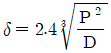
측정력에 의한 변형에서 헤르츠(Hretz)법칙에 의한 변형 중 구면과 평면일 경우 탄성변형량을 구하는 공식은 어느 것인가? (단, P는 측정력(kgf), D는 구면지름(mm), L은 평면의 길이(mm), δ는 변형 길이(㎛))
지금 시작하기 →

・・・ 문제은행 사출(프레스)금형기사(2015년) 72번

사출(프레스)금형기사 2015년 05월 72번

측정력에 의한 변형에서 헤르츠(Hretz)법칙에 의한 변형 중 구면과 평면일 경우 탄성변형량을 구하는 공식은 어느 것인가? (단, P는 측정력(kgf), D는 구면지름(mm), L은 평면의 길이(mm), δ는 변형 길이(㎛))

1
2
3
4
단축키
이전 문제로 이동은 키를 누르고, 다음 문제로 이동은 키를 누르세요
이전 문제 , 다음 문제
문제(80)
13 프로그레시브 금형(progressive die)에서 파일럿 핏(pilot pin)을 사용하는 목적 중 가장 적당한 것은? 14 펀치를 이용하여 제품(blank)을 다이 속으로 밀어 넣어서 밑바닥이 달린 원통용기의 벽 두께를 얇게 하고 벽 두께를 고르게 하여 원통도 향상이나 표면을 매끄럽게 하는 가공법은? 15 다음 중 사이드 커터(side cutter)의 역할로 가장 적합한 것은? 16 전단가공시 블랭크가 펀치 하면(下面)에 달라붙는 것을 방지할 수 있게 설치하는 것은? 17 판두께 2㎜이고 전단저항이 40kgf/mm2의 연강판을 지름 100㎜의 원형으로 블랭킹하려 한다. 이 때 시어 크기를 2㎜정도로 하고 시어계수를 0.6으로 할 때, 블랭킹력은 약 얼마인가?3 18 굽힘 금형에서 스프링 백(spring back)의 양이 커지는 것과 관계가 없는 것은? 19 다음 중 프로그레시브금형의 특징이 아닌 것은? 20 다음 중 드로잉 금형에서 용기의 형상이 원통이고 일정한 두께로 아이어닝 할 경우 일반적인 클리어런스(CP)의 값으로 적합한 것은? (단, t = 소재의 두께이다.) 21 선반 바이트에서 요구되는 성질로 틀린 것은? 22 연삭 숫돌 직경이 200㎜일 때 연삭속도는 약 얼마인가? (단, 회전수 2000rpm이다.) 23 쾌속조형기술(rapid prototyping)가공의 특징으로 틀린 것은? 24 금형용 탄소강 재료를 플레인 밀링 커터로 회전수 30rpm 으로 가공할 때 이송량은? (단, 커터 잇수 12, 한날당 이송길이 0.25㎜이다.)
61 제품치수의 정밀도가 0.1㎜인 부품을 정밀도 0.01㎜의 측정기로 측정했을 때, 그 측정기로 측정한 제품의 측정정도로 다음 중 가장 적합한 것은? 62 표면거칠기를 측정하는 이유는 다양하다. 다음 중 그 이유로 가장 적합하지 않은 것은? 63 마스터 기어와 측정용 기어를 백래시 없이 맞물려 회전시켜서 기어의 중심거리 변화를 평가하는 방법은? 64 전기 마이크로미터의 장단점을 설명한 것 중 잘못 설명한 것은? 65 미터나사의 피치가 2.0㎜인 수나사의 유효지름을 측정하고자 할 때 가장 적당한 삼침게이지의 지름은? 66 그림과 같은 광 지렛대에서 x = 1㎛의 변위를 Y = 0.1㎜로 확대하려면 광원 “A”와 반사경과의 거리 L은 얼마가 되는가? (단, ℓ= 5㎜이다.)(오류 신고가 접수된 문제입니다. 반드시 정답과 해설을 확인하시기 바랍니다.) 67 유량식 공기 마이크로미터의 특징으로 틀린 것은? 68 다음과 같은 원심원상의 간섭무늬가 5개 있을 때, 사용광파의 파장 λ가 0.6㎛이면, 중심부와 원 모서리부 사이의 높이차는 얼마인가? 69 다음과 같은 측정치의 분포곡선 중 “정확성은 좋지 않으나 정밀성이 좋은” 경우는? 70 치형 오차의 측정 방법이 아닌 것은? 71 다음 중 한계 게이지의 장점으로 가장 옳은 것은? 72 측정력에 의한 변형에서 헤르츠(Hretz)법칙에 의한 변형 중 구면과 평면일 경우 탄성변형량을 구하는 공식은 어느 것인가? (단, P는 측정력(kgf), D는 구면지름(mm), L은 평면의 길이(mm), δ는 변형 길이(㎛))
App Store Google Play
오늘학습 예시 이미지

시험에 합격하려면
복습을 제대로 해야 합니다.

오늘학습은 스스로 기억을 떠올리고 계획적으로 복습할 수 있도록 설계돼 있어요.
그것도, 가장 과학적인 방식으로요!

능동적 회상

능동적 회상
(Active Recall)

배운 내용을 단순 읽으며 반복하는 것이 아니라,
능동적으로 기억하고 있는지를
스스로 테스트하며
공부할 수 있는
학습 환경을 제공해 학습 효과를 높여요

간격 반복 학습

간격 반복 학습
(Spaced Repetition)

에빙하우스 망각곡선을 바탕으로
가장 최적의 시점에 복습을 제공하여
배운 내용이 잊히지 않도록 장기 기억화해요

Data 기반의
뇌과학적 복습 시스템

학습 결과 Data를 분석해, 문제별 최적화된
반복 학습량을
자동으로 분배해요.
학습에 소요되는 시간을 최소화하는
동시에
단기 기억을 장기 기억으로 전환해줘요.

36만 개 이상의
기출문제 무료 제공

공무원 및 약 300여종의 자격증 시험 기출문제
36만개
이상을 무료로 이용할 수 있어요.
여러 앱을 설치할 필요
없이, 오늘학습 하나로
모든 시험을 준비할 수 있어요.

다양한 문제 유형으로 만드는
나만의 단어장&문제집

기출 외에도 외워야 하는 내용은
객관식, 주관식, 카드, 빈칸
등 다양한 형식으로
직접 만들어 보세요. 내 학습 스타일에
맞게
나만의 단어장과 문제집을 만들 수 있어요.

시험별 체계적인
문제 관리

시험에 문제를 추가해 체계적으로
관리할 수 있어요.
주제나 단원별로
분류하고 싶다면,
시험에 챕터를 만들어
문제를 추가할 수도 있어요.

수십만 명이
오늘학습을 사랑합니다

앱 스토어 평점 4.9
구글 플레이 평점 4.8
누적 회원수 100,000+
지금 오늘학습을
시작해보세요
지금 시작하기
문제 선택