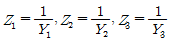
그림과 같은 T형 4단자 회로망에서 4단자 정수 A와 C는? (단, )
지금 시작하기 →

・・・ 문제은행 철도신호기사(2020년) 27번

철도신호기사 2020년 08월 27번

그림과 같은 T형 4단자 회로망에서 4단자 정수 A와 C는? (단, )

1
2
3
4
단축키
이전 문제로 이동은 키를 누르고, 다음 문제로 이동은 키를 누르세요
이전 문제 , 다음 문제
문제(80)
25 R=4Ω, ωL=3Ω의 직렬회로에 를 인가할 때 이 회로의 소비전력은 약 몇 W인가? 26 선간 전압이 Vab(V)인 3상 평형 전원에 대칭 부하 R(Ω)이 그림과 같이 접속되어 있을 때, a,b 두 상 간에 접속된 전력계의 지시 값이 W(W)라면 C상 전류의 크기(A)는? 27 그림과 같은 T형 4단자 회로망에서 4단자 정수 A와 C는? (단, ) 28 불평형 3상 전류가 Ia=15+j2(A), Ib=-20-j14(A), Ic=-3+j10(A)일 때, 역상분 전류 I2(A)는? 29 t=0에서 스위치(S)를 닫았을 때 t=0+에서의 i(t)는 몇 A인가? (단, 커패시터에 초기 전하는 없다.) 30 단위 길이 당 인덕턱스가 L(H/m)이고, 단위 길이 당 정전용량이 C(F/m)인 무손실 선로에서의 진행파 속도(m/s)는? 31 다음 회로에서 입력 전압 v1(t)에 대한 출력 전압 v2(t)의 전달함수 G(s)는? 32 시간함수 f(f)=sinωt의 z변환은? (단, T는 샘플링 주기이다.) 33 적분 시간 4sec, 비례 감도가 4인 비례적분 동작을 하는 제어 요소에 동작신호 z(t)=2t를 주었을 때 이 제어 요소의 조작량은? (단, 조작량의 초기 값은 0이다.) 34 특성방정식의 모든 근이 s평면(복소평면)의 jω축(허수축)에 있을 때 이 제어시스템의 안정도는? 35 그림과 같은 피드백제어 시스템에서 입력이 단위계단함수일 때 정상상태 오차상수인 위치상수 (Kp)는? 36 Routh-Hurwitz 방법으로 특성방정식이 s4+2s3+s2+4s+2=0인 시스템의 안정도를 관별하면?
61 차상 선로전환기가 배향측으로 개통되어 있을 때 표시등의 상태는? 62 경부고속철도에 설치된 기상검지장치가 아닌 것은? 63 출발신호기와 입환신호기를 소정의 위치에 설비할 수 없는 경우 열차 및 차량 정지표지에서 출발 신호기와 입환신호기까지의 궤도회로내에 열차가 점유하고 있을 때 취급버튼을 정위로 쇄정하는 것을 무슨 쇄정 이라 하는가? 64 강설, 결빙 등의 원인으로 인한 선로전환기 전환불능 및 불량장애를 미연에 방지하기 위한 설비는? 65 3현시 자동폐색 구간에서 열차의 길이 L(m), 신호현시 최소 확인거리 C(m), 제동거리 b(m), 안전제동 여유거리k(m), 열차속도 V(km/h)일 때의 최소 운전 시격을 나타내는 계산식은? (단, t는 선행열차가 1의 신호기를 통과할 때부터 3의 신호기가 진행신호를 현시 할 때까지의 시간(sec)이다.) 66 건널목경보기 2440형의 발진주파수 범위는? 67 신호기를 평지에 건식하고자 한다. 신호기주의 안전율은 몇 이상이어야 하는가? 68 진로선별식 전기연동장치에서 신호제어회로의 구비조건으로 틀린 것은? 69 신호제어설비의 안전측 동작 원칙에 해당하지 않는 것은? 70 3위식 신호기의 5현시 방법으로 옳은 것은? 71 궤도회로의 점퍼선(jumper wire)에 대한 설명으로 틀린 것은? 72 경부고속철도 레일온도검지장치(RTCP)의 온도별 운전취급방법으로 거리가 먼 것은?
App Store Google Play
오늘학습 예시 이미지

시험에 합격하려면
복습을 제대로 해야 합니다.

오늘학습은 스스로 기억을 떠올리고 계획적으로 복습할 수 있도록 설계돼 있어요.
그것도, 가장 과학적인 방식으로요!

능동적 회상

능동적 회상
(Active Recall)

배운 내용을 단순 읽으며 반복하는 것이 아니라,
능동적으로 기억하고 있는지를
스스로 테스트하며
공부할 수 있는
학습 환경을 제공해 학습 효과를 높여요

간격 반복 학습

간격 반복 학습
(Spaced Repetition)

에빙하우스 망각곡선을 바탕으로
가장 최적의 시점에 복습을 제공하여
배운 내용이 잊히지 않도록 장기 기억화해요

Data 기반의
뇌과학적 복습 시스템

학습 결과 Data를 분석해, 문제별 최적화된
반복 학습량을
자동으로 분배해요.
학습에 소요되는 시간을 최소화하는
동시에
단기 기억을 장기 기억으로 전환해줘요.

36만 개 이상의
기출문제 무료 제공

공무원 및 약 300여종의 자격증 시험 기출문제
36만개
이상을 무료로 이용할 수 있어요.
여러 앱을 설치할 필요
없이, 오늘학습 하나로
모든 시험을 준비할 수 있어요.

다양한 문제 유형으로 만드는
나만의 단어장&문제집

기출 외에도 외워야 하는 내용은
객관식, 주관식, 카드, 빈칸
등 다양한 형식으로
직접 만들어 보세요. 내 학습 스타일에
맞게
나만의 단어장과 문제집을 만들 수 있어요.

시험별 체계적인
문제 관리

시험에 문제를 추가해 체계적으로
관리할 수 있어요.
주제나 단원별로
분류하고 싶다면,
시험에 챕터를 만들어
문제를 추가할 수도 있어요.

수십만 명이
오늘학습을 사랑합니다

앱 스토어 평점 4.9
구글 플레이 평점 4.8
누적 회원수 100,000+
지금 오늘학습을
시작해보세요
지금 시작하기
문제 선택