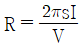
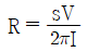
저항성 탐사에서의 토양의 저항성(R)을 나타내는 깃은? (단, I는 전류, s는 전극 간격, V는 측정 전압을 의미한다.)
지금 시작하기 →

・・・ 문제은행 폐기물처리기사(2020년 2회) 22번

폐기물처리기사 2020년 08월 22번

저항성 탐사에서의 토양의 저항성(R)을 나타내는 깃은? (단, I는 전류, s는 전극 간격, V는 측정 전압을 의미한다.)

1
2
3
4
단축키
이전 문제로 이동은 키를 누르고, 다음 문제로 이동은 키를 누르세요
이전 문제 , 다음 문제
문제(100)
1 슬러지를 처리하기 위하여 생슬러지를 분석한 결과 수분은 90%, 총고형물 중 휘발성 고형물은 70%, 휘발성 고형물의 비중은 1.1, 무기성 고형물의 비중은 2.2일 때 생슬러지의 비중은? (단, 무기성 고형물 + 휘발성 고형물 = 총고형물) 2 폐기물처리장치 중 쓰레기를 물과 섞어 잘게 부순 뒤 다시 물과 분리시키는 습식처리장치는? 3 폐기물 파쇄기에 대한 설명으로 틀린 것은? 4 폐기물의 관거(Pipeline)을 이용한 수송 방법 중 공기를 이용한 방법이 아닌 것은? 5 고정압축기의 작동에 대한 용어로 가장 거리가 먼 것은? 6 쓰레기를 압축시킨 후 용적이 45% 감소되었다면 압축비는? 7 4%의 고형물을 함유하는 슬러지 300m3를 탈수 시켜 70%의 함수율을 갖는 케이크를 얻었다면 탈수된 케이크의 양(m3)은? (단, 슬러지의 밀도 = 1ton/m3) 8 폐기물의 발생량 예측방법이 아닌 것은? 9 쓰레기 발생량 예측방법 중 모든 인자를 시간에 대한 함수로 나타낸 후, 시간에 대한 함수로 표현된 각 영향 인자들 간의 상관관계를 수식화하는 방법은? 10 쓰레기의 관리체계가 순서대로 올바르게 나열한 것은? 11 폐기물의 성상 분석의 절차로 알맞은 것은? 12 함수량이 30%인 쓰레기를 건조기준으로 원소성분 및 열량계로 열량을 측정한 결과가 다음과 같을 때 저위발열량(kcal/kg)은? (단, 발열량 = 3,300kcal/kg, C 65%, H 20%, S 5%)
13 환경경영체제(ISO–14000)에 대한 설명으로 가장 거리가 먼 내용은? 14 투입량이 1ton/hr이고 회수량이 600kg/hr(그 중 회수대상물질은 500kg/hr)이며, 제거량은 400kg/hr(그 중 회수대상물질은 100kg/hr)일 때 선별효율(%)은? (단, Worrell식 적용) 15 LCA의 구성요소로 가장 거리가 먼 것은? 16 폐기물의 파쇄 목적이 잘못 기술된 것은? 17 쓰레기 수거효율이 가장 좋은 방식은? 18 스크린상에서 비중이 다른 입자의 층을 통과하는 액류를 상하로 맥동시켜서 층의 팽창수축을 반복하여 무거운 입자는 하층으로 가벼운 입자는 상층으로 이동시켜 분리하는 중력분리 방법은? 19 도시에서 폐기물 발생량이 185,000톤/년, 수거 인부는 1일 550명, 인구는 250,000명이라고 할 때 1인 1일 폐기물 발생량(kg/인·day)은? (단, 1년 365일 기준) 20 폐기물 수집 운반을 위한 노선 설정 시 유의할 사항으로 가장 거리가 먼 것은? 21 매립지 입지선정절차 중 후보지 평가단계에서 수행해야 할 일로 가장 거리가 먼 것은? 22 저항성 탐사에서의 토양의 저항성(R)을 나타내는 깃은? (단, I는 전류, s는 전극 간격, V는 측정 전압을 의미한다.) 23 친산소성 퇴비화 과정의 온도와 유기물의 분해속도에 대한 일반적인 상관관계로 옳은 것은? 24 침출수의 혐기성 처리에 대한 설명으로 옳지 않은 것은?
25 스크린 선별에 대한 설명으로 옳은 것은? 26 용적이 1,000m3인 슬러지 혐기성 소화조에서 함수율 95%의 슬러지를 하루에 20m3를 소화시킨다면 이 소화조의 유기물 부하율(kgvs/m3·day)은? (단, 슬러지 고형물 중 무기물 비율은 40%이고, 슬러지의 비중은 1.0으로 가정한다.) 27 유기성 폐기물의 C/N비는 미생물의 분해 대상인 기질의 특성으로 효과적인 퇴비화를 위해 가장 직접적인 중요 인자이다. 일반적으로 초기 C/N비로 가장 적합한 것은? 28 3,785m3/일 규모의 하수처리장에 유입되는 BOD와 SS농도가 각각 200mg/L이다. 1차 침전에 의하여 SS는 60%가 제거되고, 이에 따라 BOD도 30% 제거된다. 후속처리인 활성슬러지 공법(폭기조)에 의해 남은 BOD의 90%가 제거되며 제거된 kgBOD 당 0.2kg의 슬러지가 생산된다면 1차 침전에서 발생한 슬러지와 활성슬러지공법에 의해 발생된 슬러지량의 총합(kg/일)은? (단, 비중은 1.0 기준, 기타 조건은 고려 안함) 29 매립지 차수막으로서의 점토 조건으로 적합하지 않은 것은? 30 고형화 처리 중 시멘트 기초법에서 가장 흔히 사용되는 포틀랜드 시멘트 화합물 조성 중 가장 많은 부분을 차지하고 있는 것은? 31 분뇨를 호기성 소화 방식으로 일 500m3 부피를 처리하고자 한다. 1차 처리에 필요한 산기관수는? (단, 분뇨 BOD 20,000mg/L, 1차 처리효율 60%, 소요 공기량 50m3/BODkg, 산기관 통풍량 0.5m3/min·개) 32 컬럼의 유입구와 유출구 사이에 수리학적 수두의 차이가 없을 때 오염물질은 무엇에 따라 다공성 매체를 이동하는가? 33 6가크롬을 함유한 유해폐기물의 처리방법으로 가장 적절한 것은? 34 유기염소계 화학물질을 화학적 탈염소화 분해할 경우 적합한 기술이 아닌 것은? 35 매립지 기체 발생단계를 4단계로 나눌 때 매립초기의 호기성 단계(혐기성 전단계)에 대한 설명으로 옳지 않은 것은? 36 매립지의 표면차수막에 관한 설명으로 옳지 않은 것은?
49 용적밀도가 800kg/m3인 폐기물을 처리하는 소각로에서 질량감소율과 부피감소율이 각각 90%, 95%인 경우 이 소각로에서 발생하는 소각재의 밀도(kg/m3)는? 50 연소가스 흐름에 따라 소각로의 형식을 분류한다. 폐기물의 이송방향과 연소가스의 흐름방향이 반대로 향하고, 폐기물의 질이 나쁜 경우에 적당한 방식은? 51 다음과 같은 조건으로 연소실을 설계할 때 필요한 연소실의 크기(m3)는? 52 폐기물의 물리화학적 분석 결과가 아래와 같을 때, 이 폐기물의 저위발열량(kcal/kg)은? (단, Dulong식 적용)(단위:wt%) 53 폐기물 소각공정에서 발생하는 소각재 중 비산재(Fly Ash)의 안정화 처리기술과 가장 거리가 먼 것은? 54 소각공정과 비교하였을 때, 열분해공정이 갖는 단점이라 볼 수 없는 것은? 55 Thermal NOx에 대한 설명 중 틀린 것은? 56 황 성분이 0.8%인 폐기물을 20ton/h 성능의 소각로로 연소한다. 배출되는 배기가스 중 SO2를 CaCO3로 완전히 탈황하려 할 때, 하루에 필요한 CaCO3의 양(ton/day)은? (단, 폐기물 중의 S는 모두 SO2로 전환되며 소각로의 1일 가동시간은 16시간, Ca 원자량은 40이다.) 57 소각로 공사 및 운전과정에서 발생하는 악취, 소음, 배출가스 등의 발생원인별 개선방안으로 거리가 먼 것은? 58 초기 다단로 소각로(multiple hearth)의 설계 시 목적 소각물은? 59 화격자에 대한 설명 중 틀린 것은? 60 소각로에서 하루 10시간 조업에 10,000kg의 폐기물을 소각 처리한다. 소각로 내의 열부하는 30,000kcal/m3·hr이고 로의 체적은 15m3일 때 폐기물의 발열량(kcal/kg)은?
61 다음 중 1μg/L와 동일한 농도는? (단, 액상의 비중 = 1) 62 유기물 함량이 비교적 높지 않고 금속의 수산화물, 산화물, 인산염 및 황화물을 함유하고 있는 시료에 적용되는 전처리 방법은? 63 정도 보증/정도 관리에 적용하는 기기검출한계에 관한 내용으로 ( )에 옳은 것은? 64 자외선/가시선 분광법으로 구리를 측정할 때 알칼리성에서 다이에틸다이티오카르바민산 나트륨과 반응하여 생성되는 킬레이트 화합물의 색으로 옳은 것은? 65 환경측정의 정도보증/정도관리(QA/AC)에서 검정곡선방법으로 옳지 않은 것은? 66 온도에 관한 기준으로 옳지 않은 것은? 67 환원기화법(원자흡수분광광도법)으로 수은을 측정할 때 시료 중에 염화물이 존재할 경우에 대한 설명으로 옳지 않은 것은? 68 수은을 원자흡수분광광도법으로 정량하고자 할 때 정량한계(mg/L)는? 69 자외선/가시선 분광법에 의한 납의 측정시료에 비스무스(Bi)가 공존하면 시안화칼륨 용액으로 수회 씻어도 무색이 되지 않는다. 이 때 납과 비스무스를 분리하기 위해 추출된 사염화탄소층에 가해주는 시약으로 적절한 것은? 70 시료 채취에 관한 내용으로 ( )에 옳은 것은? 71 함수율 85%인 시료인 경우, 용출시험결과에 시료 중의 수분함량 보정을 위하여 곱하여야 하는 값은? 72 청석면의 형태와 색상으로 옳지 않는 것은? (단, 편광현미경법 기준)
73 세균배양 검사법에 의한 감염성 미생물 분석 시 시료의 채취 및 보존방법에 관한 내용으로 ( )에 적절한 것은? 74 자외선/가기선 분광법으로 크롬을 측정할 때 시료 중 총 크롬을 6가크롬으로 산화시키는 데 사용되는 시약은? 75 다음 시약 제조 방법 중 틀린 것은? 76 원자흡수분광광도계에 대한 설명으로 틀린 것은? 77 폐기물 시료에 대해 강열감량과 유기물함량을 조사하기 위해 다음과 같은 실험을 하였다. 아래와 같은 결과를 이용한 강열감량(%)은? 78 기체크로마토그래피를 적용한 유기인 분석에 관한 내용으로 틀린 것은? 79 밀도가 0.3ton/m3인 쓰레기 1,200m3가 발생되어 있다면 폐기물의 성상분석을 위한 최소 시료수(개)는? 80 자외선/가시선 분광광도계에서 사용하는 흡수셀의 준비 사항으로 가장 거리가 먼 것은? 81 폐기물 처리시설의 중간처분시설 중 화학적 처분시설에 해당되는 것은? 82 환경부령으로 정하는 폐기물처리시설의 설치를 마친 자는 환경부령으로 정하는 검사기관으로부터 검사를 받아야 한다. 검사를 받으려는 자가 검사를 받기 위해 검사기관에 제출하는 검사신청서에 첨부하여야 하는 서류가 아닌 것은? (단, 음식물류 폐기물 처리시설의 경우) 83 폐기물처리업의 변경허가를 받아야 하는 중요사항에 관한 내용으로 틀린 것은? (단, 폐기물 수집·운반업 기준) 84 폐기물의 수집·운반·보관·처리에 관한 구체적 기준 및 방법에 관한 설명으로 옳지 않은 것은?
85 폐기물의 광역관리를 위해 광역 폐기물 처리시설의 설치·운영을 위탁할 수 있는 자에 해당되지 않는 것은? 86 폐기물처리시설의 사용종료 또는 폐쇄신고를 한 경우에 사후관리 기간의 기준은 사용종료 또는 폐쇄 신고를 한 날부터 몇 년 이내인가? 87 폐기물 처리업에 종사하는 기술요원, 폐기물 처리시설의 기술관리인, 그 밖에 대통령령으로 정하는 폐기물 처리담당자는 환경부령으로 정하는 교육기관이 실시하는 교육을 받아야 함에도 불구하고 이를 위반하여 교육을 받지 아니한 자에 대한 과태료 처분 기준은? 88 주변 지역 영향조사 대상 폐기물 처리시설 기준으로 옳은 것은? (단, 동일 사업장에 1개의 소각시설이 있는 경우) 89 환경정책기본법에 따른 용어의 정의로 옳지 않은 것은? 90 환경부장관이나 시·도지사가 폐기물 처리업자에게 영업의 정지를 명령하고자 할 때 천재지변이나 그 밖의 부득이한 사유로 해당 영업을 계속하도록 할 필요가 있다고 인정되는 경우 영업정지에 갈음하여 부과할 수 있는 과징금의 범위 기준으로 옳은 것은? 91 폐기물처리시설의 사후관리업무를 대행할 수 있는 자로 옳은 것은? (단, 그 밖에 환경부장관이 사후관리 대행할 능력이 있다고 인정하고 고시하는 자는 고려하지 않음) 92 폐기물처리시설의 유지, 관리를 위해 기술 관리인을 두어야 하는 폐기물 처리시설의 기준으로 옳지 않은 것은? (단, 폐기물 처리업자가 운영하는 폐기물 처리시설은 제외한다.) 93 폐기물관리법에서 용어의 정의로 옳지 않은 것은? 94 폐기물처리 신고자에게 처리금지를 갈음하여 부과할 수 있는 최대 과징금은? 95 폐기물처리업의 업종이 아닌 것은? 96 사후관리이행보증금의 사전적립 대상이 되는 폐기물을 매립하는 시설의 규모 기준으로 옳은 것은?
App Store Google Play
오늘학습 예시 이미지

시험에 합격하려면
복습을 제대로 해야 합니다.

오늘학습은 스스로 기억을 떠올리고 계획적으로 복습할 수 있도록 설계돼 있어요.
그것도, 가장 과학적인 방식으로요!

능동적 회상

능동적 회상
(Active Recall)

배운 내용을 단순 읽으며 반복하는 것이 아니라,
능동적으로 기억하고 있는지를
스스로 테스트하며
공부할 수 있는
학습 환경을 제공해 학습 효과를 높여요

간격 반복 학습

간격 반복 학습
(Spaced Repetition)

에빙하우스 망각곡선을 바탕으로
가장 최적의 시점에 복습을 제공하여
배운 내용이 잊히지 않도록 장기 기억화해요

Data 기반의
뇌과학적 복습 시스템

학습 결과 Data를 분석해, 문제별 최적화된
반복 학습량을
자동으로 분배해요.
학습에 소요되는 시간을 최소화하는
동시에
단기 기억을 장기 기억으로 전환해줘요.

36만 개 이상의
기출문제 무료 제공

공무원 및 약 300여종의 자격증 시험 기출문제
36만개
이상을 무료로 이용할 수 있어요.
여러 앱을 설치할 필요
없이, 오늘학습 하나로
모든 시험을 준비할 수 있어요.

다양한 문제 유형으로 만드는
나만의 단어장&문제집

기출 외에도 외워야 하는 내용은
객관식, 주관식, 카드, 빈칸
등 다양한 형식으로
직접 만들어 보세요. 내 학습 스타일에
맞게
나만의 단어장과 문제집을 만들 수 있어요.

시험별 체계적인
문제 관리

시험에 문제를 추가해 체계적으로
관리할 수 있어요.
주제나 단원별로
분류하고 싶다면,
시험에 챕터를 만들어
문제를 추가할 수도 있어요.

수십만 명이
오늘학습을 사랑합니다

앱 스토어 평점 4.9
구글 플레이 평점 4.8
누적 회원수 100,000+
지금 오늘학습을
시작해보세요
지금 시작하기
문제 선택