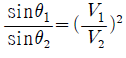
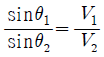
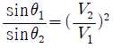
스넬의 법칙을 설명한 관계식으로 옳은 것은? (단, θ1은 입사각, θ2는 굴절각, V1은 접촉매질의 파 전달속도, V2는 검사체의 파 전달속도이다.)
지금 시작하기 →

・・・ 문제은행 초음파비파괴검사기능사(2016년 1회) 16번

초음파비파괴검사기능사 2016년 01월 16번

스넬의 법칙을 설명한 관계식으로 옳은 것은? (단, θ1은 입사각, θ2는 굴절각, V1은 접촉매질의 파 전달속도, V2는 검사체의 파 전달속도이다.)

1
2
3
4
단축키
이전 문제로 이동은 키를 누르고, 다음 문제로 이동은 키를 누르세요
이전 문제 , 다음 문제
문제(60)
13 용제제거성 형광 침투탐상검사의 장점이 아닌 것은? 14 표면 또는 표면직하 결함 검출을 위한 비파괴검사법과 거리가 먼 것은? 15 두꺼운 판용접부의 경사각탐상에서 2개의 경사각 탐촉자를 용접부의 한쪽에서 전후로 배열하여 하나는 송신용, 하나는 수신용으로 하는 탐상방법은? 16 스넬의 법칙을 설명한 관계식으로 옳은 것은? (단, θ1은 입사각, θ2는 굴절각, V1은 접촉매질의 파 전달속도, V2는 검사체의 파 전달속도이다.) 17 일반적으로 두 물질의 경계면에 수직으로 음파가 입사할 때 음파는 경계면에서 반사하는 성분과 통과하는 성분으로 나누어진다. 이 두 개로 나누어지는 비율은 경계면에 접하는 무엇에 따라 정해지는가? 18 불연속에서 초음파빔이 반사될 면의 각도와 탐상표면과의 관계를 무엇이라고 하는가? 19 다음 중 초음파의 성질로 틀린 것은? 20 다음 중 일정한 거리에서 음파의 감쇠량이 가장 큰 물질은? 21 그림과 같이 플라스틱 쐐기의 입사각이 37°인 탐촉자로 탄소강 내에 진행하는 횡파의 굴절각을 구하면 얼마인가? 22 다음 중 초음파 경사각탐상에 대한 설명으로 틀린 것은? 23 수신된 초음파가 물질을 통과하면서 처음 송신된 초음파의 강도에 비해 현저히 낮아지게 되는 이유는? 24 금속재료에 대한 초음파탐상시험 시 재료 내부의 결정입자가 큰 경우 시험에 미치는 영향으로 틀린 것은?
25 초음파탐상시험에서 탐촉자 댐핑을 증가시키면 나타나는 현상은? 26 [그림]은 7.6cm 알루미늄 시험편에 대한 수침검사와 스크린상의 모양이다. 스크린 상의 지시 B는? 27 수침법에서 수직탐촉자와 검사체 면이 수직인가를 확인하는 가장 좋은 방법은? 28 초음파탐상 시험용 표준시험편(KS B 0831)에서 탐상용 STB-G형 시험편의 합격 여부 판정에서 시험편 반사원의 에코높이 측정값이 검정용 표준시험에서 기준으로 정한 기준값 범위로 틀린 것은? 29 강용접부의 초음파탐상 시험방법(KS B 0896)에 의한 흠 분류에 해당되지 않는 것은? 30 초음파탐상 시험용 표준시험편(KS B 0831)의 초음파 탐상용 표준시험편 중 수직탐촉자의 특성 측정에 사용되는 것은? 31 강용접부의 초음파탐상 시험방법(KS B 0896)에서 수직탐상을 실시할 경우 시험체의 두께가 100mm 초과 150mm 이하일 때 적용하는 대비시험편은? 32 강용접부의 초음파탐상 시험방법(KS B 896)에서 규정한 평판이음 탐상에서 판 두께가 30mm이고, 음향 이방성을 가진 시험체일 경우 기본으로 사용되는 탐촉자의 공칭 굴절각은?(오류 신고가 접수된 문제입니다. 반드시 정답과 해설을 확인하시기 바랍니다.) 33 금속재료의 펄스반사법에 따른 초음파탐상 시험방법 통칙(KS B 0817)에서 시험을 하는 시기에 대한 설명으로 틀린 것은? 34 건축용 강판 및 평강의 초음파탐상시험에 따른 등급분류와 판정기준(KS D 0040)에 따라 자동 경보장치가 없는 탐상장치를 사용하여 초음파탐상을 할 경우 주사속도는? 35 강용접부의 초음파탐상 시험방법(KS B 0896)에 따른 초음파 탐상장치의 조정 중 입사점은 얼마 단위로 읽는가? 36 탄소강 및 저합금강 단강품의 초음파탐상 시험방법(KS D 0248)에서 탐상기의 사용 주파수 범위로 가장 거리가 먼 것은?
37 강용접부의 초음파탐상 시험방법(KS B 0896)에 의해 곡률반지름이 200mm인 길이 이음 용접부를 탐상하고자 할 때, 에코높이 구분선 작성에 사용하는 대비 시험편은? 38 압력용기용 강판의 초음파탐상 검사방법(KS D 0233)에서 적용하고 있는 주요 검사 대상물로 합당한 것은? 39 초음파 탐촉자의 성능 측정 방법(KS B 0535)에 따른 초음파 탐촉자의 성능측정의 적용 공칭주파수 범위는? 40 강용접부의 초음파탐상시험방법(KS B 0896)에 의한 경사각탐촉자의 공칭 주파수가 2MHz와 5MHz 중 2MHz에만 사용할 수 있는 진동자의 공칭 치수[mm]는? 41 초음파탐상 시험용 표준시험편(KS B 0831)에 따른 초음파 탐상 시험용 표준 시험편 중 두꺼운 판에 적용하는 표준시험편의 종류 기호는? 42 금속재료의 펄스반사법에 따른 초음파탐상 시험방법 통칙(KS B 0817)에서 흠짐 위치 기록 중 틀린 것은? 43 Al-Si계 합금에 관한 설명으로 틀린 것은? 44 반자성체에 해당하는 금속은? 45 고속도강의 대표 강종인 SKH2 텅스턴계 고속도강의 기본 조성으로 옳은 것은? 46 비중 7.3, 용융점 232℃, 13℃에서 동소 변태하는 금속으로 전연성이 우수하며, 의약품, 식품 등의 포장용 튜브, 식기, 장식기 등에 사용되는 것은? 47 문쯔메탈이라 하며 탈아연 부식이 발생하기 쉬운 동합금은? 48 강에 탄소량이 증가할수록 증가하는 것은?
App Store Google Play
오늘학습 예시 이미지

시험에 합격하려면
복습을 제대로 해야 합니다.

오늘학습은 스스로 기억을 떠올리고 계획적으로 복습할 수 있도록 설계돼 있어요.
그것도, 가장 과학적인 방식으로요!

능동적 회상

능동적 회상
(Active Recall)

배운 내용을 단순 읽으며 반복하는 것이 아니라,
능동적으로 기억하고 있는지를
스스로 테스트하며
공부할 수 있는
학습 환경을 제공해 학습 효과를 높여요

간격 반복 학습

간격 반복 학습
(Spaced Repetition)

에빙하우스 망각곡선을 바탕으로
가장 최적의 시점에 복습을 제공하여
배운 내용이 잊히지 않도록 장기 기억화해요

Data 기반의
뇌과학적 복습 시스템

학습 결과 Data를 분석해, 문제별 최적화된
반복 학습량을
자동으로 분배해요.
학습에 소요되는 시간을 최소화하는
동시에
단기 기억을 장기 기억으로 전환해줘요.

36만 개 이상의
기출문제 무료 제공

공무원 및 약 300여종의 자격증 시험 기출문제
36만개
이상을 무료로 이용할 수 있어요.
여러 앱을 설치할 필요
없이, 오늘학습 하나로
모든 시험을 준비할 수 있어요.

다양한 문제 유형으로 만드는
나만의 단어장&문제집

기출 외에도 외워야 하는 내용은
객관식, 주관식, 카드, 빈칸
등 다양한 형식으로
직접 만들어 보세요. 내 학습 스타일에
맞게
나만의 단어장과 문제집을 만들 수 있어요.

시험별 체계적인
문제 관리

시험에 문제를 추가해 체계적으로
관리할 수 있어요.
주제나 단원별로
분류하고 싶다면,
시험에 챕터를 만들어
문제를 추가할 수도 있어요.

수십만 명이
오늘학습을 사랑합니다

앱 스토어 평점 4.9
구글 플레이 평점 4.8
누적 회원수 100,000+
지금 오늘학습을
시작해보세요
지금 시작하기
문제 선택