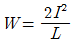
자기인덕턴스 L[H]의 코일에 전류 I[A]를 흘렸을 때 여기에 축적되는 에너지 W는 몇 [J]인가?
지금 시작하기 →

・・・ 문제은행 승강기기능사(2012년 1회) 52번

승강기기능사 2012년 02월 52번

자기인덕턴스 L[H]의 코일에 전류 I[A]를 흘렸을 때 여기에 축적되는 에너지 W는 몇 [J]인가?

1
2
3
4
단축키
이전 문제로 이동은 키를 누르고, 다음 문제로 이동은 키를 누르세요
이전 문제 , 다음 문제
문제(60)
25 산업재해의 발생 원인으로 불안전한 행동이 많은 사고의 원인이 되고 있다. 이에 해당되지 않은 것은? 26 일반적인 안전대책의 수립 방법으로 가장 알맞은 것은? 27 와이어 로프 안전율의 산출공식의로 옳은 것은? (단, F:안전율, s:로프 1가닥에 대한 제작사 정격 파단강도, N:부하를 받는 와이어 로프의 가닥수, W:카와 정격하중을 승강로 안의 어떤 위치에 두고 모든 카 로프에 걸리는 최대정지부하 임) 28 매일 작업 전, 후 등의 점검에 해당하는 것은? 29 승강기 카 상부에서 점검 및 작업을 할 때 주의하여야 할 사항이 아닌 것은? 30 고장 및 정전시 카내의 승객을 구출하기 위한 비상 천장 구출구에 대한 설명으로 옳지 않은 것은? 31 유압잭에 대한 설명으로 옳지 않은 것은? 32 엘리베이터의 승강장 문이 닫혀 있을 경우 승강장에서 몇[㎝]이상 열려지지 않아야 하는가? (단, 상하 개폐문 및 중앙개폐문이 아니며, 화물용 상승 개폐문이 아닌 경우이다.) 33 조속기의 기계적인 작동을 하는 2차 동작시점은 정격속도의 몇배 이하인가? 34 로프식 엘리베이터에서 주로프의 끝 부분은 몇 가닥 마다 로프 소켓에 바빗트 채움을 하거나 체결식 로프소켓을 사용하여 고정하여야 하는가? 35 에스컬레이터의 안전장치가 아닌 것은? 36 엘리베이터 전동기 주회로의 사용전압이 380V이면 절연저항은 몇[㏁]이상이어야 하는가?
App Store Google Play
오늘학습 예시 이미지

시험에 합격하려면
복습을 제대로 해야 합니다.

오늘학습은 스스로 기억을 떠올리고 계획적으로 복습할 수 있도록 설계돼 있어요.
그것도, 가장 과학적인 방식으로요!

능동적 회상

능동적 회상
(Active Recall)

배운 내용을 단순 읽으며 반복하는 것이 아니라,
능동적으로 기억하고 있는지를
스스로 테스트하며
공부할 수 있는
학습 환경을 제공해 학습 효과를 높여요

간격 반복 학습

간격 반복 학습
(Spaced Repetition)

에빙하우스 망각곡선을 바탕으로
가장 최적의 시점에 복습을 제공하여
배운 내용이 잊히지 않도록 장기 기억화해요

Data 기반의
뇌과학적 복습 시스템

학습 결과 Data를 분석해, 문제별 최적화된
반복 학습량을
자동으로 분배해요.
학습에 소요되는 시간을 최소화하는
동시에
단기 기억을 장기 기억으로 전환해줘요.

36만 개 이상의
기출문제 무료 제공

공무원 및 약 300여종의 자격증 시험 기출문제
36만개
이상을 무료로 이용할 수 있어요.
여러 앱을 설치할 필요
없이, 오늘학습 하나로
모든 시험을 준비할 수 있어요.

다양한 문제 유형으로 만드는
나만의 단어장&문제집

기출 외에도 외워야 하는 내용은
객관식, 주관식, 카드, 빈칸
등 다양한 형식으로
직접 만들어 보세요. 내 학습 스타일에
맞게
나만의 단어장과 문제집을 만들 수 있어요.

시험별 체계적인
문제 관리

시험에 문제를 추가해 체계적으로
관리할 수 있어요.
주제나 단원별로
분류하고 싶다면,
시험에 챕터를 만들어
문제를 추가할 수도 있어요.

수십만 명이
오늘학습을 사랑합니다

앱 스토어 평점 4.9
구글 플레이 평점 4.8
누적 회원수 100,000+
지금 오늘학습을
시작해보세요
지금 시작하기
문제 선택