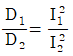
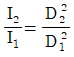
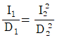
방사선투과검사에서 방사선의 강도를 I1, I2라고 할 때, 선원-시험체 간 거리 D1, D2와의 관계식으로 옳은 것은?
지금 시작하기 →

・・・ 문제은행 방사선비파괴검사산업기사(2017년 1회) 59번

방사선비파괴검사산업기사 2017년 03월 59번

방사선투과검사에서 방사선의 강도를 I1, I2라고 할 때, 선원-시험체 간 거리 D1, D2와의 관계식으로 옳은 것은?

1
2
3
4
단축키
이전 문제로 이동은 키를 누르고, 다음 문제로 이동은 키를 누르세요
이전 문제 , 다음 문제
문제(60)
25 방사선 투과사징을 판독할 때 관독하기에 적합한 필름인가를 결정하기 위하여 확인할 필요가 없는 것은? 26 타겟이 텅스텐으로 된 X선 발생장치를 관전압 250kVp로 작동할 때, X선 전환율은? (단,텅스텐의 원자번호는 74이다.) 27 필름특성곡선에 대한 설명으로 틀린 것은? 28 X선 방생장치의 관구에 부착한 필터(filter)의 두께를 증가하면 그림과 같은 X선 스펙트럼은 어떻게 변하는가? 29 다음 중 콘트라스트에 영향을 미치는 인자가 아닌 것은? 30 방사선 투과시험에 사용되는 선원으로 원자로에서 분열 생성물(fission product)로 생성되는 선원은? 31 보일러 및 압력용기에 대한 방사선투과검사(ASME Sec.V Art.2)에서 연속사용 시 농도계는 몇 시간마다 교정 확인을 하는가? 32 보일러 및 압력용기에 대한 방사선투과검사(ASME Sec. V Atr.2)에서 요구되는 절차서 요건과 관계가 없는 것은 무엇인가? 33 방사선 방호 등에 관한 기중에서 사용하는 등가 선량의 단위는? 34 주강품의 방사선투과시험방법(KS D 0227)에 의한 주강품 수축의 결함 길이 측정 시 1류의 경우, 시험부 살께에 관계없이 세지 않는 나뭇가지 모양 결함의 퇴대 면적은 얼마인가? 35 보일러 및 압력용기에 대한 방사선투과검사(ASME Sec. V Art.2)에서 투과필름 최소 농도로 옳게 짝지어진 것은? 36 유해방사선에 대한 인체 영향을 감소시키는 근본적인 방법으로 옳지 않은 것은?
37 방사능 측정에서 측정 대상이 감마선일 경우 적절한 측정기가 아닌 것은? 38 보일러 및 압력용기에 대한 방사선투과검사(ASME Sec.V Art.2)에서 요구하는 국가 표준 그텝 태블릿은 치소 몇 스텝(step) 인가? 39 강 용접 이음부의 방사선투과시험방법(Ks B0845)에 따라 평판 맞대기 이음을 촬영할 때 식별되어야할 투과도계의 최소 선지름을 결정하기 위해 적용 되어야 할 두께로 옳은 것은? (단, 상질은 A급이면 단위는 mm이다.) 40 원자력안전법령에서, 수정체에 대한 방사선 작업종사자의 연간 등가선량한도는 얼마로 규정하고 있는가? 41 방사선 투과사진을 촬영할 때 기본적인 3가지 필수사항과 가장 거리가 먼 것은? 42 다음 중 방사선 투과검사에서 방사선이 시험체에 흡수되는 정도에 가장 적게 영향을 미치는 인자는? 43 방사선투과검사할 때 두꺼운 금속에 대하여는 연박증감지 또는 금속형광증감지를 사용한다. 이 때 사용되는 금속형광증감지에 대한 설명으로 틀린 것은? 44 현상 작업실인 암실에서의 금지사항에 대한 설명으로 틀린 것은? 45 다음 중 용접부결함이 아닌 것은? 46 공진 변압기형 X선 발생장치에서 철심과 절연유를 대신하여 교류 전원의 주파수에서 고전압 회로를 공진시키고 냉각제로 SF6나 프레온가스를 사용할 때의 장점은? 47 배관 용접부를 방사선투과검사할 때 관벽을 이중으로 투과 촬영하여 필름을 부착한 쪽의 용접부만을 사진상에 나타나게 하는 촬영 방법은? 48 관전압 200kWp, 관전류 5mA의 X선 발생 장치로 어떤 시험편을 촬영거리 60cm로 2분간 촬영하여 농도 2.0의 사진을 얻었다. 같은 조건하에서 촬영거리를 80cm로 하여 같은 농도의 사진을 얻으려면 촬영시간은 얼마로 하여야 하는가?
49 필름 스크라치에 의한 의사지시를 확인하는 방법으로 적절한 것은? 50 필름특성곡선에 관한 설명으로 틀린 것은? 51 X선 발생장치를 사용하기 전 충분히 예열을 하는 가장 큰 이유는? 52 X선 발생장치에서 관전압과 선원-필름간 거리가 일정할 때 노출량 계산을 위한 관전류(M)와 노출시간(T)과의 관계를 옳게 나타낸 것은? (단, M1, M2, T1, T2는 M, T 각각의 변화량이다.) 53 X선 발생장치에서 방사구에 부착, 투과에 도움이 되지 않는 파장이 긴 X선을 제거하여 산란방사선의 발생을 줄이기 위해 사용되는 것은? 54 다음 설명과 같은 고에너지 X선 발생장비는? 55 Ir-192로 철강재질을 방사선투과검사할 때 경제성 등을 고려한 알맞은 투과 범위로 옳은 것은? 56 두께 30mm인 강용접부를 선원-필름간 거리 30cm에서 Ir-192 40Ci로 1분간 노출을 주어 적절한 사진농도를 얻었을 때 이 선원으로 5개월 후에 선원-필름간 거리 60cm에서 같은 농도를 얻기 위한 노출시간은? (단, Ir의 반감기는 75일이다.) 57 주조결함 중 주형 내에서 용탕의 2개의 흐름이 합류할 때 경계가 완전히 융합하지 못하여 생기는 결함은? 58 방사선투과사진 필름을 수동 현상처리할 때의 설명으로 틀린 것은? 59 방사선투과검사에서 방사선의 강도를 I1, I2라고 할 때, 선원-시험체 간 거리 D1, D2와의 관계식으로 옳은 것은? 60 X선을 발생시키기 위한 기본 요구조건이 아닌 것은?
App Store Google Play
오늘학습 예시 이미지

시험에 합격하려면
복습을 제대로 해야 합니다.

오늘학습은 스스로 기억을 떠올리고 계획적으로 복습할 수 있도록 설계돼 있어요.
그것도, 가장 과학적인 방식으로요!

능동적 회상

능동적 회상
(Active Recall)

배운 내용을 단순 읽으며 반복하는 것이 아니라,
능동적으로 기억하고 있는지를
스스로 테스트하며
공부할 수 있는
학습 환경을 제공해 학습 효과를 높여요

간격 반복 학습

간격 반복 학습
(Spaced Repetition)

에빙하우스 망각곡선을 바탕으로
가장 최적의 시점에 복습을 제공하여
배운 내용이 잊히지 않도록 장기 기억화해요

Data 기반의
뇌과학적 복습 시스템

학습 결과 Data를 분석해, 문제별 최적화된
반복 학습량을
자동으로 분배해요.
학습에 소요되는 시간을 최소화하는
동시에
단기 기억을 장기 기억으로 전환해줘요.

36만 개 이상의
기출문제 무료 제공

공무원 및 약 300여종의 자격증 시험 기출문제
36만개
이상을 무료로 이용할 수 있어요.
여러 앱을 설치할 필요
없이, 오늘학습 하나로
모든 시험을 준비할 수 있어요.

다양한 문제 유형으로 만드는
나만의 단어장&문제집

기출 외에도 외워야 하는 내용은
객관식, 주관식, 카드, 빈칸
등 다양한 형식으로
직접 만들어 보세요. 내 학습 스타일에
맞게
나만의 단어장과 문제집을 만들 수 있어요.

시험별 체계적인
문제 관리

시험에 문제를 추가해 체계적으로
관리할 수 있어요.
주제나 단원별로
분류하고 싶다면,
시험에 챕터를 만들어
문제를 추가할 수도 있어요.

수십만 명이
오늘학습을 사랑합니다

앱 스토어 평점 4.9
구글 플레이 평점 4.8
누적 회원수 100,000+
지금 오늘학습을
시작해보세요
지금 시작하기
문제 선택