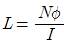
귄수 N의 코일에 I(A)의 전류가 흘러 권선 1회의 코일에서 자속 ø(Wb)가 생겼다면 자기인덕턴스(L)는 몇 H인가?
지금 시작하기 →

・・・ 문제은행 승강기기능사(2015년 1회) 53번

승강기기능사 2015년 01월 53번

귄수 N의 코일에 I(A)의 전류가 흘러 권선 1회의 코일에서 자속 ø(Wb)가 생겼다면 자기인덕턴스(L)는 몇 H인가?

1
2
3
4
단축키
이전 문제로 이동은 키를 누르고, 다음 문제로 이동은 키를 누르세요
이전 문제 , 다음 문제
문제(60)
1 전기식 엘리베이터 기계실의 실온 범위는? 2 교류 엘리베이터의 제어방식이 아닌 것은? 3 전기식 엘리베이터에서 카 비상정지장치의 작동을 위한 조속기는 정격속도 몇 %이상의 속도에서 작동되어야 하는가?(단, 13년 개정 전 과속스위치는 1.3배 이하에서 작동) 4 엘리베이터의 가이드레일에 대한 치수를 결정할 때 유의해야 할 사항이 아닌 것은? 5 카가 최상층 및 최하층을 지나쳐 주행하는 것을 방지하는 것은? 6 다음 중 승강기 도어시스템과 관계없는 부품은? 7 사람이 탑승하지 않으면서 적재용량 1톤 미만의 소형화물 운반에 적합하게 제작된 엘리베이터는?(오류 신고가 접수된 문제입니다. 반드시 정답과 해설을 확인하시기 바랍니다.) 8 승강기에 사용되는 전동기의 소요 동력을 결정하는 요소가 아닌 것은? 9 유압 엘리베이터의 동력전달 방법에 따른 종류가 아닌 것은? 10 카의 실제 속도와 속도지령장치의 지령속도를 비교하여 사이리스터의 점호각을 바꿔 유도전동기의 속도를 제어하는 방식은? 11 유압 엘리베이터의 유압 파워유니트와 압력배관에 설치되며, 이것을 닫으면 실린더의 기름이 파워유니트로 역류되는 것을 방지하는 밸브는? 12 상승하던 에스컬레이터가 갑자기 하강방향으로 움직일 수 있는 상황을 방지하는 안전장치는?
37 카 도어록이 설치되어 사람의 힘으로 열 수 없는 경우나 화물용 엘리베이터의 경우를 제외하고 엘리베이터의 카 바닥 앞부분과 승강로 벽과의 수평거리는 일반적인 경우 그 기준을 몇 mm 이하로 하도록 하고 있는가? 38 승강기의 트랙션비를 설명한 것 중 옳지 않은 것은? 39 무빙워크 이용자의 주의표시를 위한 표시판 또는 표지내에 표시되는 내용이 아닌 것은? 40 공칭속도 0.5m/s 무부하 상태의 에스컬레이터 및 하강방향으로 움직이는 제동부하 상태의 에스컬레이터의 정지거리는? 41 과부하감지장치에 대한 설명으로 틀린 것은? 42 유압식 엘리베이터에서 바닥맞춤보정장치는 몇 mm 이내에서 작동상태가 양호하여야 하는가? 43 로프식(전기식)엘리베이터에 있어서 기계실내의 조명, 환기상태 점검 시에 운전을 중지하고 긴급수리를 해야 하는 경우는? 44 전자접촉기 등의 조작회로를 접지하였을 경우, 당해 전자접촉기 등이 폐로될 염려가 있는 것의 접속방법으로 옳은 것은? 45 T형 레일의 13K 레일 높이는 몇 mm인가? 46 스텝과 스커트 사이에 끼임의 위험을 최소화 하기위한 장치는? 47 전동기를 동력원으로 많이 사용하는데 그 이유가 될 수 없는 것은? 48 일감의 평행도, 원통의 진원도, 회전제의 흔들림 정도 등을 측정할 때 사용하는 측정기기는?
App Store Google Play
오늘학습 예시 이미지

시험에 합격하려면
복습을 제대로 해야 합니다.

오늘학습은 스스로 기억을 떠올리고 계획적으로 복습할 수 있도록 설계돼 있어요.
그것도, 가장 과학적인 방식으로요!

능동적 회상

능동적 회상
(Active Recall)

배운 내용을 단순 읽으며 반복하는 것이 아니라,
능동적으로 기억하고 있는지를
스스로 테스트하며
공부할 수 있는
학습 환경을 제공해 학습 효과를 높여요

간격 반복 학습

간격 반복 학습
(Spaced Repetition)

에빙하우스 망각곡선을 바탕으로
가장 최적의 시점에 복습을 제공하여
배운 내용이 잊히지 않도록 장기 기억화해요

Data 기반의
뇌과학적 복습 시스템

학습 결과 Data를 분석해, 문제별 최적화된
반복 학습량을
자동으로 분배해요.
학습에 소요되는 시간을 최소화하는
동시에
단기 기억을 장기 기억으로 전환해줘요.

36만 개 이상의
기출문제 무료 제공

공무원 및 약 300여종의 자격증 시험 기출문제
36만개
이상을 무료로 이용할 수 있어요.
여러 앱을 설치할 필요
없이, 오늘학습 하나로
모든 시험을 준비할 수 있어요.

다양한 문제 유형으로 만드는
나만의 단어장&문제집

기출 외에도 외워야 하는 내용은
객관식, 주관식, 카드, 빈칸
등 다양한 형식으로
직접 만들어 보세요. 내 학습 스타일에
맞게
나만의 단어장과 문제집을 만들 수 있어요.

시험별 체계적인
문제 관리

시험에 문제를 추가해 체계적으로
관리할 수 있어요.
주제나 단원별로
분류하고 싶다면,
시험에 챕터를 만들어
문제를 추가할 수도 있어요.

수십만 명이
오늘학습을 사랑합니다

앱 스토어 평점 4.9
구글 플레이 평점 4.8
누적 회원수 100,000+
지금 오늘학습을
시작해보세요
지금 시작하기
문제 선택