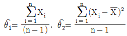
X1, X2, …, Xn이 정규분포 N(θ1, θ2), -∞<θ1<∞, 0<θ2<∞의 랜덤표본일 때, θ1과 θ2의 적률추정량(method of moment estimator)으로 옳은 것은?
지금 시작하기 →

・・・ 문제은행 사회조사분석사 1급(2019년) 82번

사회조사분석사 1급 2019년 09월 82번

X1, X2, …, Xn이 정규분포 N(θ1, θ2), -∞<θ1<∞, 0<θ2<∞의 랜덤표본일 때, θ1과 θ2의 적률추정량(method of moment estimator)으로 옳은 것은?

1
2
3
4
단축키
이전 문제로 이동은 키를 누르고, 다음 문제로 이동은 키를 누르세요
이전 문제 , 다음 문제
문제(100)
25 다용 사례에 해당하는 연구의 유형은? 26 질문지 작성에 관한 설명으로 틀린 것은? 27 관찰을 통한 자료수집 시 지각과정에서 나타나는 오류를 감소하기 위한 방안을 모두 고른 것은? 28 조사윤리를 준수하기 위한 활동과 가장 거리가 먼 것은? 29 내용분석의 장점과 가장 거리가 먼 것은? 30 연구자가 검정요인 (test factor) 을 연구에 도입하는 가장 큰 이유는? 31 여론조사에서 조사기관이 정상적으로 수행할 수 있는 능력 이상으로 대규모의 조사를 하면 모수 추정에 있어 실패하는 경우가 있다. 이에 대한 설명으로 옳지 않은 것은? 32 거트만척도에서 응답자의 응답이 이상적인 패턴에 얼마나 가까운지를 측정하는 것은? 33 척도의 신뢰성을 파악하는 방법이 아닌 것은? 34 K고등학교의 학생 명단에서 뽑은 학생 100명을 대상으로 언어사용실태를 조사하였다 그런데 실제 조사에서는 해당 학생의 담임 선생님에 대한 면접을 통해서 조사가 이루어졌다. 이 연구에서 표집단위 (A), 관찰단위 (B), 표집틀 (C)은 각각 무엇인가? 35 조사 대상이 되는 소수의 응답자들을 표집한 후 그 응답자들을 활용하여 유사한 속성의 대상을 소개 받아 정보를 표집하는 것은? 36 자료의 결측치를 처리하는 방법 중 표본의 수가 많거나, 상대적으로 적은 수의 결측치가 존재하고 변수들 사이의 연관성이 높지 않을 경우에 가장 적합한 방법은?
61 다음 분산분석표에 대응하는 통계적 모형으로 옳은 것은? 62 확률화 블록계획법 (Randomized block design) 으로 실험 한 어 떤 자료의 분산분석 표의 일부가 다음과 같다. C 와 D의 값을 합하면 얼마인가? 63 임의표본 X1, ……, Xn(n &lt; 30)이 모평균 μ와 표준편차 σ가 알려져 있지 않는 정규모집단에서 추출되었을 때 모평균이 μ0인지를 검정하고자 한다. 가설을 검정하기 위한 검정통계량과 분포로 옳은 것은? (단, Z는 표준정규확률변수이며, tn은자유도가 n인 t분포를 의미 한다.) 64 연속확률분포를 가지는 모집단으로부터의 랜덤 샘플 X1,X2,...,Xn에 대하여 중앙값 θ에 대한 가설 H0 : θ = θ0 vs H1 : θ ≠ θ0을 검정하기 위한 통계량 S를 θ0보다 큰 자료의 수라할 때, 귀무가설(H0)이 참일 때 S의 확률분포는? 65 30개의 자료에 대한 설명변수를 4개 사용한 중회귀모형 , i = 1, 2, ... , 30 에서 잔차변동(SSE) 의 지유도는? 66 어떤 자료의 판별분석을 통해 얻어진 선형판별함수가 Z=3x-2x2+10 일 때, 자료 (9, 5)의 판별득점은? 67 다음 중 요인분석 (Factor analysis) 과 관련이 없는 것은? 68 다음 표는 4 개의 처리에 대하여 동일한 반복수로 완전확률화계획법(completely randomized design)으로 얻어진 자료에 대한 분산분석표의 일부이다. 이 때 세 처리에 대한 비교 (contrast) 의 표준오차를 구하면? 69 요인분석 (Factor analysis)에서 공통성 (communality)에 대한 설명으로 옳은 것은? 70 군집 분석 (cluster analysis)에서 비 유사성 (dissimilarity)에 대한 측도 중 변수들 간의 상관관계를 고려한 통계적 거리를 나타내는 측도는? 71 판별분석에서는 판별함수를 구한 후 판별함수값(판별점수)을 이용하여 각 개체를 분류한다. 이 때 사용되는 분류방법에 대한 설명으로 옳은 것은? 72 두 설명변수 x1, x2를 사용한 회귀 추정식이 으로 얻어졌다. 다음 중 옳은 것은?
73 실험계획법의 한 방법인 완전확률화계획법(completely randomized design)에서 k개 의 처리(treatment)를 고려할 때, 이 k개의 처리 사이에 존재하는 직교비교 (orthogonal contrast)는 몇 개인가? 74 4 개의 변수로 이루어진 다변량 자료의 상관계수의 행렬이 다음과 같다. 위 상관계수 행렬의 고유값 (eigenvalue) 이 2.00, 1.79, 0.19, 0.02 일 때, 자료의 총 분산(각 변수의 분산의 합) 중 첫 번째 인자에 의하여 설명될 수 있는 비율은? 75 연구자가 관찰벡터를 두 모집단 π1과 π2 중에서 어디에 분류시킬 것인지 연구하고 있다. 두 모집단에 관련된 밀도함수를 각각 f1(x), f2(x)라 하고, 잘못 분류하여 생기는 비용이 c(2|1)=40원, c(1|2)=70원임을 알고 있다고 한다. 그리고 모든 관찰대상물 중의 60%가 π1에 속한다는 것을 알고 있다. 이제 새로 관찰된 x0에서 밀도함수값이 f1(x0=0.2, f2(x0)=0.6이라고 할 때, 이 개체가 π2에서 나왔을 사후확률은? 76 3개의 자동차 회사에서 만들어 내는 자동차의 리터당 평균주행 거리를 비교하기 위하여 실험을 한 결과는 다음과 같다. 분산분석을 실시하기 위해 잔차제곱합과 처리제곱합을 구하면? 77 다음 중 경로분석 절차와 가장 거리가 먼 것은? 78 어떤 진통에 대한 처방의 효과 비교를 위하여 대조군에 2명, 처방을 받은 처리군에 3명으로부터 진통시간을 측정하였을 경우 적절한 비교분석방법은? 79 회귀분석에서 결정계수 R2에 대한 설명으로 옳은 것은? 80 어느 직업군의 월 평균소득을 조사하고자 한다. 월 소득에 대한 분포는 표준편차가 100 만원인 정규분포를 따른다고 할 때 월 평균소득에 대한 95% 신뢰구간의 길이가 50 만원 이하가 되도록 하는데 필요한 최소의 표본크기는? (단, P(N(0,l) &gt; 1.96) = 0.025 이다 ) 81 5 개의 변수에 대하여 두 대상의 관찰값이 주어진 표와 같다. 이 때 군집분석의 거리 측정방식 중에서 2차의 민코우스키 거리 (Minkowski distance)를 이용하여 대상 i와 대상 k의 거리를 구하면? 82 X1, X2, …, Xn이 정규분포 N(θ1, θ2), -∞&lt;θ1&lt;∞, 0&lt;θ2&lt;∞의 랜덤표본일 때, θ1과 θ2의 적률추정량(method of moment estimator)으로 옳은 것은? 83 이상점(outlier)이 포함된 자료에 대한 평균차이 검정에 대한 설명으로 옳은 것은? 84 다음은 외생변수 X1, 내생변수 Y1, Y2를 이용한 경로모형이다. X1 이 Y2 에 미치는 직접효과, 간접효과, 총효과를 바르게 구한 것은?
85 다음은 단쉰회귀모형 y1=β0+βixi+ϵi (i=1,2,…, n), ϵi ~ N(0,σ2)에 대해 최소제곱추정법을 적용한 분산분석표이고, 은 적합된 회귀식, 은 잔차이다. 추정 및 검정에 대한 설명으로 옳은 것은? 86 최소제곱추정법으로 단순회귀모형 y1=β0+βixi+ϵi (i=1,2,…, n)을 적합한 회귀식 와 잔차 에 대한 설명으로 옳지 않은 것은? (단, ϵi ~ N(0,σ2)) 87 Runs 검정은 일반적으로 두 종류의 결과만을 갖는 경우에 독립성의 여부를 알아보는 비모수적 검정방법이다. 어느 모집단으로부터 15명의 학생들을 표본추출하여 얻은 성별자료는 아래와 같다. 이 때 Runs 검정에 사용되는 통계량의 값은? 88 귀무가설이 참일 때, 표본의 크기가 20인 경우 부호순위 검정통계량의 평균값은? 89 국회의원 후보자 A에 대한 청년층 지지율 p1과 노년층 지지율 p2의 차이 p1-p2는 6.6%로 알려져 있다. 최근 국회의원 후보자 TV토론 후, 세대별(청년층과 노년층에 대해) 500명씩을 랜덤추출하여 조사하니, 위 지지율 차이는 3.3%로 나타났다. 세대 간 지지율 차이가 줄어들었다고 할 수 있는지를 검정하기 위한 귀무가설 H0과 대립가설 H1로 옳은 것은? 90 A, B 두 종류의 청량음료를 8 명 의 전문가에게 교대로 맛을 보게 한 다음, 시음 결과를 점수로 나타내도록 했다. 주어진 표에는 맛의 점수와 그 차이를 나타낸 것이다. 두 청량음량의 맛에 심각한 차이가 있는지 윌콕슨 부호순위 검정(Wilcoxon signed rank test)을 실시하고자 한다. 다음 중 윌콕슨 부호순위통계량의 관측값(W+)을 바르게 구한 것은? 91 표본에 관한 설명으로 옳지 않은 것은? 92 다음 중 다중비교(multiple comparison) 방법과 관련이 없는 것은? 93 대응비교(paired comparison)에 관한 설명으로 틀린 것은? 94 주어진 자료 X1, X2, …, Xn에 대하여 위치모수 θ에 대한 귀무가설 H0 : θ = θ0 를 검정하기 위한 부호 검정 통계량 의 귀무가설하에서의 평균은? (단, 이다.) 95 두 확률변수 X, Y가 대응짝의 형태인 (X1, Y1), (X2, Y2), …,(Xn, Yn)으로 측정되었을 때, 두 변수의 관련성을 측정하는 척도에 관한 설명으로 옳지 않은 것은? 96 유권자들로부터 정당선호도라는 행변수와 투표여부라는 열변수로 분류하여 얻은 교차표이다. 분석결과에 대한 설명으로 옳지 않은 것은?
App Store Google Play
오늘학습 예시 이미지

시험에 합격하려면
복습을 제대로 해야 합니다.

오늘학습은 스스로 기억을 떠올리고 계획적으로 복습할 수 있도록 설계돼 있어요.
그것도, 가장 과학적인 방식으로요!

능동적 회상

능동적 회상
(Active Recall)

배운 내용을 단순 읽으며 반복하는 것이 아니라,
능동적으로 기억하고 있는지를
스스로 테스트하며
공부할 수 있는
학습 환경을 제공해 학습 효과를 높여요

간격 반복 학습

간격 반복 학습
(Spaced Repetition)

에빙하우스 망각곡선을 바탕으로
가장 최적의 시점에 복습을 제공하여
배운 내용이 잊히지 않도록 장기 기억화해요

Data 기반의
뇌과학적 복습 시스템

학습 결과 Data를 분석해, 문제별 최적화된
반복 학습량을
자동으로 분배해요.
학습에 소요되는 시간을 최소화하는
동시에
단기 기억을 장기 기억으로 전환해줘요.

36만 개 이상의
기출문제 무료 제공

공무원 및 약 300여종의 자격증 시험 기출문제
36만개
이상을 무료로 이용할 수 있어요.
여러 앱을 설치할 필요
없이, 오늘학습 하나로
모든 시험을 준비할 수 있어요.

다양한 문제 유형으로 만드는
나만의 단어장&문제집

기출 외에도 외워야 하는 내용은
객관식, 주관식, 카드, 빈칸
등 다양한 형식으로
직접 만들어 보세요. 내 학습 스타일에
맞게
나만의 단어장과 문제집을 만들 수 있어요.

시험별 체계적인
문제 관리

시험에 문제를 추가해 체계적으로
관리할 수 있어요.
주제나 단원별로
분류하고 싶다면,
시험에 챕터를 만들어
문제를 추가할 수도 있어요.

수십만 명이
오늘학습을 사랑합니다

앱 스토어 평점 4.9
구글 플레이 평점 4.8
누적 회원수 100,000+
지금 오늘학습을
시작해보세요
지금 시작하기
문제 선택