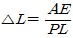
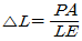
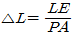
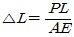
비례한도 내에서 인장시험을 할 때 늘어난 길이 △L 에 관한 공식으로 옳은 것은?(단, Esms 재료의 세로탄성계수, P는 인장하중, L은 시험편의 초기 길이, A는 시험편의 초기 단면적이다.)
지금 시작하기 →

・・・ 문제은행 자동차정비산업기사(2016년 3회) 15번

자동차정비산업기사 2016년 08월 15번

비례한도 내에서 인장시험을 할 때 늘어난 길이 △L 에 관한 공식으로 옳은 것은?(단, Esms 재료의 세로탄성계수, P는 인장하중, L은 시험편의 초기 길이, A는 시험편의 초기 단면적이다.)

1
2
3
4
단축키
이전 문제로 이동은 키를 누르고, 다음 문제로 이동은 키를 누르세요
이전 문제 , 다음 문제
문제(80)
13 다음 중 기어펌프에 속하지 않는 것은? 14 γ-Fe에 탄소가 최대 2.11% 고용된 γ고용체로 면심입방격자 결정구조를 가지고 있으며, A1 변태점 이상에서 주로 존재하는 철강의 기본조직은? 15 비례한도 내에서 인장시험을 할 때 늘어난 길이 △L 에 관한 공식으로 옳은 것은?(단, Esms 재료의 세로탄성계수, P는 인장하중, L은 시험편의 초기 길이, A는 시험편의 초기 단면적이다.) 16 버니어캘리퍼스의 어미자의 1눈금이 1mm이고, 아들자의 눈금은 어미자의 19mm를 20등분하였을 때 읽을 수 있는 최소 눈금은?(오류 신고가 접수된 문제입니다. 반드시 정답과 해설을 확인하시기 바랍니다.) 17 미끄럼 베어링 재료가 구비하여야 할 성질이 아닌 것은? 18 2줄 나사의 피치가 0.5 mm일 때, 이 나사의 리드는? 19 비례한도 이내에서 응력과 변형률이 정비례한다는 것은 다음 중 어느 법칙인가? 20 다음 용접부의 검사 중 비파괴검사법에 해당하는 것은? 21 피스톤 링에 대한 설명으로 틀린 것은? 22 LPI엔진에서 크랭킹은 가능하나 시동이 불가능하다. 다음 두 정비사의 의견 중 옳은 것은? 23 전자제어 가솔린 기관의 흡입공기량센서 중 흡입되는 공기흐름에 따라 발생하는 주파수를 검출하여 유량을 계측하는 방식은? 24 기관에 쓰이는 베어링의 크러시(Crush)에 대한 설명으로 틀린 것은?
25 전자제어 디젤 기관의 인젝터 연료분사량 편차보정기능(IQA)에 대한 설명 중 거리가 가장 먼 것은? 26 4행정 가솔린기관의 연료 분사 모드에서 동시 분사모드에 대한 특징을 설명한 것 중 거리가 먼 것은? 27 전자제어 가솔린 분사장치의 장점에 해당되지 않는 것은? 28 전자제어 LPI 기관의 구성품이 아닌 것은? 29 흡배기밸브의 밸브간극을 측정하여 새로운 태핏을 장착하고자 한다. 새로운 태핏의 두께를 구하는 공식으로 올바른 것은?(단, N : 새로운 태핏의 두께, T : 분리된 태핏의 두께, A : 측정된 밸브간극, K : 밸브규정간극) 30 총배기량이 1800 cc인 4행정 기관의 도시평균 유효압력이 16kg/cm2, 회전수가 2000 rpm일 때 도시마력(PS)은? (단, 실린더 수는 1개이다.) 31 연료의 저위발열량을 Hl(kcal/kgf), 연료소비량을 F(kgf/h), 도시출력을 Pi(PS), 연료소비시간을 t(s)라 할 때 도시 열효율 ni를 구하는 식은? 32 전자제어 가솔린기관의 연료압력조절기 내의 압력이 일정압력 이상일 경우 어떻게 작동하는가? 33 LPG기관의 봄베에는 기상 밸브, 액상 밸브, 충전 밸브의 3가지 기본 밸브가 장착된다. 이 중에서 액상 밸브의 색깔은? 34 전자제어 기관에서 열선식(hot wire type) 공기유량센서의 특징으로 맞는 것은? 35 보기에서 가솔린엔진의 연료 분사량에 관련된 공식으로 맞는 것을 모두 고른 것은? 36 행정 체적 215cm3, 실린더 체적 245cm3인 기관의 압축비는 약 얼마인가?
49 조향장치에 대한 설명으로 틀린 것은? 50 ABS(Anti-lock Brake System), TCS(Traction Control Ststem)에 대한 설명으로 틀린 것은? 51 동력전달장치에서 드라이브라인의 자재이음과 슬립이음의 설명으로 옳은 것은? 52 자동차 동력전달계통의 이음 중 구동축과 회전축의 경사각이 30° 이상에서 동력전달이 가능한 이음은? 53 댐퍼 클러치 제어와 관련 없는 것은? 54 공기식 현가장치에서 벨로스형 공기 스프링 내부의 압력 변화를 완화하여 스프링 작용을 유연하게 해주는 것은? 55 브레이크 페달을 강하게 밟을 때 후륜이 먼저 록(lock) 되지 않도록 하기 위하여 유압이 일정압력으로 상승하면 그 이상 후륜 측에 유압이 가해지지 않도록 제한하는 장치는? 56 전자제어 파워스티어링 제어방식이 아닌 것은? 57 타이어 압력 모니터링 장치(TPMS)에 대한 설명 중 틀린 것은? 58 평탄한 도로를 90 km/h로 달리는 승용차의 총 주행저항은 약 얼마인가? (단, 총중량 1145 kgf, 투영면적 1.6m2, 공기저항계수 0.03, 구름저항계수 0.015 이다.) 59 엔진 회전수가 2000 rpm으로 주행 중인 자동차에서 수동변속기의 감속비가 0.8이고, 차동장치 구동피니언의 잇수가 6, 링기어의 잇수가 30일 때, 왼쪽 바퀴가 600 rpm으로 회전한다면 오른쪽 바퀴의 회전 속도는? 60 전자제어 현가장치(ECS)의 감쇠력 제어를 위해 입력되는 신호가 아닌 것은?
61 15000 cd의 광원으로부터 10m 떨어진 위치에서 조도(Lx)는? 62 계기판의 유압 경고등 회로에 대한 설명으로 틀린 것은? 63 도난방지장치에서 리모콘으로 록(Lock) 버튼을 눌렀을 때 문은 잠기지만 경계상태로 진입하지 못하는 현상이 발생한다면 그 원인으로 가장 거리가 먼 것은 무엇인가? 64 2개의 코일 간의 상호 인덕턴스가 0.8H일 때 한 쪽의 코일의 전류가 0.01초간에 4A에서 1A로 동일하게 변화하면 다른 쪽 코일에는 얼마의 기전력이 유도 되는가? 65 기동전동기의 전기자 코일에 항상 일정한 방향으로 전류가 흐르도록 하는 것은? 66 점화장치에서 점화 1차회로의 전류를 차단하는 스위치 역할을 하는 것은? 67 증폭률을 크게 하기 위해 트랜지스터 1개의 출력 신호가 다른 트랜지스터 베이스의 입력신호로 사용되는 반도체 소자는 무엇인가? 68 전조등 자동제어 시스템이 갖추어야 할 조건으로 틀린 것은? 69 이모빌라이저 시스템에 대한 설명으로 틀린 것은? 70 다음 회로에서 2개의 저항을 통과하여 흐르는 전류는 A, B, C 각 점에서 어떻게 나타나는가? 71 병렬형(Parallel) TMED(Transmission Mounted Electric Device)방식의 하이브리드 자동차의 HSG(Hybrid Starter Generator)에 대한 설명 중 틀린 것은? 72 운행 자동차의 전조등 시험기 측정 시 광도 및 광축을 확인하는 방법으로 틀린 것은?
App Store Google Play
오늘학습 예시 이미지

시험에 합격하려면
복습을 제대로 해야 합니다.

오늘학습은 스스로 기억을 떠올리고 계획적으로 복습할 수 있도록 설계돼 있어요.
그것도, 가장 과학적인 방식으로요!

능동적 회상

능동적 회상
(Active Recall)

배운 내용을 단순 읽으며 반복하는 것이 아니라,
능동적으로 기억하고 있는지를
스스로 테스트하며
공부할 수 있는
학습 환경을 제공해 학습 효과를 높여요

간격 반복 학습

간격 반복 학습
(Spaced Repetition)

에빙하우스 망각곡선을 바탕으로
가장 최적의 시점에 복습을 제공하여
배운 내용이 잊히지 않도록 장기 기억화해요

Data 기반의
뇌과학적 복습 시스템

학습 결과 Data를 분석해, 문제별 최적화된
반복 학습량을
자동으로 분배해요.
학습에 소요되는 시간을 최소화하는
동시에
단기 기억을 장기 기억으로 전환해줘요.

36만 개 이상의
기출문제 무료 제공

공무원 및 약 300여종의 자격증 시험 기출문제
36만개
이상을 무료로 이용할 수 있어요.
여러 앱을 설치할 필요
없이, 오늘학습 하나로
모든 시험을 준비할 수 있어요.

다양한 문제 유형으로 만드는
나만의 단어장&문제집

기출 외에도 외워야 하는 내용은
객관식, 주관식, 카드, 빈칸
등 다양한 형식으로
직접 만들어 보세요. 내 학습 스타일에
맞게
나만의 단어장과 문제집을 만들 수 있어요.

시험별 체계적인
문제 관리

시험에 문제를 추가해 체계적으로
관리할 수 있어요.
주제나 단원별로
분류하고 싶다면,
시험에 챕터를 만들어
문제를 추가할 수도 있어요.

수십만 명이
오늘학습을 사랑합니다

앱 스토어 평점 4.9
구글 플레이 평점 4.8
누적 회원수 100,000+
지금 오늘학습을
시작해보세요
지금 시작하기
문제 선택