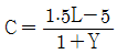
Webster 방식에 의한 지체를 최소로 하는 최적 주기(C) 산정식은? (단, L : 주기당 총 손실시간, Y : 현시별 임계차로군의 교통량비의 합)
지금 시작하기 →

・・・ 문제은행 교통기사(2019년 2회) 36번

교통기사 2019년 04월 36번

Webster 방식에 의한 지체를 최소로 하는 최적 주기(C) 산정식은? (단, L : 주기당 총 손실시간, Y : 현시별 임계차로군의 교통량비의 합)

1
2
3
4
단축키
이전 문제로 이동은 키를 누르고, 다음 문제로 이동은 키를 누르세요
이전 문제 , 다음 문제
문제(120)
25 차량이 움직이는데 발생하는 엔진외부저항, 즉 주행저항에 속하는 것을 모두 고른 것은? 26 병목흐름(Bottleneck flow)인 상태에서의 도착 차량수와 출발차량수를 누적하여 나타낸 아래의 시간-차량 누적 곡선에 대한 설명으로 옳지 않은 것은? 27 대기행렬이론에서 단일 서비스 시스템에 대한 설명으로 틀린 것은? 28 도로의 일정 구간을 주행하는 각 차량들의 속도가 동일하지 않은 경우 공간평균속도와 시간평균속도의 관계를 옳게 설명한 것은? 29 교통량 조사방법으로 가장 부적합한 것은? 30 자유류 속도가 70km/h인 도로 구간의 차량정지선에 있는 차량이 출발하였을 때, 충격파의 속도(uw)가 –35km/h 이었다. 출발하는 차량의 속도는? 31 어떤 도로의 3km 구간에서 이동차량방법(moving vehicle method)으로 측정한 결과 B차가 주행하면서 만난 반대방향 차량대수가 60대, A차가 추월한 차량이 4대, A차를 추월한 차량이 4대, A차의 주행시간이 5분, B차의 주행시간이 4분 이었을 때, A차가 달리는 방향의 평균 교통량은? 32 신호교차로 접근로의 용량 산정 시, 기본 포화 교통류율이 2200pcphgpl이 되는 이상적인 조건으로 옳지 않은 것은? 33 현장 관측자료를 이용한 속도와 밀도의 관계가 아래와 같을 때, 다음 설명 중 옳지 않은 것은? 34 다음 중 도심부 신호교차로의 서비스수준을 분석할 때 고려하는 지체가 아닌 것은? 35 일련의 신호교차로에서의 교통흐름을 나타내는 시공도(time-space diagram)에서 관측할 수 있는 것으로만 나열한 것은? 36 Webster 방식에 의한 지체를 최소로 하는 최적 주기(C) 산정식은? (단, L : 주기당 총 손실시간, Y : 현시별 임계차로군의 교통량비의 합)
49 도로 설계 시 환경시설대의 설치기준으로 옳은 것은? 50 도로의 구조·시설 기준에 관한 규칙에 따르면 도로의 계획목표연도는 공용개시 계획연도를 기준으로 몇 년 이내로 정하는가? 51 화물터미널 설계 시 고려해야 할 시설로 가장 거리가 먼 것은? 52 인터체인지의 연결로 설계 시 유출입 유형의 일관성을 유지할 경우 얻게 되는 장점이 아닌 것은? 53 도시지역 차도의 평면곡선부 최대편경사 기준으로 옳은 것은? 54 입체교차 변속차로의 설계에 대한 설명으로 옳은 것은? 55 자동차 전용도로의 설계속도는 최소 얼마 이상으로 하는가? (단, 자동차 전용도로가 도시지역에 있거나 소형차도로인 경우는 고려하지 않는다.) 56 도시지역의 일반도로에 주정차대를 설치하는 경우의 최소 폭 기준으로 옳은 것은? (단, 소형자동차를 대상으로 하는 주정차대의 경우는 고려하지 않는다.) 57 노상시설에 해당하지 않는 것은? 58 교차로 진입속도가 50 km/h, 교차로 횡단거리 20m, 차량의 가속도 5.0 m/s2, 차량길이 4m 일 때 적정 황색 시간은? (단, 운전자 반응시간은 1초이다.) 59 도로의 부대시설 중 체인탈착장의 설계 시 유의사항에 대한 설명으로 틀린 것은? 60 노상주차장의 구조·설비기준으로 틀린 것은? (단, 해당 지방자치단체의 조례로 따로 정하거나 기타 사항의 경우는 고려하지 않는다.)
61 도시계획 과정에서 여러 종류의 변수들이 서로 어떤 관계를 갖는지 분석하는 방법으로 옳지 않은 것은? 62 토지구획정리사업에 있어서의 환지설계방법 중 교통 여건, 토지이용상황 등 모든 여건이 토지 가격에 의해 나타난다는 전제 하에 사업 전의 토지 가격을 사업종료 후의 토지 가격에 비례해서 환지하는 방식은? 63 주거 단지 내 도로계획 시 일반적 고려사항이 아닌 것은? 64 용도지구의 종류가 아닌 것은? 65 재정계획에 있어서 계속되는 사업이라도 예산 편성 시 신규사업처럼 능률성, 효과성, 사업의 확대, 축소 여부를 새로이 분석·검토하고 사업의 우선순위를 결정하여 예산과 사업계획에 대한 결정을 하는 제도는? 66 계획이론에 대한 허드슨(Hudson)의 분류에서 린드블룸(Lindblom)이 주창한 것으로 지속적인 조정과 적용을 통해 계획의 목표를 추구하는 접근 방법을 제시한 계획이론은? 67 국토의 계획 및 이용에 관한 법률에서 정의하는 기반시설 중 '공동구'가 해당하는 시설은? 68 다음 중 아디케스법의 기본 개념으로 옳은 것은? 69 토지이용 결정이론에서 선형지대이론의 특징으로 옳은 것은? 70 기능 및 주제에 따른 도시공원의 종류와 내용으로 옳지 않은 것은? 71 도로의 기능별 구분 중 주간선도로를 집산도로 또는 주요 교통발생원과 연결하여 시·군 교통의 집산기능을 하고 근린주거구역의 외곽을 형성하는 도로는? 72 도시의 근린생활권 중 공간적 범위가 큰 단계에서 작은 단계로 올바르게 나열한 것은?
73 국토의 계획 및 이용에 관한 법률에 의한 용도지역 중 관리지역에 해당되지 않는 것은? 74 보행자전용도로의 결정기준으로 옳지 않은 것은? 75 도시·군계획시설로서 도로의 규모별 구분으로 옳지 않은 것은? 76 상위 계획에서 하위 계획 순으로 올바르게 나열한 것은? 77 케빈 린치(Kevin Lynch)가 주장한 도시의 이미지를 결정하는 구성요소에 해당하지 않는 것은? 78 토지이용계획을 입지계획·시설 및 규모 계획·입지 배분 계획으로 분류할 때, 입지배분 계획의 내용으로 적절하지 않은 것은? 79 도시 및 지역경제 분석 방법 중의 하나로, 지역산업의 변화를 내적요인과 외적요인에 해당하는 국가 전체의 성장요인(national share), 산업구조적 요인(industry mix), 지역의 경쟁력 요인(local factor)으로 나누어 파악하고, 이를 통해 지역의 산업성장을 분석하는 방법은? 80 다음과 같은 조건을 가진 도시의 공업지역의 소요면적은? 81 노상주차장의 장애인 전용주차구획 설치에 관한 내용 중 ( ) 에 공통으로 들어갈 숫자로 옳은 것은? 82 도로를 횡단하는 자전거 운전자의 안전을 위하여 기준에 따라 자전거횡단도를 설치할 수 있는 자는? 83 도로법상 도로의 종류에 따른 도로관리청의 연결로 옳지 않은 것은? (단, 국가지원지방도는 특별시, 광역시 또는 특별자치시 관할구역에 있는 구간의 경우는 고려하지 않는다.) 84 국가기간교통망계획과 다른 계획과의 관계에 관한 설명으로 옳은 것은?
85 도로법에 의한 도로의 종류와 등급 분류에 해당되지 않는 것은? 86 도시교통의 원활한 소통과 교통편의 증진을 위해 지정하는 교통혼잡 특별관리구역과 교통혼잡 특별관리시설물의 지정기준으로 옳지 않은 것은? (단, “혼잡시간대”란 일정한 지역이 그 지역을 통과하거나 둘러싼 도로 중 1개 이상의 도로에서 시간대별 평균 통행속도가 시속 15킬로미터 미만인 상태를 뜻한다.) 87 국토교통부장관이 도시교통정비구역으로 지정·고시할 수 있는 도시의 인구 규모 기준이 옳은 것은? 88 도로교통법의 목적과 가장 관계가 먼 것은? 89 국가통합교통체계효율화법규상 국가교통 데이터베이스 점검단 구성 및 운영에 관한 설명으로 옳지 않은 것은? 90 시·군·구 교통안전정책심의위원회에 관한 설명으로 옳지 않은 것은? 91 국가통합교통체계효율화법령상 대통령령으로 정하는 대구모 개발사업의 범위와 면적 기준이 옳지 않은 것은? 92 교통안전법상 국가교통안전기본계획은 몇 년 단위로 수립하여야 하는가? 93 도로교통법규에 따라 차도의 노면으로부터 높이 4.0m인 구조물의 전면에 차 높이 제한표지를 설치하고자 할 때 표시하여야 할 수치는? 94 주차장의 수급(需給) 실태조사에 대한 설명으로 옳지 않은 것은? 95 부설주차장 설치의무가 면제되는 주차대수 규모 기준으로 옳은 것은? 96 국가통합교통체계효율화법에 따른 국가기간교통망계획의 수립에 관한 아래 내용 중 ㉠, ㉡에 들어갈 숫자로 모두 옳은 것은?
109 도로교통 안전프로그램의 내용과 가장 거리가 먼 것은? 110 과속방지턱(speed hump)에 대한 설명으로 옳지 않은 것은? 111 어느 차량이 평지의 도로에서 단속적으로 20m에 이어 40m의 바퀴자국을 남기고 정지하였을 경우 이 차량의 초기 속도는? (단, 노면 마찰계수는 0.5이다.) 112 약한 지주와 강한 레일로 구성되며 충격차량을 억제하기 위하여 주로 레일요소의 작용에 의존하는 노변방호책은? 113 개선 사업을 시행하기 전 연평균 사고건수가 10건, 연평균 ADT가 6000대인 교차로에 사고 감소율이 20%인 교통안전사업을 시행한 후 예측되는 연평균 사고감소 건수는? (단, 이 교차로의 사업시행 후 연평균 ADT는 9000대로 예측된다.) 114 차량 A가 10m 높이의 언덕에서 추락하였다. 추락 후 노면에 떨어진 지점까지의 수평거리가 17m 일 경우 차량 A 의 초기속도는? 115 교통안전 전략으로서 노출통제에 해당하는 것은? 116 사고다발지역 선정 및 도로안전개선사업 시행의 중요성에 대한 설명 중 옳지 않은 것은? 117 지구교통개선사업 등에 널리 적용되고 있는 교통 정온화(Traffic calming) 기법 중 주행속도의 억제 기능을 갖는 대책이 아닌 것은? 118 차가 주행할 때 타이어의 공기압이 적은 상태이면 타이어 접지면이 압축되어 변형하면서 회전하므로 타이어가 물결치는 모양이 되어 파열의 원인이 되는 현상을 무엇이라 하는가? 119 다음의 교통안전 조치 중 이동성을 저해할 수 있는 것은? 120 곡선반경 250m인 도로 구간에서 편주현상(yawing)이 일어나 차량이 전복하는 사고가 발생하였다. 편주혼 시작점의 곡선반경 250m, 편경사 5%, 횡방향 마찰계수가 0.4일 때, 편주가 시작되는 점에서 이 차량의 주행속도는 얼마인가?
App Store Google Play
오늘학습 예시 이미지

시험에 합격하려면
복습을 제대로 해야 합니다.

오늘학습은 스스로 기억을 떠올리고 계획적으로 복습할 수 있도록 설계돼 있어요.
그것도, 가장 과학적인 방식으로요!

능동적 회상

능동적 회상
(Active Recall)

배운 내용을 단순 읽으며 반복하는 것이 아니라,
능동적으로 기억하고 있는지를
스스로 테스트하며
공부할 수 있는
학습 환경을 제공해 학습 효과를 높여요

간격 반복 학습

간격 반복 학습
(Spaced Repetition)

에빙하우스 망각곡선을 바탕으로
가장 최적의 시점에 복습을 제공하여
배운 내용이 잊히지 않도록 장기 기억화해요

Data 기반의
뇌과학적 복습 시스템

학습 결과 Data를 분석해, 문제별 최적화된
반복 학습량을
자동으로 분배해요.
학습에 소요되는 시간을 최소화하는
동시에
단기 기억을 장기 기억으로 전환해줘요.

36만 개 이상의
기출문제 무료 제공

공무원 및 약 300여종의 자격증 시험 기출문제
36만개
이상을 무료로 이용할 수 있어요.
여러 앱을 설치할 필요
없이, 오늘학습 하나로
모든 시험을 준비할 수 있어요.

다양한 문제 유형으로 만드는
나만의 단어장&문제집

기출 외에도 외워야 하는 내용은
객관식, 주관식, 카드, 빈칸
등 다양한 형식으로
직접 만들어 보세요. 내 학습 스타일에
맞게
나만의 단어장과 문제집을 만들 수 있어요.

시험별 체계적인
문제 관리

시험에 문제를 추가해 체계적으로
관리할 수 있어요.
주제나 단원별로
분류하고 싶다면,
시험에 챕터를 만들어
문제를 추가할 수도 있어요.

수십만 명이
오늘학습을 사랑합니다

앱 스토어 평점 4.9
구글 플레이 평점 4.8
누적 회원수 100,000+
지금 오늘학습을
시작해보세요
지금 시작하기
문제 선택