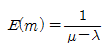
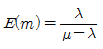
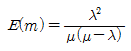
대기행렬이론에서 서비스를 기다리는 평균차량대수를 나타내는 평균대기행렬 길이 (E(m))산정식으로 옳은 것은? (단, λ는 평균도착률, μ는 평균서비스율이다.)
지금 시작하기 →

・・・ 문제은행 교통기사(2021년 3회) 40번

교통기사 2021년 09월 40번

대기행렬이론에서 서비스를 기다리는 평균차량대수를 나타내는 평균대기행렬 길이 (E(m))산정식으로 옳은 것은? (단, λ는 평균도착률, μ는 평균서비스율이다.)

1
2
3
4
단축키
이전 문제로 이동은 키를 누르고, 다음 문제로 이동은 키를 누르세요
이전 문제 , 다음 문제
문제(120)
1 통행수요를 예측하기 위한 비집계모형(disaggregate model)의 장점이 아닌 것은? 2 다음 중 교통투자사업의 수익성이 있다고 판단할 수 있는 내부수익률(IRR)의 조건은? 3 수요곡선이 통행비중 증가에 따라 직선으로 감소하는 어떤 교통시설에 대한 개선 사업이 시행되었다. 개선 이전의 통행비용을 C1, 개선후의 통행비용을 C2, 개선 이전의 통행량을 Q1, 개선 후의 통행량을 Q2라고 할 때, 시설 개선으로 발생된 소비자잉여 측면의 편익은? 4 지하철 요금이 1,200원일 때 승객수요는 8,000명이다. 수요탄력성이 –1.5일 때, 지하철 요금이 1,300원으로 인상되는 경우의 수요는 얼마인가? 5 교통수요 추정방법 중 직접수요추정 모형(Direct demand model)에 해당하지 않는 것은? 6 기존에 버스전용차로로 운영하는 구간을 버스를 포함하는 다인승 차로(HOV lane)로 전환 시 나타날 수 있는 변화가 아닌 것은? 7 지능형 교통체계(ITS)의 목적으로 적합하지 않은 것은? 8 통행배분(Trip Assignment)을 위하여 사용되는 자료로 가장 거리가 먼 것은? 9 폐쇄선 설정 시 고려할 사항으로 옳지 않은 것은? 10 도로의 규모별 구분 중 광로 3류의 최소 폭원기준으로 옳은 것은? 11 아래의 정의에 해당하는 것은? 12 총 300부의 설문지를 배포하여 주소불명으로 5분가 되돌아 왔으며 그 외 응답자수는 286부가 회수되었고, 여기서 분석에 사용된 응답자는 147부였다면 유효응답률은?
25 양방향 2차로인 장대터널의 한 쪽 방향에서 차량들이 50km/h의 속도로 주행 중이며, 밀도는 25대/km이다. 이 때 승용차 한 대가 고장 나서 10km/h로 주행을 시작했고 이 상황과 관련한 교통량 밀도가 아래와 같을 때, 해당 교통류의 특성에 대한 설명으로 가장 거리가 먼 것은? 26 속도누적분포에서 일반적으로 교통류 내의 합리적인 속도의 최대값을 나타내어 현장의 도로조건에 적합한 교통운영 계획을 세우는 데 기준이 되는 속도는? 27 확률분포를 계수분포와 간격 분포로 구분할 때 계수분포에 해당하지 않는 것은? 28 일방 통행제의 장점이 아닌 것은? 29 차량 속도가 50km/h, 교차로 폭이 20m인 도로에서의 적정 황색 시간은? (단, 차량의 감속도: 4.5sec2, 차량길이: 5m, 운전자 반응시간: 1.5초) 30 아래 그림과 같이 교차로의 각 방향별 교통통제를 하고자 할 때, 최소 신호 현시 수는 얼마인가? (단, 비보호 좌회전은 없는 것으로 한다.)(문제 오류로 그림이 없습니다. 정확한 내용을 아시는분께서는 자유게시판 또는 관리자 메일로 그림 전송 부탁 드립니다. 정답은 2번입니다.) 31 지체를 최소로 하는 주기를 구하는 Webster 공식에 대한 설명으로 옳은 것은? 32 차량의 회전저항(rolling resistance)에 관한 설명으로 옳지 않은 것은? 33 연속교통류의 교통량, 속도, 밀도의 관계식에서 사용되는 속도의 종류는? 34 완전 감응 신호기(Full-actuated signal)의 기본 운영방식에 대한 설명이 틀린 것은? 35 90km/h의 속도로 주행하는 차량의 최소 정지거리는 약 얼마인가? (단, 평지이며 타이어-노면의 마찰계수는 0.4, 운전자 반응시간은 1.5초이다.) 36 다음 설명에 해당하는 교통류 모형은?
73 기능별 구분에 따른 도로의 배치간격기준으로 옳지 않은 것은? 74 현재 도시의 인구가 50만 명이고, 매년 인구가 25,000명씩 증가할 때, 12년 후의 예상 인구는? 75 격자형 도로망에 대한 설명으로 옳지 않은 것은? 76 넬슨과 듀칸이 제시한 도시 성장관리(Grovith management) 정책의 목적이 아닌 것은? 77 교통로를 따라 형성되는 선형 도시(LinearCity)의 제안자는? 78 도시공원 및 녹지 등에 관한 법령의 정의에 따라 생활권 공원에 해당하지 않는 것은? 79 다음의 도시계획 이론 중 허드슨(Hudson)의 분류에 해당하지 않는 것은? 80 건폐율이 65%, 용적률이 910%일 때 건물의 층수는? (단, 모든 층의 바닥 면적은 동일하다.) 81 대도시권 광역교통 관리에 관한 특별법령상대도시권의 권역 구분 및 범위가 틀린 것은? 82 도로법령상 접도구역(接道區域)을 지정할 때에는 소관 도로의 경계선에서 최대 몇 미터를 초과하지 아니하는 범위에서 지정하여야 하는가? (단, 고속국도 및 기타의 경우는 고려하지 않는다.) 83 대중교통의 육성 및 이용촉진에 관한 법률상 아래의 정의에 해당하는 것은? 84 국가통합교통체계효율화법상 사람 또는 화물의 운송과 관련된 활동을 효과적으로 수행하기 위하여 서로 유기적으로 연계된 교통수단, 교통시설 및 교통운영과 이와 관련된 산업 및 제도를 나타내는 명칭은?
85 도로법에 의한 도로의 종류가 아닌 것은? 86 도로법령상 도로의 부속물에 해당하지 않는 것은? 87 대도시권 광역교통관리에 관한 특별법령상 ‘광역철도’표정속도의 최저 기준은? (단, 도시철도를 연장하는 광역철도는 제외) 88 교통안전법상 교통안전에 관한 주요 정책과 국가교통안전기본계획 등을 심의하는 기관은? 89 도로교통법상 고속도로의 정의로 옳은 것은? 90 주차장법령상 시설물의 부지 인근에 단독 또는 공동으로 부설주차장을 설치할 수 있는 부설주차장의 규모 기준은? 91 주차장법령상 부설주차장의 설치의무를 면제받으려는 자가 시장ㆍ군수 또는 구청장에게 제출하여야 하는 주차장 설치의무 면제신청서의 기재사항이 아닌 것은? 92 도로교통법상 도로를 횡단하는 보행자나 통행하는 차마의 안전을 위하여 안전표지나 이와 비슷한 인공구조물로 표시한 도로의 부분을 무엇이라 하는가? 93 도시교통정비촉진법령에 따른 교통혼잡 특별관리구역과 교통혼잡 특별관리시설물의 지정기준으로 옳지 않은 것은? (단, “혼잡시간대”란 일정한 지역이 그 지역을 통과하거나 둘러싼 도로 중 1개 이상의 도로에서 시간대별 평균 통행속도가 시속 15킬로미터 미만인 상태를 뜻한다.) 94 국가통합교통체계 효율화법상 국가교통조사와 관련한 아래 설명에서 ( )에 들어갈 내용으로 옳은 것은? 95 도로교통법상 교차로 통행방법에 대한 설명이 옳지 않은 것은? 96 국가통합교통체계 효율화법령상 복합환승센터가 소재하는 특별시ㆍ광역시ㆍ특별자치시ㆍ특별자치도 또는 시ㆍ군(광역시에 있는 군 제외)의 해당지방자치단체의 장은 복합환승센터의 건폐율, 용적률 및 높이 제한에 관하여 그 용도지역에서 적용되는 건페율, 용적률 및 높이 제한의 얼마를 초과하지 않는 범위에서 달리 정할 수 있는가?
97 주차장법령상 부설주차장을 설치하는 자가 시설물의 건축 또는 설치에 관한 허가를 신청하거나 신고할 때 부설주차장 설치계획서에 첨부하여야 할 서류 또는 도면에 해당하지 않는 것은? (단, 시설물의 부지 인근에 부설주차장을 설치하는 경우) 98 도로교통법령상 신호등의 등화의 밝기는 낮에 몇 m 앞쪽에서 식별할 수 있는 성능을 가진 것이어야 하는가? 99 도시교통정비촉진법상 국토교통부장관이 도시교통정비지역으로 지정ㆍ고시할 수 있는 기준으로 옳은 것은? (단, 도농복합형태의 시가 아닌 경우) 100 도시교통정비촉진법령상 교통유발부담금의 부과는 해당 시설물의 각 층 바닥면적을 합한 면적이 최소 얼마 이상인 것을 대상으로 하는가? (단, 주택법의 규정에 따른 주택단지에 위치한 시설물로서 도로변에 위치하지 아니한 시설물인 경우는 고려하지 않는다.) 101 교차로에서 좌회전 교통량이 많아 발생하는 좌회전 충돌사고를 방지하기 위한 대책으로 가장 거리가 먼 것은? 102 보행자의 안전한 차도부 횡단을 위해 보행이 빈번한 지점에 설치하는 시설물인 보행 횡단보도 중2단형 횡단보도로서 차도 중앙에 교통섬이 있는 형태로 넓은 도로에서 교통처리의 효율 제고를 위해 적용되는 횡단보도는? 103 교통안전법령에 따라 교통시설안전진단을 받아야 하는 대상에 해당하지 않는 것은? 104 교통사고 조사 시 차량의 타이어가 구르면서 나타나는 자국인 스커프 마크(Scuff mark)에 해당하지 않는 것은? 105 교통안전도 평가 시, 어떤 특정지역의 교통사고 현황을 그 특정지점과 참조지점의 교통사고기록과 결합하여 교통사고의 불확실성으로 인한 교통안전도 평가의 왜곡현상을 극복하고자 사용하는 이론은? 106 충돌도(Collision diagram)에 관한 설명으로 틀린 것은? 107 교차로에서 5년간 발생한 교통사고가 10건, 일평균 교통량이 2,000대일 경우 차량 1백만대당 사고율은? 108 교차로에서 황색신호가 켜지는 순간에 그대로진행하더라도 교차로 통과가 가능하고, 임계감속도로 감속하더라도 정지선에 어려움 없이 정지할 수 있는 구간의 명칭과 해당 구간이 발생하는 원인이 모두 옳은 것은?
109 내리막길에서 급제동을 자주 계속하면 브레이크 슈와 드럼 및 휠실린더가 열을 받아 브레이크 오일이 끓어서 브레이크 파이프 내에 기포가 발생하여 제동이 잘 안 되는 현상을 무엇이라 하는가? 110 다음 방호울타리의 종류 중 충격에너지를 흡수하는 것보다는 충격 시 차량의 도로 밖 이탈을 억제하여 차량을 복귀시키는 것이 우선적으로 필요한 곳에 설치하면 가장 적합한 것은? 111 제한된 시기에 의해 발생하는 비신호 교차로에서의 직각 충돌에 대한 일반적 예방책으로 가장 거리가 먼 것은? 112 교통사고의 노출도(Exposure rate)를 설명하는 변수로 일반적으로 활용되지 않는 것은? 113 원호형 과속방지턱의 제원 기준이 옳은 것은? 114 어느 지역의 교통사고 다발 지점을 개선한 경우 해당 개선 지점의 교통사고는 개선전에 비해 감소하지만, 주변의 다른 지점에서 사고가 발생하는 경우가 있다. 이는 다음 중 어떤 요인이 가장 큰 영향을 미치기 때문인가? 115 교통사고 예방을 위한 3E가 아닌 것은? 116 도로를 주행하다가 갑자기 터널에 들어가면 눈이 적응하기 위해 약간의 시간이 소요된다. 이렇게 밝은 곳에서 어두운 곳으로 이동할 때 일어나는 현상을 무엇이라 하는가? 117 다음 중 교통사고의 재현에 필요한 자료가 아닌 것은? 118 일반적인 교차로의 사고방지대책이 아닌 것은? 119 어느 지점의 연간 교통사고 건수는 20건, 일교통량은 1000대이다. 이 지점에 교통안전시설을 설치하는 경우, 사고감소율을 20%, 장래의 일교통량을 1500대로 예상할 때 예측되는 사고감소 건수는? 120 주행 중이던 차량이 급정거하면서 스키드마크가 15m길이로 나타난 다음 3m를 지나서 다시 20m가 계속되었을 때, 이 차량의 제동 전 초기속도는 약 얼마인가? (단, 타이어와 노면의 마찰계수는 0.7이고 평탄한 구간이다.)
App Store Google Play
오늘학습 예시 이미지

시험에 합격하려면
복습을 제대로 해야 합니다.

오늘학습은 스스로 기억을 떠올리고 계획적으로 복습할 수 있도록 설계돼 있어요.
그것도, 가장 과학적인 방식으로요!

능동적 회상

능동적 회상
(Active Recall)

배운 내용을 단순 읽으며 반복하는 것이 아니라,
능동적으로 기억하고 있는지를
스스로 테스트하며
공부할 수 있는
학습 환경을 제공해 학습 효과를 높여요

간격 반복 학습

간격 반복 학습
(Spaced Repetition)

에빙하우스 망각곡선을 바탕으로
가장 최적의 시점에 복습을 제공하여
배운 내용이 잊히지 않도록 장기 기억화해요

Data 기반의
뇌과학적 복습 시스템

학습 결과 Data를 분석해, 문제별 최적화된
반복 학습량을
자동으로 분배해요.
학습에 소요되는 시간을 최소화하는
동시에
단기 기억을 장기 기억으로 전환해줘요.

36만 개 이상의
기출문제 무료 제공

공무원 및 약 300여종의 자격증 시험 기출문제
36만개
이상을 무료로 이용할 수 있어요.
여러 앱을 설치할 필요
없이, 오늘학습 하나로
모든 시험을 준비할 수 있어요.

다양한 문제 유형으로 만드는
나만의 단어장&문제집

기출 외에도 외워야 하는 내용은
객관식, 주관식, 카드, 빈칸
등 다양한 형식으로
직접 만들어 보세요. 내 학습 스타일에
맞게
나만의 단어장과 문제집을 만들 수 있어요.

시험별 체계적인
문제 관리

시험에 문제를 추가해 체계적으로
관리할 수 있어요.
주제나 단원별로
분류하고 싶다면,
시험에 챕터를 만들어
문제를 추가할 수도 있어요.

수십만 명이
오늘학습을 사랑합니다

앱 스토어 평점 4.9
구글 플레이 평점 4.8
누적 회원수 100,000+
지금 오늘학습을
시작해보세요
지금 시작하기
문제 선택