를 누르세요
이전 문제 , 다음 문제
문제(120)
73 도시의 경제, 사회, 문화적인 특성을 살려 개성있고 지속 가능한 발전을 촉진하기 위하여 경관, 생태, 정보통신, 과학, 문화, 관광 등의 분야별로 지정하는 도시계획 관련 사항은? 74 도시계획 수립과정의 단계로 옳은 것은? 75 다음 중 도시ㆍ군관리계획의 내용에 해당하지 않는 것은? 76 도시 및 지역경제 분석 방법 중 경제기반모형(economic base model)에 대한 설명으로 옳지 않은 것은? 77 1620년대 E.Burgess가 생태학적 개념에서 제창한 도시패턴은? 78 소득분배 상태를 나타내는 지표로서의 지니계수(Gini coefficient) 중 가장 완전한 균등분배상황을 나타내는 수치는? 79 참여형 도시계획으로서 주민참여 도시만들기의 우리나라 최근 동향이라고 볼 수 없는 것은? 80 가로망의 구성형태 중 인구 100만 이상의 대도시계획에 적합하고 횡적인 연결은 환상선으로, 도심부와 교외 및 외곽은 방사선으로 연결하며 도쿄, 파리에 이용한 방법은? 81 도로법령에 따른 도로원표에 관한 설명으로 옳지 않은 것은? 82 최초로 수립하는 도시교통정비기본계획 및 증기계획은 해당 지역이 도시교통정비지역으로 포함된 날부터 최대 얼마 이내에 확정ㆍ고시하여야 하는가? 83 주차장법령상 주차전용건축물이라 함은 건축물의 연면적 중 주차장으로 사용되는 부분의 비율이 몇 % 이상인 것인가? 84 국가통합교통체계효율화법에서 정의하는 환승센터의 종류로 옳지 않은 것은?
97 주차장법상 도로의 노면 및 교통광장 외의 장소에 설치된 주차장으로서 일반의 이용에 제공되는 것은? 98 도로교통법규상 횡단보도표지는 횡단보도 전 몇 미터의 도로우측에 설치하여야 하는가? 99 아래 설명 중 ()안에 들어갈 알맞은 말은? 100 도로법상 국토교통부장관이 도로건설ㆍ관리계획을 수립하는 도로로 옳지 않은 것은? 101 주행 중이던 차량이 장애물을 보고 급제동하여 생긴 모든 바퀴들의 직선 미끄럼 흔적의 길이가 아래와 같다면, 이 차량의 미끄럼거리는? 102 운전자들에게 필요한 정보를 올바른 방법으로 제공하여 운전자들이 충돌을 치할 수 있게 해야 한다는 개념의 ‘Positive Guidance’의 주요 고려 개념 중 하나인 운전자의 기대심리에 대한 설명으로 옳지 않은 것은? 103 다음 중 충격흡수시설의 주된 설치장소로 볼 수 없는 것은? 104 교통안전을 위한 사고유발인자 개선조치를 도로사용자/차량/도로 측면으로 구분하고 이를 다시 충돌전/충돌중/충돌후 개선조치로 제시한 Haddon Matrix에 대한 설명으로 옳지 않은 것은? 105 도로교통조건과 사고에 대한 설명으로 옳지 않은 것은? 106 일반적인 교통사고의 분석목적으로 옳지 않은 것은? 107 원호형 과속방지턱의 표준 설치 제원으로 옳은 것은? 108 유사한 특성을 가진 지점들에 대해 미리 정해진 평균 사고율과 관련하여 특정사고율이 비정상적인지를 결정하기 위하여 통계적 검정을 적용함으로써 분석의 질적 통제가 가능한 위험지점 선정기법은?
109 교통사고에 영향을 주는 운전자의 능력을 육체적 능력과 후천적 능력으로 구분할 때, 후천적 능력에 해당하지 않는 것은? 110 교통사고의 예방 또는 그로 인한 피해를 경감시키기 위한 대책인 ‘3E’에 해당하지 않는 것은? 111 운전자의 정보처리과정에 대한 설명으로 옳지 않은 것은? 112 지도상에 일정 기간 동안 발생한 사고지점에 사고의 종류와 피해 정도에 따라 핀, 색종이를 붙이거나 표시를 하여 사고가 집중적으로 발생하는 지점을 나타내는 것은? 113 어느 자동차가 경사가 3%인 도로에서 급제동하였더니 제동거리로 36m로 정차하였다. 이 차량의 제동 직전의 속도는? (단, 노면과 타이어 간의 마찰계수는 0.7이다.) 114 사고충돌도의 범례 중 다음 그림이 상징하는 것은? 115 어느 사고다발지점에 대해 개선사업을 실시한 경우 운전자가 변화된 도로환경에 따라 과거보다 주의력을 감소시킴으로써 당초 의도한 개선대책의 효과를 상쇄시키는 경향은? 116 다음 중 교통안전진단의 목표로 가장 거리가 먼 것은? 117 어떤 장소에서 짧은 시간 동안 수시로 충돌에 근접하는 교통현상을 관측하여 그 장소의 교통사고위험성을 평가하는 것은? 118 교통안전계획의 내용 중 옳지 않은 것은? 119 중량이 2000kg인 차량이 30km/h로 달리다가 정차 중인 1000kg 중량의 차량과 충돌하여 얼마의 거리를 밀고 나가 정차하였다면 충돌 직후의 속도는? 120 차량 A가 25m를 활주한(skidding) 후 12m 높이의 언덕에서 추락하였다. 추락 후 노면에 떨어진 지점까지의 수평거리가 15m일 경우 차량 A의 초기속도는? (단, 중력가속도는 9.8m/sec2, 마찰계수는 0.7이다.)
App Store Google Play
오늘학습 예시 이미지

시험에 합격하려면
복습을 제대로 해야 합니다.

오늘학습은 스스로 기억을 떠올리고 계획적으로 복습할 수 있도록 설계돼 있어요.
그것도, 가장 과학적인 방식으로요!

능동적 회상

능동적 회상
(Active Recall)

배운 내용을 단순 읽으며 반복하는 것이 아니라,
능동적으로 기억하고 있는지를
스스로 테스트하며
공부할 수 있는
학습 환경을 제공해 학습 효과를 높여요

간격 반복 학습

간격 반복 학습
(Spaced Repetition)

에빙하우스 망각곡선을 바탕으로
가장 최적의 시점에 복습을 제공하여
배운 내용이 잊히지 않도록 장기 기억화해요

Data 기반의
뇌과학적 복습 시스템

학습 결과 Data를 분석해, 문제별 최적화된
반복 학습량을
자동으로 분배해요.
학습에 소요되는 시간을 최소화하는
동시에
단기 기억을 장기 기억으로 전환해줘요.

36만 개 이상의
기출문제 무료 제공

공무원 및 약 300여종의 자격증 시험 기출문제
36만개
이상을 무료로 이용할 수 있어요.
여러 앱을 설치할 필요
없이, 오늘학습 하나로
모든 시험을 준비할 수 있어요.

다양한 문제 유형으로 만드는
나만의 단어장&문제집

기출 외에도 외워야 하는 내용은
객관식, 주관식, 카드, 빈칸
등 다양한 형식으로
직접 만들어 보세요. 내 학습 스타일에
맞게
나만의 단어장과 문제집을 만들 수 있어요.

시험별 체계적인
문제 관리

시험에 문제를 추가해 체계적으로
관리할 수 있어요.
주제나 단원별로
분류하고 싶다면,
시험에 챕터를 만들어
문제를 추가할 수도 있어요.

수십만 명이
오늘학습을 사랑합니다

앱 스토어 평점 4.9
구글 플레이 평점 4.8
누적 회원수 100,000+
지금 오늘학습을
시작해보세요
지금 시작하기
문제 선택