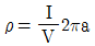
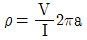
전기비저항탐사(웨너배열)에서 4전극간의 거리를 a라고 하면 비저항 ρ는 어떻게 표t시하는가?
지금 시작하기 →

・・・ 문제은행 응용지질기사(2018년 2회) 57번

응용지질기사 2018년 09월 57번

전기비저항탐사(웨너배열)에서 4전극간의 거리를 a라고 하면 비저항 ρ는 어떻게 표t시하는가?

1
2
3
4
단축키
이전 문제로 이동은 키를 누르고, 다음 문제로 이동은 키를 누르세요
이전 문제 , 다음 문제
문제(100)
61 투수량계수(T)와 수리전도도(K) 및 포화된 대수층 두께(b)의 관계식으로 옳은 것은? 62 다음 설명 중 옳지 않은 것은? 63 아래와 같은 조건으로 어느 흙 시료의 변수위 투수시험을 하였을 때 투수계수는? 64 터널공사 시 암반조건에 대한 공학적 성질을 제시해주는 Q값을 구하는 아래 식에서(RQD/Jn)가 평가하는 암반의 성질은? 65 두 층으로 이루어진 성토층이 있다. 상부층의 두꼐는 1.2m, 하부층의 두께는 2.3m, 상부층의 투수계수는 1.3×10-4m/sec, 하부층의 투수계수는 3.1×10-4m/sec일 때 이 성토픙의 수평방향 평균투수계수는? 66 층리를 따라 강도가 약하고 물에 침수 시 팽윤 현상을 나타내는 특징을 갖는 기반암은? 67 현장 원위치 시험법 중 사질토를 대상으로 해머를 자유낙하시켜 30cm 관입하는데 필요한 타격횟수를 측정하는 것은? 68 다음 중 충적층 또는 홍적층에서 공극률이 가장 큰 지층은? 69 다음 중 지반의 허용지지력이 가장 작은 토질은? 70 암반 불연속면의 벽면강도 측정을 위한 슈미트 해머 시험에 대한 설명으로 옳지 않은 것은? 71 암반사면에서 평면파괴가 일어나기 위해 만족되어야 하는 기하학적인 조건으로 옳지 않은 것은? 72 모어원에서 응력상태가 다음 그림과 같을 때, 어떤 조건에서의 응력상태를 나타내는 것인가? (단, σ3<0, σ1=0이다.)
App Store Google Play
오늘학습 예시 이미지

시험에 합격하려면
복습을 제대로 해야 합니다.

오늘학습은 스스로 기억을 떠올리고 계획적으로 복습할 수 있도록 설계돼 있어요.
그것도, 가장 과학적인 방식으로요!

능동적 회상

능동적 회상
(Active Recall)

배운 내용을 단순 읽으며 반복하는 것이 아니라,
능동적으로 기억하고 있는지를
스스로 테스트하며
공부할 수 있는
학습 환경을 제공해 학습 효과를 높여요

간격 반복 학습

간격 반복 학습
(Spaced Repetition)

에빙하우스 망각곡선을 바탕으로
가장 최적의 시점에 복습을 제공하여
배운 내용이 잊히지 않도록 장기 기억화해요

Data 기반의
뇌과학적 복습 시스템

학습 결과 Data를 분석해, 문제별 최적화된
반복 학습량을
자동으로 분배해요.
학습에 소요되는 시간을 최소화하는
동시에
단기 기억을 장기 기억으로 전환해줘요.

36만 개 이상의
기출문제 무료 제공

공무원 및 약 300여종의 자격증 시험 기출문제
36만개
이상을 무료로 이용할 수 있어요.
여러 앱을 설치할 필요
없이, 오늘학습 하나로
모든 시험을 준비할 수 있어요.

다양한 문제 유형으로 만드는
나만의 단어장&문제집

기출 외에도 외워야 하는 내용은
객관식, 주관식, 카드, 빈칸
등 다양한 형식으로
직접 만들어 보세요. 내 학습 스타일에
맞게
나만의 단어장과 문제집을 만들 수 있어요.

시험별 체계적인
문제 관리

시험에 문제를 추가해 체계적으로
관리할 수 있어요.
주제나 단원별로
분류하고 싶다면,
시험에 챕터를 만들어
문제를 추가할 수도 있어요.

수십만 명이
오늘학습을 사랑합니다

앱 스토어 평점 4.9
구글 플레이 평점 4.8
누적 회원수 100,000+
지금 오늘학습을
시작해보세요
지금 시작하기
문제 선택