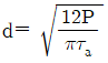
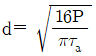
금형 조립 시 사용되는 핀을 설계할 때, 전단응력에 대해 필요한 핀의 지름을 구하는 식으로 옳은 것은? (단, P는 하중, τa 는 허용 전단 응력이다.)
지금 시작하기 →

・・・ 문제은행 사출(프레스)금형기사(2016년) 4번

사출(프레스)금형기사 2016년 05월 4번

금형 조립 시 사용되는 핀을 설계할 때, 전단응력에 대해 필요한 핀의 지름을 구하는 식으로 옳은 것은? (단, P는 하중, τa 는 허용 전단 응력이다.)

1
2
3
4
단축키
이전 문제로 이동은 키를 누르고, 다음 문제로 이동은 키를 누르세요
이전 문제 , 다음 문제
문제(80)
13 두께 1.8mm의 연강판을 사용하여 지름 38㎜의 구멍을 피어싱 가공할 경우 소요되는 전단력(kgf)은 약 얼마인가? (단, 전단하중은 40kgf/mm2 이다.) 14 소요 공정 수에 상당하는 대수의 프레스 기계를 병렬로 배치한 프레스 라인을 통해 가공제품을 전자동으로 이송하여 각 기계간에 흐르게 하는 방법은? 15 용기 또는 판재에 장식, 보강, 변형제거의 목적으로 끈 모양의 돌출부를 내는 가공은? 16 두께 1㎜, 지름 100㎜의 원형 소재를 가지고 지름 40㎜의 원통컵을 만들고자 할 때 필요한 드로잉 공정 수는? (단, 초기 드로잉률은 0.55, 2공정 이후의 재드로잉률은 0.8로 계산) 17 다음 금형 부품 중 가공 압력에 의한 변형 및 파손 방지를 위해 충분한 강도를 갖도록 반드시 열처리를 해야 하는 부품은? 18 프레스 기계의 점검 사항 내용이 아닌 것은? 19 프로그레시브 금형가공에서 캐리어(carrier)의 가장 큰 역할로 적합한 것은? 20 가동식 스트리퍼의 설명으로 틀린 것은? 21 주형을 만드는 데 사용되는 주물사의 구비조건이 아닌 것은? 22 합금 주철에 첨가되는 원소의 영향으로 틀린 것은? 23 드로잉(drawing)시 역장력을 가함으로써 얻어지는 효과에 대한 설명으로 틀린 것은? 24 절삭 작업에서 절삭저향력이 300kgf, 절삭속도가 75m/min일 때 절삭동력은 몇 PS인가?
App Store Google Play
오늘학습 예시 이미지

시험에 합격하려면
복습을 제대로 해야 합니다.

오늘학습은 스스로 기억을 떠올리고 계획적으로 복습할 수 있도록 설계돼 있어요.
그것도, 가장 과학적인 방식으로요!

능동적 회상

능동적 회상
(Active Recall)

배운 내용을 단순 읽으며 반복하는 것이 아니라,
능동적으로 기억하고 있는지를
스스로 테스트하며
공부할 수 있는
학습 환경을 제공해 학습 효과를 높여요

간격 반복 학습

간격 반복 학습
(Spaced Repetition)

에빙하우스 망각곡선을 바탕으로
가장 최적의 시점에 복습을 제공하여
배운 내용이 잊히지 않도록 장기 기억화해요

Data 기반의
뇌과학적 복습 시스템

학습 결과 Data를 분석해, 문제별 최적화된
반복 학습량을
자동으로 분배해요.
학습에 소요되는 시간을 최소화하는
동시에
단기 기억을 장기 기억으로 전환해줘요.

36만 개 이상의
기출문제 무료 제공

공무원 및 약 300여종의 자격증 시험 기출문제
36만개
이상을 무료로 이용할 수 있어요.
여러 앱을 설치할 필요
없이, 오늘학습 하나로
모든 시험을 준비할 수 있어요.

다양한 문제 유형으로 만드는
나만의 단어장&문제집

기출 외에도 외워야 하는 내용은
객관식, 주관식, 카드, 빈칸
등 다양한 형식으로
직접 만들어 보세요. 내 학습 스타일에
맞게
나만의 단어장과 문제집을 만들 수 있어요.

시험별 체계적인
문제 관리

시험에 문제를 추가해 체계적으로
관리할 수 있어요.
주제나 단원별로
분류하고 싶다면,
시험에 챕터를 만들어
문제를 추가할 수도 있어요.

수십만 명이
오늘학습을 사랑합니다

앱 스토어 평점 4.9
구글 플레이 평점 4.8
누적 회원수 100,000+
지금 오늘학습을
시작해보세요
지금 시작하기
문제 선택