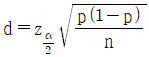
모비율추정에 필요한 표본의 크기를 구할 때 최대추정오차, 을 n에 대해 정리하면 가 된다. 만약 모비율 p에 대한 사전 정보가 없다면 표본의 크기를 구하기 위해 어떤 값을 이용해야 하는가?
지금 시작하기 →

・・・ 문제은행 사회조사분석사 1급(2020년) 98번

사회조사분석사 1급 2020년 09월 98번

모비율추정에 필요한 표본의 크기를 구할 때 최대추정오차, 을 n에 대해 정리하면 가 된다. 만약 모비율 p에 대한 사전 정보가 없다면 표본의 크기를 구하기 위해 어떤 값을 이용해야 하는가?

1
p = 0.25
2
p = 0.5
3
p = 0.75
4
p = 1
단축키
이전 문제로 이동은 키를 누르고, 다음 문제로 이동은 키를 누르세요
이전 문제 , 다음 문제
문제(100)
61 고객 만족도의 평균을 추정하기 위하여 표본의 크기를 결정하려고 할 때 고려하지 않아도 되는 것은? 62 회귀모형 yi = α + βxi + εi에서 회귀계수의 추정치 의 표준오차를 가능한 작게 하고자 한다. 설명변수 xi는 0부터 5사이의 값을 가지며 6개의 자료를 이용하여 추정할 때, 다음 중 설명변수 xi의 값을 어떻게 설정하는 것이 의 표준오차를 가장 작게 하는가? 63 다중회귀분석의 변수선택법에 대한 설명으로 옳은 것은? 64 직분사엔진(X) 자동차를 구매한 8명과 일반엔진(Y) 자동차를 구매한 12며에게 구매후 2년간의 차량유지비(USD)를 조사하였다. 그 결과는 다음 표와 같다. 직분사엔진과 일반엔진의 차량유지비 차이의 가설검정에 관한 설명으로 틀린 것은? 65 다음 중 여러 집단(2집단 이상)의 모평균의 동일성을 검정하는 통계적 방법은? 66 다음 중 군집분석방법에 관한 설명으로 틀린 것은? 67 정규분포를 따르는 집단의 모평균의 값에 대하여 H0 : μ = 20, μ ≠ 20을 세우고 표본 25개의 평균을 구한 결과 를 얻었다. 모집단의 표준편차를 5라고 할 때 다음 확률값을 이용하여 구한 유의확률(p-value)은? (단, Z는 표준화정규 확률변수를 나타낸다.) 68 다음 분산분석표에서 F-r 검정을 위한 검전통계량의 값은? 69 단순선형회귀모형 yi = α + βxi + εi(i = 1, 2, …, )에서 잔차 의 성질에 관한 옳은 설명을 모두 고른 것은? (단, εi는 서로 독립이고 평균 0, 분산 σ2인 확률변수이고, 은 최소제곱추정값이다.) 70 다중공선성(multicollinearity)을 진단하는 측도가 아닌 것은? 71 4개 브랜드(B)에 대한 10개 수퍼마켓(S)별 매출액의 차이를 분석하였다. 다음 분산분석표의 값으로 틀린 것은? (단, 전체자료에 대해 평균의 분산은 각각 245900, 17.963 이다.) 72 25명의 주부를 대상으로 새로 개발된 전자제품을 일주일동안 사용하도록 한 후, 사용전·후의 구입의사를 조사한 결과이다. 구입의사에 변화가 있는지에 대한 비모수적 검정방법으로 옳은 것은?
73 다음의 내용들이 설명하는 통계적 분석방법은? 74 요인 A에 대한 일원배치법 모수모형(fixed model)의 통계적 모형은 Yij = μ + ai + εij(i = 1, 2, …, k ; j = 1, 2, …, n)이다. 분산분석을 위한 조건에 대한 설명으로 옳지 않은 것은? 75 어떤 설문조사에서 50대의 남자 100명에게 현재의 결혼상태를 물어본 결과 다음고 ㅏ같은 표를 얻었다. 50대 남자의 결혼상태의 비율이 모두 동일하다고 할 수 있는지를 유의수준 0.05에서 검정하고자 할 때, 귀무가설과 검정통계량의 값, 그리고 귀무가설 기각여부를 바르게 나타낸 것은? (단, χ24, 0.05 = 9.488, χ25, 0.05 = 11.070) 76 t-분포와 F-분포의 성질에 대한 설명으로 옳은 것은? 77 어떤 고교의 흡연자 비율을 추정하려고 한다. 95%의 확신을 갖고 추정오차가 0.05 이내가 되도록 하려고 할 때, 필요한 최소의 표본크기는 얼마인가? (단, 근처 고교의 예로 보아 흡연자 비율은 0.3 정도일 것으로 예상된다.) 78 요인분석의 공통성(Communality)에 관한 설명으로 옳은 것은? 79 다음 중 비계층적 군집분석 방법으로 개체수가 많은 경우에도 유용하게 이용되는 방법은? 80 평균이 μ이고 분산이 64인 분포에서 크기 25인 확률표본의 평균을 라고 하자. 이때 표본의 평균은 67.50 이라 하면, 모평균 μ에 대한 95% 신뢰구간으로 다음 중 옳은 것은? (단, Z0.025 = 1.96, Z0.05 = 1.645 이다.) 81 반복이 있는 이원배치에서 A, B 두 인자의 교호작용의 유무에 대한 가설검정을 교호작용의 평균제곱과 잔차에 대한 평균제곱의 비로 검정하고자 한다. 이 때 이용되는 F분포의 두 자유도로 옳은 것은? (단, A인자의 수는 p, B인자의 수는 q, 반복수는 r 이다.) 82 판별분석(discriminant analysis)에 관한 설명으로 틀린 것은? 83 최우추정량(maximum likelihood estimator)에 대한 설명으로 틀린 것은? 84 같은 종류의 강판을 제조하는 두 대의 기계가 있다. 각각의 기계가 만들어 내는 강판의 두께는 정규분포를 따른다. 이 두 대의 기계가 제조하는 강판을 표본으로 하여 어느 기계가 강판의 두께를 일정하게 만드는지에 대해 가설감정 할 때 쓰이는 검정통계량 분포는?
85 어떤 회사의 분기별 매출액이 다음과 같다. 이 회사의 분기별 매출액이 35억원보다 많다고 할 수 있는지를 비모수 방법으로 부호검정을 하고자 한다. 이 때 검정통계량의 값과 사용되는 검정통계량의 분포는? 86 20대 여성 10명의 발사이즈(X : mm)에 따른 키(Y : cm)의 관계를 알아보고자 한다. 측정결과의 평균과 분산은 각각 = 234.5, = 157.2, s2X = 5.8, s2Y = 47.5, sXY = 4.62 이다. 회귀분석 결과로 틀린 것은? 87 광고가 판매량에 미치는 영향을 분석하기 위해, 특수한 종류의 상품을 판매하는 10개의 상점을 표본으로 추출하였다. 이 상점들로부터 조사한 연간 광고료와 총판매량이 다음과 같다. 위 자료를 정리한 다음의 결과를 이용하여 회귀식 의 회귀계수를 구하면? 88 다중회귀분석에서 독립변수들 사이에 높은 상관관계가 존재하는 다중공선성에 대한 설명으로 틀린 것은? 89 다음은 우울증환자들과 보통사람들 294명의 자료를 기반으로 판별분석모형을 개발하여 구한 분류표이다. 이 판별모형의 정확도와 오분류율을 구하면? 90 다중선형회귀분석에서 독립변수(설명변수)가 여러 개 있는 경우에는 회귀모형설정에 꼭 필요한 독립변수를 선택하여 사용하는 것이 바람직하다. 다음 중 이러한 변수선택법이 아닌 것은? 91 두 확률변수 X1, X2의 공분산행렬이 일 때, 두 주성분 중 전체 변이를 설명하는 비율이 큰 것은? 92 X1, …, Xn을 중앙값이 m인 분포에서의 확률표본이라고 할 때, H0 : m = m0를 검정하는 비모수 검정법으로 부호순위 검정법이 흔히 쓰인다. 다음 데이터에서 m0 = 63이라고 할 때, 부호순위 검정통계량의 값은? 93 모비율의 추정에서 표본 크기의 결정에 관한 설명으로 틀린 것은? 94 “부모의 애정표현정도가 자녀의 자존감에 영향을 주고, 부모의 애정표현정도와 자녀의 자존감이 자녀의 학교생활 만족도에 영향을 준다”는 세 개의 구인(construct)간의 인과관계모형에서 내생적 구인 또는 내생적 변수를 모두 고른 것은? 95 두 가지 방법 A, B의 효과를 비교하기 위해 150명을 대상으로 조사하였다. 80명에게는 A방법을, 나머지 70명은 B방법을 적용하여 얼마의 시간이 흐른 후 A와 B방법 각각에 대하여 효과를 동일한 기준의 상, 중, 하로 나누어 표본을 조사하였다. 다음 중 가장 타당성 있는 검정 방법은? 96 분산이 4로 알려진 정규분포를 따르는 집단에서 크기가 25인 표본을 추출하였다. 이 때, 모평균 μ에 대한 가설 H0 : μ = 0와 H1 : μ ≠ 0을 유의수준 α = 0.05에서 검정한다면, H0의 기각역은 어떻게 주어지는가? (단, z0.025의 값은 2로 계산하시오.)
App Store Google Play
오늘학습 예시 이미지

시험에 합격하려면
복습을 제대로 해야 합니다.

오늘학습은 스스로 기억을 떠올리고 계획적으로 복습할 수 있도록 설계돼 있어요.
그것도, 가장 과학적인 방식으로요!

능동적 회상

능동적 회상
(Active Recall)

배운 내용을 단순 읽으며 반복하는 것이 아니라,
능동적으로 기억하고 있는지를
스스로 테스트하며
공부할 수 있는
학습 환경을 제공해 학습 효과를 높여요

간격 반복 학습

간격 반복 학습
(Spaced Repetition)

에빙하우스 망각곡선을 바탕으로
가장 최적의 시점에 복습을 제공하여
배운 내용이 잊히지 않도록 장기 기억화해요

Data 기반의
뇌과학적 복습 시스템

학습 결과 Data를 분석해, 문제별 최적화된
반복 학습량을
자동으로 분배해요.
학습에 소요되는 시간을 최소화하는
동시에
단기 기억을 장기 기억으로 전환해줘요.

36만 개 이상의
기출문제 무료 제공

공무원 및 약 300여종의 자격증 시험 기출문제
36만개
이상을 무료로 이용할 수 있어요.
여러 앱을 설치할 필요
없이, 오늘학습 하나로
모든 시험을 준비할 수 있어요.

다양한 문제 유형으로 만드는
나만의 단어장&문제집

기출 외에도 외워야 하는 내용은
객관식, 주관식, 카드, 빈칸
등 다양한 형식으로
직접 만들어 보세요. 내 학습 스타일에
맞게
나만의 단어장과 문제집을 만들 수 있어요.

시험별 체계적인
문제 관리

시험에 문제를 추가해 체계적으로
관리할 수 있어요.
주제나 단원별로
분류하고 싶다면,
시험에 챕터를 만들어
문제를 추가할 수도 있어요.

수십만 명이
오늘학습을 사랑합니다

앱 스토어 평점 4.9
구글 플레이 평점 4.8
누적 회원수 100,000+
지금 오늘학습을
시작해보세요
지금 시작하기
문제 선택