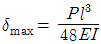
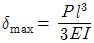
길이가 l(엘)인 단순보의 중앙에 집중하중 P가 작용할 때 최대 처짐은 중앙에서 발생한다. 이때 처짐량(δmax)을 산출하는 식으로 옳은 것은?(단, E는 세로탄성계수, I는 단면 2차 모멘트이다.)
지금 시작하기 →

・・・ 문제은행 자동차정비산업기사(2016년 1회) 16번

자동차정비산업기사 2016년 03월 16번

길이가 l(엘)인 단순보의 중앙에 집중하중 P가 작용할 때 최대 처짐은 중앙에서 발생한다. 이때 처짐량(δmax)을 산출하는 식으로 옳은 것은?(단, E는 세로탄성계수, I는 단면 2차 모멘트이다.)

1
2
3
4
단축키
이전 문제로 이동은 키를 누르고, 다음 문제로 이동은 키를 누르세요
이전 문제 , 다음 문제
문제(80)
1 탄소강에 관한 설명으로 옳지 않은 것은? 2 성크 키의 길이가 200 mm, 키의 측면에 발생하는 전단력이 80 kN이고, 키 폭은 높이의 1.5배라고 하면 키의 허용전단응력이 20 MPa 일 경우 키 높이는 약 몇 mm 이상으로 하면 되는가? 3 양단에 베어링으로 지지되어 있으며 그 중앙에 회전체 1개를 가진 원형 단면 축에 대한 위험속도의 계산에 필요한 설계인자로서 가장 거리가 먼 것은? 4 두랄루민은 알루미늄에 무엇을 첨가한 합금인가? 5 축에 작용하는 비틀림모멘트를 T, 전단탄성계수를 G, 극관성모멘트를 IP, 길이를 l(엘) 이라 할 때, 전체 비틀림각은? 6 공작물을 회전시키고, 공구는 직선운동으로 공작물을 가공하는 공작 기계는? 7 2개의 축이 같은 평면 내에 있으면서 그 중심선이 30° 이내의 각도로 교차하는 경우의 축 이음으로 가장 적합한 것은? 8 길이 300 mm 인 구리봉 양단을 고정하고 20℃에서 70℃로 가열하였을 때 열응력에 의해 발생되는 압축응력[N/mm2]은? (단, 구리봉의 세로탄성계수는 9.2×103 N/mm2, 선팽창계수(α)는 1.6×10-3/℃ 이다.) 9 아공석강에서는 Ac3점에서 40~60℃ 높은 범위에서 가열하여 노내에서 서냉시키는 방법으로 주로 가공 경화된 재료를 연화시키거나 내부응력 제거 및 불순물의 방출 등을 할 수 있는 열처리 방법은? 10 다음 중 언더컷에 대한 설명으로 옳은 것은? 11 유압펌프의 종류 중 회전식이 아닌 것은? 12 안전율을 나타내는 식으로 옳은 것은?
13 드럼의 지름이 400 mm 인 브레이크 드럼에 브레이크 블록을 누르는 힘 280 N 이 작용하고 있을 때 브레이크 제동력은 몇 N 인가? (단, 마찰계수는 0.15 이다.)(오류 신고가 접수된 문제입니다. 반드시 정답과 해설을 확인하시기 바랍니다.) 14 측정은 방법에 따라 직접측정, 비교측정, 간접측정, 절대측정으로 구분할 수 있는데, 다음 중 비교측정법으로 측정하는 것은? 15 다이 또는 롤러를 사용하여 재료를 회전시키면서 압력을 가하여 제품을 만드는 가공방법으로 나사의 가공에 적합한 것은? 16 길이가 l(엘)인 단순보의 중앙에 집중하중 P가 작용할 때 최대 처짐은 중앙에서 발생한다. 이때 처짐량(δmax)을 산출하는 식으로 옳은 것은?(단, E는 세로탄성계수, I는 단면 2차 모멘트이다.) 17 유압펌프에서 송출량이 10 L/min 이고 0.5 MPa로 압력이 작용할 경우 유압펌프의 동력은 약 몇 W 인가? 18 유압기는 작은 힘으로 큰 힘을 얻는 장치인데, 이것은 무슨 이론을 이용한 것인가? 19 매분 200회전하는 지름 300 mm 의 평 마찰차를 400 N 으로 밀어붙이면 약 몇 kW 의 동력을 전달시킬 수 있는가? (단, 접촉부 마찰계수는 0.3 이다.) 20 다음 중 축과 보스의 양쪽에 키 홈을 파며 가장 널리 사용되는 일반적인 키는 무엇인가? 21 가솔린 기관의 유해 배출물 저감에 사용되는 차콜 캐니스터(charcoal canister)의 주 기능은? 22 삼원 촉매장치를 장착하는 근본적인 이유는? 23 디젤 기관에서 분사노즐의 구비조건에 해당되지 않는 것은? 24 자동차 기관에 사용되는 수온센서는 주로 어떤 특성의 서미스터를 사용하는가?
25 디젤기관에서 착화지연기간이 1/1000초, 착화 후 최고 압력에 도달할 때까지의 시간이 1/1000초일 때, 2000rpm으로 운전되는 기관의 착화 시기는? (단, 최고 폭발압력은 상사점 후 12° 이다.) 26 운행차 배출가스 정밀검사를 받아야 하는 자동차에 대한 설명으로 틀린 것은? 27 디젤기관의 노킹 발생 원인이 아닌 것은? 28 기관 작동 중 실린더 내 흡입효율이 저하되는 원인이 아닌 것은? 29 휘발유사용자동차의 차량중량이 1224kg이고 총중량이 2584kg인 경우 배출가스 정밀검사 부하검사방법인 정속모드(ASM2525)에서 도로부하마력(PS)은? 30 총배기량 1400 cc인 4행정 기관이 2000 rpm으로 회전하고 있다. 이 때의 도시평균유효압력이 10 kgf/cm2이면 도시마력은 몇 PS인가? 31 전자제어 가솔린 연료분사장치의 인젝터에서 분사되는 연료의 양은 무엇으로 조정하는가? 32 복합사이클의 이론열효율은 어느 경우에 디젤사이클의 이론열효율과 일치하는가? (단, e=압축비, p=압력비, σ=체절비(단절비), k=비열비 이다.) 33 흡입공기량을 간접 계측하는 센서의 방식은? 34 압력식 캡을 밀봉하고 냉각수의 팽창과 동일한 크기의 보조 물탱크를 설치하여 냉각수를 순환시키는 방식은? 35 윤활유의 유압 계통에서 유압이 저하되는 원인이 아닌 것은? 36 기관의 윤활방식 중 윤활유가 모두 여과기를 통과하는 방식은?
49 자동차의 바퀴가 동적 언밸런스(Unbalance)일 경우 발생할 수 있는 현상은? 50 자동변속기에서 스톨테스트로 확인할 수 없는 것은? 51 자동차의 앞바퀴 윤거가 1500 mm, 축간거리가 3500 mm, 킹핀과 바퀴접지면의 중심거리가 100 mm인 자동차가 우회전할 때, 왼쪽 앞바퀴의 조향각도가 32°이고 오른쪽 앞바퀴의 조향각도가 40°라면 이 자동차의 선회 시 최소회전반지름은? 52 소형 승용차가 제동 초속도 80 km/h에서 제동을 하고자 할 때 공주시간이 0.1초일 경우 이동한 공주거리는 얼마인가? 53 조향기어의 종류에 해당하지 않는 것은? 54 공압식 전자제어 현가장치의 기본 구성품에 속하지 않는 것은? 55 차축의 형식 중 구동 차축의 스프링 아래 질량이 커지는 것을 피하기 위해 종감속기어와 차동장치를 액슬 축으로부터 분리하여 차체에 고정한 형식은? 56 가솔린 승용차에서 주행 중 시동이 꺼졌을 때 제동력이 저하되는 이유로 가장 적절한 것은? 57 ABS 장착 차량에서 인덕티브 형식 휠 스피드 센서의 설명으로 틀린 것은? 58 TPMS(Tire Pressure Monitoring System)의 설명으로 틀린 것은? 59 기관 플리이휠과 직결되어 기관 회전수와 동일한 속도로 회전하는 토크 컨버터의 부품은? 60 검사기기를 이용하여 운행 자동차의 주 제동력을 측정하고자 한다. 다음 중 측정방법이 잘못 된 것은?
App Store Google Play
오늘학습 예시 이미지

시험에 합격하려면
복습을 제대로 해야 합니다.

오늘학습은 스스로 기억을 떠올리고 계획적으로 복습할 수 있도록 설계돼 있어요.
그것도, 가장 과학적인 방식으로요!

능동적 회상

능동적 회상
(Active Recall)

배운 내용을 단순 읽으며 반복하는 것이 아니라,
능동적으로 기억하고 있는지를
스스로 테스트하며
공부할 수 있는
학습 환경을 제공해 학습 효과를 높여요

간격 반복 학습

간격 반복 학습
(Spaced Repetition)

에빙하우스 망각곡선을 바탕으로
가장 최적의 시점에 복습을 제공하여
배운 내용이 잊히지 않도록 장기 기억화해요

Data 기반의
뇌과학적 복습 시스템

학습 결과 Data를 분석해, 문제별 최적화된
반복 학습량을
자동으로 분배해요.
학습에 소요되는 시간을 최소화하는
동시에
단기 기억을 장기 기억으로 전환해줘요.

36만 개 이상의
기출문제 무료 제공

공무원 및 약 300여종의 자격증 시험 기출문제
36만개
이상을 무료로 이용할 수 있어요.
여러 앱을 설치할 필요
없이, 오늘학습 하나로
모든 시험을 준비할 수 있어요.

다양한 문제 유형으로 만드는
나만의 단어장&문제집

기출 외에도 외워야 하는 내용은
객관식, 주관식, 카드, 빈칸
등 다양한 형식으로
직접 만들어 보세요. 내 학습 스타일에
맞게
나만의 단어장과 문제집을 만들 수 있어요.

시험별 체계적인
문제 관리

시험에 문제를 추가해 체계적으로
관리할 수 있어요.
주제나 단원별로
분류하고 싶다면,
시험에 챕터를 만들어
문제를 추가할 수도 있어요.

수십만 명이
오늘학습을 사랑합니다

앱 스토어 평점 4.9
구글 플레이 평점 4.8
누적 회원수 100,000+
지금 오늘학습을
시작해보세요
지금 시작하기
문제 선택