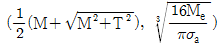
비틀림모멘트(T)와 굽힘모멘트(M)를 동시에 작용 받는 중실축에서 상당굽힘모멘트(Me)를 고려한 축의 지름(d)을 구하고자 한다. 이때 Me와 d를 구하는 식으로 가장 옳은 것은? (순서대로 Me, d)
지금 시작하기 →

・・・ 문제은행 9급 지방직 공무원 서울시 기계설계(2019년 1회) 13번

9급 지방직 공무원 서울시 기계설계 2019년 02월 13번

비틀림모멘트(T)와 굽힘모멘트(M)를 동시에 작용 받는 중실축에서 상당굽힘모멘트(Me)를 고려한 축의 지름(d)을 구하고자 한다. 이때 Me와 d를 구하는 식으로 가장 옳은 것은? (순서대로 Me, d)

1
2
3
4
단축키
이전 문제로 이동은 키를 누르고, 다음 문제로 이동은 키를 누르세요
이전 문제 , 다음 문제
문제(20)
1 <보기>에서 a-a'으로 자른 단면의 면적이 A인 원통형 시편에 인장하중 F가 작용할 때, 단면과 θ의 각을 이루는 경사진 단면에 발생하는 최대전단응력 τmax와 그때의 각도 θ를 옳게 짝지은 것은? 2 압착기(presser), 바이스(vise) 등과 같이 하중의 작용 방향이 항상 같은 경우에 사용되는 나사의 종류는? 3 토크가 60,000kgf·mm인 지름 60mm의 축에 장착한 성크키(sunk key)의 폭이 10mm, 길이가 50mm일 때, 키에 발생하는 전단응력[kgf/mm2]은? 4 400rpm으로 2.0kW를 전달하고 있는 축에 발생하는 비틀림모멘트[kgf·mm]는? 5 내압을 받는 내경 1,200mm의 보일러 용기를 두께 12mm 강판을 사용하여 리벳이음으로 설계하고자 한다. 강판의 허용인장응력이 10kgf/mm2, 리벳이음의 효율이 0.5일 때 보일러 용기의 최대 설계내압[N/m2]은? (단, 판의 부식 등 주어지지 않은 조건은 고려하지 않으며, 중력가속도는 9.8m/s2이다.) 6 <보기>와 같이 원추마찰차 A, B가 두 축의 사이각 θ=120°로 외접하여 회전하고 있다. 회전비 가 2일 때 <보기>에서 α와 β의 값으로 옳은 것은? 7 기어의 치형곡선 중 사이클로이드 치형과 인벌류트 치형을 비교한 설명으로 가장 옳은 것은? 8 밴드 브레이크에서 긴장측 장력이 480kgf이고, 밴드 두께가 2mm, 밴드 폭이 12mm, 길이가 100mm일 때 생기는 인장응력[kgf/mm2]은? 9 판의 폭이 60mm이고, 두께가 10mm, 스팬이 600mm인 양단 지지형 겹판스프링이 있다. 중앙집중하중 1,200kgf를 지지하려면 몇 장의 판이 필요한가? (단, 재료의 허용 응력은 30kgf/mm2이며 판 사이의 마찰 및 죔폭은 고려하지 않는다.) 10 1,600kgf의 베어링 하중을 지지하고 회전속도 300rpm으로 회전하는 끝저널 베어링의 최소 지름[mm]과 폭[mm]은? (단, 허용베어링압력은 0.5kgf/mm2, 폭지름비 /d=2로 한다.) (순서대로 베어링의 지름, 폭) 11 <보기>와 같이 등분포하중을 받는 단순보가 있다. 이 보가 원형 단면일 때의 최대처짐량을 δA, 정사각형 단면일 때의 최대처짐량을 δB라 할 때 δA/δB 의 값은? (단, 보의 재질 및 단면의 넓이는 두 경우 모두 동일하다.) 12 <보기>와 같은 단식 블록 브레이크(a=900mm, b=80mm, c=50mm, μ=0.2)가 있다. 레버 끝에 힘 F=15kgf를 가할 때의 제동토크[kgf·mm]는? (단, 드럼의 지름은 400mm이다.)
13 비틀림모멘트(T)와 굽힘모멘트(M)를 동시에 작용 받는 중실축에서 상당굽힘모멘트(Me)를 고려한 축의 지름(d)을 구하고자 한다. 이때 Me와 d를 구하는 식으로 가장 옳은 것은? (순서대로 Me, d) 14 피아노선으로 만든 코일 스프링에 하중 5kgf가 작용할 때 처짐이 10mm가 되는 스프링의 유효권수는? (단, 소선의 지름은 6mm, 코일 평균지름은 60mm, 가로탄성계수는 8.0×103kgf/mm2이다.) 15 <보기>에서 인장력 15kN이 작용할 때 지름 10mm인 리벳 단면에서 발생하는 전단응력[MPa]은? (단, π=3으로 계산한다.) 16 원주속도 2m/s로 5kW의 동력을 전달하기 위해 필요한 마찰차(friction wheel)를 누르는 힘의 최솟값[kN]은? (단, 마찰계수는 0.25이다.) 17 200mm의 중심거리를 가지고 외접하여 회전하는 표준기어 한 쌍의 잇수가 각각 60, 20일 경우 이 표준기어의 모듈은? 18 벨트장치에서 원동풀리의 지름 300mm, 종동풀리의 지름 500mm, 축간거리 1.5m인 벨트를 엇걸기할 때와 평행걸기할 때의 길이 차이를 계산한 값[mm]은? 19 스프로켓 휠의 잇수 Z1, Z2, 축간거리 C, 체인의 피치 p일 때 롤러 체인의 길이를 구하는 식으로 가장 옳은 것은? 20 연성재질의 부재에 주응력 σ1=40MPa, σ2=0MPa, σ3=-40MPa이 작용하고 있다. 재료의 항복강도는 σY=120√3MPa로 압축항복강도와 인장항복강도의 크기는 같다. Von Mises 이론에 따라 계산한 안전계수 S(safety factor)는?
App Store Google Play
오늘학습 예시 이미지

시험에 합격하려면
복습을 제대로 해야 합니다.

오늘학습은 스스로 기억을 떠올리고 계획적으로 복습할 수 있도록 설계돼 있어요.
그것도, 가장 과학적인 방식으로요!

능동적 회상

능동적 회상
(Active Recall)

배운 내용을 단순 읽으며 반복하는 것이 아니라,
능동적으로 기억하고 있는지를
스스로 테스트하며
공부할 수 있는
학습 환경을 제공해 학습 효과를 높여요

간격 반복 학습

간격 반복 학습
(Spaced Repetition)

에빙하우스 망각곡선을 바탕으로
가장 최적의 시점에 복습을 제공하여
배운 내용이 잊히지 않도록 장기 기억화해요

Data 기반의
뇌과학적 복습 시스템

학습 결과 Data를 분석해, 문제별 최적화된
반복 학습량을
자동으로 분배해요.
학습에 소요되는 시간을 최소화하는
동시에
단기 기억을 장기 기억으로 전환해줘요.

36만 개 이상의
기출문제 무료 제공

공무원 및 약 300여종의 자격증 시험 기출문제
36만개
이상을 무료로 이용할 수 있어요.
여러 앱을 설치할 필요
없이, 오늘학습 하나로
모든 시험을 준비할 수 있어요.

다양한 문제 유형으로 만드는
나만의 단어장&문제집

기출 외에도 외워야 하는 내용은
객관식, 주관식, 카드, 빈칸
등 다양한 형식으로
직접 만들어 보세요. 내 학습 스타일에
맞게
나만의 단어장과 문제집을 만들 수 있어요.

시험별 체계적인
문제 관리

시험에 문제를 추가해 체계적으로
관리할 수 있어요.
주제나 단원별로
분류하고 싶다면,
시험에 챕터를 만들어
문제를 추가할 수도 있어요.

수십만 명이
오늘학습을 사랑합니다

앱 스토어 평점 4.9
구글 플레이 평점 4.8
누적 회원수 100,000+
지금 오늘학습을
시작해보세요
지금 시작하기
문제 선택