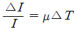
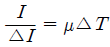
두께 T의 판 중앙에 미소 두께△T의 결함이 존재하는 시험체를 촬영하였다. 결함이 없는곳을 투과한 방사선의 강도를 I, 결함이 존재하는 곳을 투과한 방사선의 강도를 I+△I 라 할 때 선형 흡수계수를 μ라 하면 이들 사이의 관계식을 바르게 나 것은? (단, 산란선의 존재는 무시한다.)
지금 시작하기 →

・・・ 문제은행 방사선비파괴검사산업기사(2016년 2회) 55번

방사선비파괴검사산업기사 2016년 10월 55번

두께 T의 판 중앙에 미소 두께△T의 결함이 존재하는 시험체를 촬영하였다. 결함이 없는곳을 투과한 방사선의 강도를 I, 결함이 존재하는 곳을 투과한 방사선의 강도를 I+△I 라 할 때 선형 흡수계수를 μ라 하면 이들 사이의 관계식을 바르게 나 것은? (단, 산란선의 존재는 무시한다.)

1
2
3
4
단축키
이전 문제로 이동은 키를 누르고, 다음 문제로 이동은 키를 누르세요
이전 문제 , 다음 문제
문제(60)
13 다음 결정입자에 관한 설명 중 틀린 것은? 14 0.6%C를 함유한 강은 어느 강에 해당되는가? 15 양백(양은) 의 주요 합금원소로 옳은 것은? 16 맞대기 용접 모재의 인장강도가 450MPa, 용접 시험편의 인장강도가 443MPa인 경우의 이음 효율은 약 몇% 인가? 17 용접부의 변형과 잔류 응력을 경감시키는 방법이 아닌 것은?(오류 신고가 접수된 문제입니다. 반드시 정답과 해설을 확인하시기 바랍니다.) 18 다음 중 해머로 가볍게 두들겨서 잔류응력을 제거(완화) 하는 방법과 가장 관계있는 것은? 19 용접기의 특성 중 부하 전류가 증가하면 단자 전압이 저하하는 특성은? 20 누설자속을 변동시켜 전류를 조절하는 방식으로 제작이 쉽고 간다하며, 연속적인 전류조정이 가능하나 아크가 불안정 하고 진동으로 소음이 발생할 수 있는 특징을 교류 아크 용접기는? 21 다음중 감마선 에너지를 측정하는 단위는? 22 방사선투과 시험의 투과사진 콘트라스트에 영향을 미치는 인자로 가장 거리가 먼 것은? 23 방사선 투과사진을 관찰하는 실내가 밝은 경우, 투과광(L)외의 산란광이 추가될 때 두 부분의 농도 D1, D2의 농도차(△D)는 다르게 표현된다. 농도 D2 부분에서 추가의 투과광을 △L이라고 할 때 △D를 나타낸 식으로 틀린 것은? (단, D1 > D2 이다) 24 방사선 투과시험에 사용할 X선발생장치를 선정할 때 고려해야 할 점이 아닌 것은?
37 보일러 및 압력용기에 대한 표준방사투과검사(ASME Sec.V Art.22 SE-1025)에서 투과도계의 상질수준이 1-2T일 경우 투과도계 식별도는 몇 %인가? 38 열형광선량계(TLD)의 특성에 관한 설명으로 틀린 것은? 39 γ선을 방출하는 동위원소로부터 3m 떨어진 지점에서의 선량률이 0.04mSv/h 이었다. 이 때 선원으로부터의 거리를 3m 에서 9m 로 멀리하였을 때 선량률은 얼마인가? 40 원자력안전법에서 방사선구역 수시 출입자 및 운반종사자의 연간 유효 선량한도? 41 선원의 크기가 2.3mm, 피사체 두께가 25mm때 기하학적 불선명도를 2.0mm이하로 하려면 선원-필름 간거리는 얼마이상이어야 하나?(오류 신고가 접수된 문제입니다. 반드시 정답과 해설을 확인하시기 바랍니다.) 42 반데그라프형 방사선발생장치에 부착된 금속탱크에는 질소, 이산화탄소 및 SF6가 압축되어 있다. 이것의 용도는 무엇인가? 43 방사선투과검사에 사용되는 필름의 분류 중 속도가 느리고, 콘트라스트가 아주 높으며, 입상성이 아주 낮아, 높은 상질을 얻고자 하는 경우에 사용되는 것은? 44 X선 발생장치에서 X선관의 관전류는 다음 중 무엇에 의해 조정되는가? 45 촬영된 방사선 투과사진을 장기간 보관 시 변색되는 가장 큰 이유는? 46 다음 중 방사선 투과사진에 사용되는 납글자(또는 필름 마커)의 용도로 틀린 것은? 47 X선관 표적재료를 선정하는 데 고려해야 할 2가지 주요 요소는? 48 일반적인 공업용 X선 발생장치애서 짧은 파장의 X선을 발생시키기 위한 장치조작으로 옳은 것은?
49 다음 중 X선이나 감마선이 물질을 투과할 때 물질과 상호작용을 한 후 전자를 방출하지 않는 경우는? 50 다음 중 X선관의 진공도가 저하된 X선 발생장치를 사용할 때 주의항 내용으로 가장 중요한 것은? 51 X선 필름의 현상에 대한 설명으로 옳지 않은 것은? 52 X선 발생장치를 이용한 방사선투과검사 시 여관판 (Filter)사용에 따른 효과가 아닌 것은? 53 사진처리가 끝난 필름에 잔류 황산화물이 규정치를 넘으면 필름이 변색되어 장기보관 할수 없게 된다. 잔류 황산화물을 확인할 수 있는 방법은? 54 배관용접부를 촬영한 투과사진에는 종종 불규칙한 형태의 조그만 점상이 용접부위에 하얗게 나타나는데 이는 주로 무엇 때문에 생기는 현상인가? 55 두께 T의 판 중앙에 미소 두께△T의 결함이 존재하는 시험체를 촬영하였다. 결함이 없는곳을 투과한 방사선의 강도를 I, 결함이 존재하는 곳을 투과한 방사선의 강도를 I+△I 라 할 때 선형 흡수계수를 μ라 하면 이들 사이의 관계식을 바르게 나 것은? (단, 산란선의 존재는 무시한다.) 56 최근 발전소 고온배관의 두께 감육 측정에 CR(Computer Radiography)을 이용한 방사선 투과검사를 수행하고 있는 데, 다음 중 CR의 장점이 아닌 것은? 57 다음 중 필름을 천천히 검게 하는 환원작용을 하는 성분은? 58 다음 중 결함의 깊이 측정이 가능한 방사선투과검사법은? 59 방사선투과검사시 조사방향에 대한 설명으로 옳은 것은? 60 방사선 투과사진에 전체적으로 얼룩덜룩한 자국이 나타났을 때 예상되는 의사지시의 원인은?
App Store Google Play
오늘학습 예시 이미지

시험에 합격하려면
복습을 제대로 해야 합니다.

오늘학습은 스스로 기억을 떠올리고 계획적으로 복습할 수 있도록 설계돼 있어요.
그것도, 가장 과학적인 방식으로요!

능동적 회상

능동적 회상
(Active Recall)

배운 내용을 단순 읽으며 반복하는 것이 아니라,
능동적으로 기억하고 있는지를
스스로 테스트하며
공부할 수 있는
학습 환경을 제공해 학습 효과를 높여요

간격 반복 학습

간격 반복 학습
(Spaced Repetition)

에빙하우스 망각곡선을 바탕으로
가장 최적의 시점에 복습을 제공하여
배운 내용이 잊히지 않도록 장기 기억화해요

Data 기반의
뇌과학적 복습 시스템

학습 결과 Data를 분석해, 문제별 최적화된
반복 학습량을
자동으로 분배해요.
학습에 소요되는 시간을 최소화하는
동시에
단기 기억을 장기 기억으로 전환해줘요.

36만 개 이상의
기출문제 무료 제공

공무원 및 약 300여종의 자격증 시험 기출문제
36만개
이상을 무료로 이용할 수 있어요.
여러 앱을 설치할 필요
없이, 오늘학습 하나로
모든 시험을 준비할 수 있어요.

다양한 문제 유형으로 만드는
나만의 단어장&문제집

기출 외에도 외워야 하는 내용은
객관식, 주관식, 카드, 빈칸
등 다양한 형식으로
직접 만들어 보세요. 내 학습 스타일에
맞게
나만의 단어장과 문제집을 만들 수 있어요.

시험별 체계적인
문제 관리

시험에 문제를 추가해 체계적으로
관리할 수 있어요.
주제나 단원별로
분류하고 싶다면,
시험에 챕터를 만들어
문제를 추가할 수도 있어요.

수십만 명이
오늘학습을 사랑합니다

앱 스토어 평점 4.9
구글 플레이 평점 4.8
누적 회원수 100,000+
지금 오늘학습을
시작해보세요
지금 시작하기
문제 선택