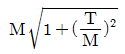
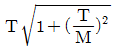
비틀림 모멘트(T)와 굽힘 모멘트(M)를 동시에 받는 재료의 상당 비틀림 모멘트(Te)를 나타내는 식은?
지금 시작하기 →

・・・ 문제은행 자동차정비산업기사(2020년 1회) 7번

자동차정비산업기사 2020년 06월 7번

비틀림 모멘트(T)와 굽힘 모멘트(M)를 동시에 받는 재료의 상당 비틀림 모멘트(Te)를 나타내는 식은?

1
2
3
4
단축키
이전 문제로 이동은 키를 누르고, 다음 문제로 이동은 키를 누르세요
이전 문제 , 다음 문제
문제(80)
37 최적의 점화시기를 의미하는 MBT(Minimum spark advance for Best Torque)에 대한 설명으로 가장 적절한 것은? 38 전자제어 가솔린 엔진에서 티타니아 산소센서의 경우 전원은 어디에서 공급되는가? 39 전자제어 가솔린 연료 분사장치에서 흡입공기량과 엔진회전수의 입력으로만 결정되는 분사량으로 옳은 것은? 40 디젤엔진에서 최대분사량이 40cc, 최소분사량이 32cc일 때 각 실린더의 평균 분사량이 34cc라면 (+)불균율은 몇 %인가? 41 휠 얼라인먼트의 주요 요소가 아닌 것은? 42 ECS 제어에 필요한 센서와 그 역할로 틀린 것은? 43 최고 출력이 90PS로 운전되는 기관에서 기계효율이 0.9인 변속장치를 통하여 전달된다면 추진축에서 발생되는 회전수와 회전력은 약 얼마인가? (단, 기관회전수 5000rpm, 변속비는 2.5이다.) 44 브레이크 파이프 라인에 잔압을 두는 이유로 틀린 것은? 45 무단변속기(CVT)의 장점으로 틀린 것은? 46 노면과 직접 접촉은 하지 않고 충격에 완충작용을 하며 타이어 규격과 기타정보가 표시된 부분은? 47 제동 시 뒷바퀴의 록(lock)으로 인한 스핀을 방지하기 위해 사용되는 것은? 48 엔진 회전수가 2000rpm으로 주행 중인 자동차에서 수동변속기의 감속비가 0.8이고, 차동장치 구동피니언의 잇수가 6, 링기어의 잇수가 30일 때, 왼쪽바퀴가 600rpm으로 회전한다면 오른쪽 바퀴는 몇 rpm인가?
61 용량이 90Ah인 배터리는 3A의 전류로 몇 시간 동안 방전시킬 수 있는가? 62 점화 1차 파형에 대한 설명으로 옳은 것은? 63 전자제어 구동력 조절장치(TCS)의 컴퓨터는 구동바퀴가 헛돌지 않도록 최적의 구동력을 얻기 위해 구동 슬립율이 몇 %가 되도록 제어하는가? 64 그림과 같은 논리(logic)게이트 회로에서 출력상태로 옳은 것은? 65 저항의 도체에 전류가 흐를 때 주행 중에 소비되는 에너지는 전부 열로 되고, 이때의 열을 줄열(H)이라고 한다. 이 줄열(H)을 구하는 공식으로 틀린 것은? (단, E는 전압, I는 전류, R은 저항, t는 시간이다.) 66 병렬형 하드 타입의 하이브리드 자동차에서 HEV모터에 의한 엔진 시동 금지 조건인 경우, 엔진의 시동은 무엇으로 하는가? 67 냉방장치의 구성품으로 압축기로부터 들어온 고온ㆍ고압의 기체 냉매를 냉각시켜 액체로 변화시키는 장치는? 68 할로겐 전조등에 비하여 고휘도 방전(HID)전조등의 특징으로 틀린 것은? 69 다음 중 배터리 용량 시험 시 주의 사항으로 가장 거리가 먼 것은? 70 점화순서가 1-5-3-6-2-4인 직렬 6기통 가솔린 엔진에서 점화장치가 1코일 2실린더(DLI)일 경우 1번 실린더와 동시에 불꽃이 발생되는 실린더는? 71 빛과 조명에 관한 단위와 용어의 설명으로 틀린 것은?(오류 신고가 접수된 문제입니다. 반드시 정답과 해설을 확인하시기 바랍니다.) 72 하드타입의 하이브리드 차량이 주행 중 감속 및 제동할 경우 차량의 운동에너지를 전기에너지로 변환하여 고전압배터리를 충전하는 것은?
App Store Google Play
오늘학습 예시 이미지

시험에 합격하려면
복습을 제대로 해야 합니다.

오늘학습은 스스로 기억을 떠올리고 계획적으로 복습할 수 있도록 설계돼 있어요.
그것도, 가장 과학적인 방식으로요!

능동적 회상

능동적 회상
(Active Recall)

배운 내용을 단순 읽으며 반복하는 것이 아니라,
능동적으로 기억하고 있는지를
스스로 테스트하며
공부할 수 있는
학습 환경을 제공해 학습 효과를 높여요

간격 반복 학습

간격 반복 학습
(Spaced Repetition)

에빙하우스 망각곡선을 바탕으로
가장 최적의 시점에 복습을 제공하여
배운 내용이 잊히지 않도록 장기 기억화해요

Data 기반의
뇌과학적 복습 시스템

학습 결과 Data를 분석해, 문제별 최적화된
반복 학습량을
자동으로 분배해요.
학습에 소요되는 시간을 최소화하는
동시에
단기 기억을 장기 기억으로 전환해줘요.

36만 개 이상의
기출문제 무료 제공

공무원 및 약 300여종의 자격증 시험 기출문제
36만개
이상을 무료로 이용할 수 있어요.
여러 앱을 설치할 필요
없이, 오늘학습 하나로
모든 시험을 준비할 수 있어요.

다양한 문제 유형으로 만드는
나만의 단어장&문제집

기출 외에도 외워야 하는 내용은
객관식, 주관식, 카드, 빈칸
등 다양한 형식으로
직접 만들어 보세요. 내 학습 스타일에
맞게
나만의 단어장과 문제집을 만들 수 있어요.

시험별 체계적인
문제 관리

시험에 문제를 추가해 체계적으로
관리할 수 있어요.
주제나 단원별로
분류하고 싶다면,
시험에 챕터를 만들어
문제를 추가할 수도 있어요.

수십만 명이
오늘학습을 사랑합니다

앱 스토어 평점 4.9
구글 플레이 평점 4.8
누적 회원수 100,000+
지금 오늘학습을
시작해보세요
지금 시작하기
문제 선택