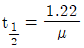
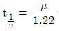
방사선의 흡수계가 μ이고 두께가 t라 할 때 반가층( )을 나타낸 식으로 옳은 것은?
지금 시작하기 →

・・・ 문제은행 방사선비파괴검사산업기사(2015년) 25번

방사선비파괴검사산업기사 2015년 09월 25번

방사선의 흡수계가 μ이고 두께가 t라 할 때 반가층( )을 나타낸 식으로 옳은 것은?

1
2
3
4
단축키
이전 문제로 이동은 키를 누르고, 다음 문제로 이동은 키를 누르세요
이전 문제 , 다음 문제
문제(60)
25 방사선의 흡수계가 μ이고 두께가 t라 할 때 반가층( )을 나타낸 식으로 옳은 것은? 26 Co-60 점선원으로부터 10m 거리에 있는 작업종사자가 받는 피복선량이 640mR/h이었다. 작업종사자의 피복선량을 20mR/h이하로 하려면 남 차폐벽의 두께를 약 몇 mm로 하여야 하는가? (단, 납의 흡수계수는 0.0693mm-1이다.) 27 감마선 조사기에 대한 일일점검 사항이 아닌 것은? 28 방사선동위원소의 γ선 방출 후 변화에 대한 설명으로 틀린 것은? 29 다음 입자가속기 중 자장에 의하여 전자가 가속되는 것은 30 X, γ선에 의한 전리작용이라 할 수 없는 현상은? 31 집적선량이 250mSV 인 만 25세의 방사선작업 종사자의 연간 최대 피복허용선량은 얼마인가? 32 종사자가 사고로 인하여 긴급 작업시 0.3Sv의 피폭을 받았을 경우 선량제한은? 33 방사선 작업종사자에 대해 비부 및 혈액검진을 실시하지 않아도 되는 경우는? 34 다음 중 방사능 오염물이 다량 함유된 채소를 섭취한 경우 방생하는 외부피폭을 측정하기 위한 기기가 아닌 것은? 35 주상품의 방사선 투과 시험방법(KS D 0227)에 따라 주강품의 방사선투과시험을 수행할 때 시험부의 두께가 12mm이고 슈링키지의 경우에는 시험시야의 크기(지름)를 얼마로 해야 하는가? 36 강용접 이음주의 방사선투과 시험방법(KS B 0845)에서 강판의 맞대기 용접 이음부를 촬용하는 경우 계조계의 사용방법이 옳은 것은?
37 알루미늄 주물의 방사선 투과시험방법 및 투과사진의 등급분류방법(KS D 0241)에 따라 알루미늄 주물의 방사선 투과시험을 실시할 때 시험부 및 투과도계 위치에서의 필름 종도의 설명 범위는? 38 개인방사선 측정용구 중 측정하한이 가장 낮은 설량계는? 39 Ir-192에 대한 반가층이 10mm인 어떤 물질을 20mm 두께로 차폐하고, 차폐체 후방에서 측정한 방사선량률이 1.2mSv엿다면 차폐 전방사선량룰은? 40 ASME Se. V Art.2에 규정된 농도계 교정에 사용되는 스텝웨지 교정 필름이 가져야 할 범위와 최소한의 스텝은? 41 노출도표에서 고정되는 조건이 아닌 것은? 42 X선, γ선에 의한 방사선투과검사 촬영시 다음 중 시험체에서 발생되는 산란선을 제거 또는 흡수 할 목적으로 사용되는 것들의 조합은? 43 필름을 정착액에 넣으면 감광되지 않은 필름유제가 완전히 제거될 때까지 걸리는 시간을 무엇이라 하는가? 44 필름특성곡선으로부터 알 수 있는 필름의 성질이 아닌 것은? 45 공업용 X선 발생장치를 사용하여 방사선투과검사를 할 때 전류 5mA에 6분의 노출을 주어 필름농도 Z를 얻었다. 같은 농도의 필름을 얻으려 할 때 다른 조건은 변경하지 않고 노출시간만 3분으로 변경시켰다면 전류는 얼마로 해야 하는가? 46 방사선투과검사에 사용되는 휴대형 농도계의 영점 조절을 어떻게 행하는가? 47 다음 중 방사선투과검사로 결함깊이를 측정할 수 있는 방법으로 가장 많이 이용되는 것은? 48 평판 용접부의 방사선 투과사진 농도 측정에 관한 설명으로 옳은 것은?
49 X선관의 표적이 갖추어야 할 특성으로 옳은 것은? 50 X선과 물질과의 상호작용 현상이 아닌 것은? 51 보통 방사선투과검사법으로는 시험체의 평면도를 나타내기 때문에 시험체의 두께를 측정하기 곤란하다. 스텝웨지(step wedge)를 이용하여 시험체의 두께를 대략적으로 측정하는 방법에 관한 사항 중 틀린 것은? 52 공업용 방사선 투과사진의 현상제에 포함된 약품 중에서 반응촉진제의 주기능을 하는 것은? 53 다음 중 방사선 투과사진 판독에 있어서 인공결함의 원인과 결과가 올바르게 연결된 것은? 54 선원의 강도가 30Ci인 Ir-192를 사용할 때 두께가 45mm인 철판으로 차폐하면 같은 위치에서 방사선량은 처음의 몇 %로 감소하는가? (단, Ir-192의 철에 대한 반가층은 15mm로 한다.) 55 다음 중 방사선 투과사진 필름을 건조하기 위한 가장 적당한 온도는? 56 다음 중 감마선에너지가 약 0.66MeV 이며, 반감기가 약 30.1년인 방사성 동위원소는? 57 공업용 감마선 조사장치를 이용한 방사선투과검사에서 원격조작장치의 선원 튜브 끝부분에 설치하여 방사선을 한쪽 방향으로만 방출하게 차폐하여 누설 방사선량을 줄이는 기기는? 58 30Ci의 Ir-192로 두께 2인치 철판의 시험품을 촬영하여 사진농도 2.0인 사진을 얻으려면 선원과 필름 사이의 거리를 10인치로 할 때 노출시간은 얼마로 주어야 하는가? (단, 노출인자는 0.96이며 이때 필름농도는 2.0이다.)(오류 신고가 접수된 문제입니다. 반드시 정답과 해설을 확인하시기 바랍니다.) 59 150 ~ 300kVp 정도의 X선 발생장치로 방사선투과시험을 할 때 다음 물질 중에서 산란선을 제거하기 위해 필름의 앞, 뒷면에 사용되는 것은? 60 주강품의 방사선투과사진상에 부분적으로 매우 검게 나타나 마치 주형의 일부분이 비어있는 상태로 나타났을 때 결함의 종류로 가장 적절한 것은?
App Store Google Play
오늘학습 예시 이미지

시험에 합격하려면
복습을 제대로 해야 합니다.

오늘학습은 스스로 기억을 떠올리고 계획적으로 복습할 수 있도록 설계돼 있어요.
그것도, 가장 과학적인 방식으로요!

능동적 회상

능동적 회상
(Active Recall)

배운 내용을 단순 읽으며 반복하는 것이 아니라,
능동적으로 기억하고 있는지를
스스로 테스트하며
공부할 수 있는
학습 환경을 제공해 학습 효과를 높여요

간격 반복 학습

간격 반복 학습
(Spaced Repetition)

에빙하우스 망각곡선을 바탕으로
가장 최적의 시점에 복습을 제공하여
배운 내용이 잊히지 않도록 장기 기억화해요

Data 기반의
뇌과학적 복습 시스템

학습 결과 Data를 분석해, 문제별 최적화된
반복 학습량을
자동으로 분배해요.
학습에 소요되는 시간을 최소화하는
동시에
단기 기억을 장기 기억으로 전환해줘요.

36만 개 이상의
기출문제 무료 제공

공무원 및 약 300여종의 자격증 시험 기출문제
36만개
이상을 무료로 이용할 수 있어요.
여러 앱을 설치할 필요
없이, 오늘학습 하나로
모든 시험을 준비할 수 있어요.

다양한 문제 유형으로 만드는
나만의 단어장&문제집

기출 외에도 외워야 하는 내용은
객관식, 주관식, 카드, 빈칸
등 다양한 형식으로
직접 만들어 보세요. 내 학습 스타일에
맞게
나만의 단어장과 문제집을 만들 수 있어요.

시험별 체계적인
문제 관리

시험에 문제를 추가해 체계적으로
관리할 수 있어요.
주제나 단원별로
분류하고 싶다면,
시험에 챕터를 만들어
문제를 추가할 수도 있어요.

수십만 명이
오늘학습을 사랑합니다

앱 스토어 평점 4.9
구글 플레이 평점 4.8
누적 회원수 100,000+
지금 오늘학습을
시작해보세요
지금 시작하기
문제 선택